电脑桌面
添加小米粒文库到电脑桌面
安装后可以在桌面快捷访问

GMW-15011-2018原版完整文件VIP免费

GMW-15011-2018原版完整文件_第1页
1/4
GMW-15011-2018原版完整文件_第2页
2/4
GMW-15011-2018原版完整文件_第3页
3/4
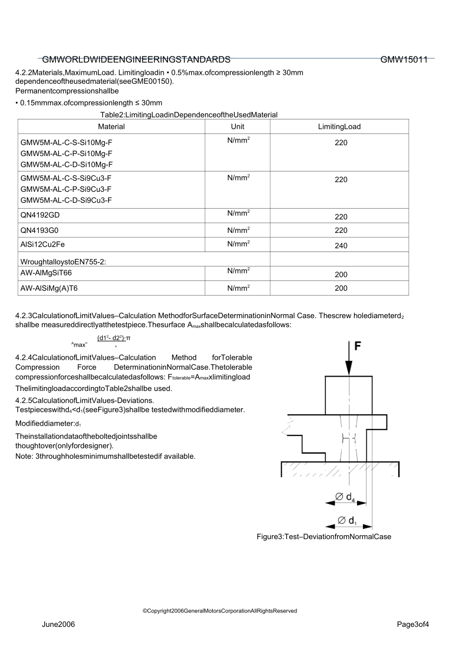
GMW15011June2006OriginatingDepartment:NorthAmericanEngineeringStandardsPage1of4WORLDWIDEENGINEERINGSTANDARDSAluminumPartsforEngine-TransmissionBracketsandAluminumInternalCoresofDampeningBlocks1IntroductionNote:Nothinginthespecificationsupersedesapplicablelawsandregulationsunlessspecificexemptionhasbeenobtained.Note:IntheeventofconflictbetweentheEnglishanddomesticlanguage,theEnglishlanguageshalltakeprecedence.1.15cope.Aluminumpartsoftheengine-transmissionsuspension(e.g.,dampingblocks,hydromounts,hydrobushings,brackets).1.2Mission/Theme.Thisspecificationdeterminestherequirementsforaluminumpartsoftheengine-transmissionsuspension(e.g.,dampingblocks,hydromounts,hydrobushings,brackets)anddescribesthematerialtestsofthecomponents.1.3Classification.Notapplicable.2ReferencesNote:Onlythelatestapprovedstandardsareapplicableunlessotherwisespecified.2.1ExternalStandards/Specifications.EN722-2EN755-22.2GMStandards/Specifications.GME00150GMW3059GME60156QN4192GDGMW5QN4193GO3TestPreparationandEvaluation3.1Resources.3.1.1Calibration.Thetestfacilitiesandequipmentshallbeingoodworkingorderandshallhaveavalidcalibrationlabel.3.1.2Alternatives.Alternativetestfacilitiesandequipmentmayalsobeused.However,allmeasuringvariablesasspecifiedinthisspecificationshallbedeterminedcorrectlywithrespecttoitsphysicaldefinition.3.1.3Facilities.Testfacilitiesaccordingtoreferencesasspecifiedinparagraph2.3.1.4Equipment.Notapplicable.3.1.5TestVehicle/TestPiece.Notapplicable.3.1.6TestTime.Notapplicable.3.1.7TestRequiredInformation.Notapplicable.3.1.8Personnel/Skills.Notapplicable.3.2Preparation.Thenumberoftestpiecesshallbeaspertheappropriatetestmethods,orwherenosuchdetailsaregivenofatleastthreetestpieces.shallbetestedforinitialsampleandarbitrationpurposesandonetestpiecemin.forroutinequalitycontrol.3.3Conditions.Ifnototherwisespecifiedthetestsshallbeperformedintheasreceivedconditionat+23±5°Cwithoutanyspecialpreconditioning.3.3.1EnvironmentalConditions.Notapplicable.3.3.2TestConditions.Notapplicable.3.4Instructions.Notapplicable.3.5Data.Notapplicable.3.6Safety.Thisproceduremayinvolvehazardousmaterials,operations,andequipment.Thismethoddoesnotproposetoaddressallthesafetyproblemsassociatedwithitsuse.Itistheresponsibilityoftheuserofthemethodtoestablishappropriatesafetyandhealthpracticesanddeterminetheapplicabilityofregulatorylimitationspriortouse.3.7Documentation.SamplesofcomponentsormaterialreleasedtothisspecificationshallbetestedforconformitywiththerequirementsofthisspecificationandapprovedbytheresponsibleGMDepartmentpriortothestartofdeliveryofproductionlevelcomponentsormaterials.Anychangetothecomponentormaterial,e.g.,design,function,properties,manufacturingprocessand/orlocationofmanufacturerequiresanewreleaseoftheproduct.Itisthesoleresponsibilityofthesuppliertoprovidethecustomer,unsolicited,withdocumentationofanychangeormodificationtotheproduct/process,andtoapplyforanewrelease.Ifnototherwiseagreedtotheentireverificationtestshallberepeatedanddocumentedbythesupplierpriortostartofdeliveryofthemodifiedorchangedproduct.InsomecasesashortertestcanbeagreedtobetweentheresponsibleGMDepartmentandthesupplier.©Copyright2006GeneralMotorsCorporationAllRightsReservedGMGeneralSpecificationChassisGMW15011GMWORLDWIDEENGINEERINGSTANDARDS3.7.1TestResults.Withreferencetothisspecificationtheresultsofthetestsshallbenotedinatestreport.requ...

1、当您付费下载文档后,您只拥有了使用权限,并不意味着购买了版权,文档只能用于自身使用,不得用于其他商业用途(如 [转卖]进行直接盈利或[编辑后售卖]进行间接盈利)。
2、本站所有内容均由合作方或网友上传,本站不对文档的完整性、权威性及其观点立场正确性做任何保证或承诺!文档内容仅供研究参考,付费前请自行鉴别。
3、如文档内容存在违规,或者侵犯商业秘密、侵犯著作权等,请点击“违规举报”。

碎片内容

GMW-15011-2018原版完整文件

最好的沉淀+ 关注
实名认证
内容提供者

行业文档

确认删除?
VIP
微信客服
  • 扫码咨询
会员Q群
  • 会员专属群点击这里加入QQ群
客服邮箱
回到顶部