电脑桌面
添加小米粒文库到电脑桌面
安装后可以在桌面快捷访问

江苏省扬州市第一中学高二数学《椭圆与直线的位置关系(1)》学案 苏教版

江苏省扬州市第一中学高二数学《椭圆与直线的位置关系(1)》学案 苏教版_第1页
1/10
江苏省扬州市第一中学高二数学《椭圆与直线的位置关系(1)》学案 苏教版_第2页
2/10
江苏省扬州市第一中学高二数学《椭圆与直线的位置关系(1)》学案 苏教版_第3页
3/10
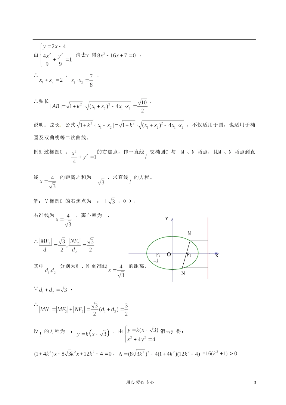
椭 圆 与 直 线 的 位 置 关 系 ( 1 )教学目标:1.掌握直线与椭圆的位置关系的判断方法;2.能熟练地运用弦长公式求椭圆与直线相交时的弦长问题。教学重、难点:能熟练地运用弦长公式求椭圆与直线相交时的弦长问题。教学过程:(一)复习:圆与直线的位置关系的判定方法;(1 )代数方法:消元,判断△;(2 )几何方法:圆心到直线的距离与圆半径进行比较。(二)新课讲解:1 .椭圆与直线的位置关系的判定:例1 .当m 为何值时,直线与椭圆相交?相切?相离?解:由得,∴ 当,即时,直线和椭圆相交;当,即时,直线和椭圆相切;当,即或时,直线和椭圆相离。说明:直线与椭圆的位置关系可由它们的交点个数来判断,即通过直线与椭圆方程联立的方程组的解的个数来判断。例2 .如图,已知椭圆的焦点分别是、,过中心O 作直线与椭圆相交于A 、B 两点,若要使的面积是20,求该直线方程。解: ,∴可设AB所在直线方程为 ,用心 爱心 专心1由消去x 得:,∴,∴,由得,∴直线AB的方程为 ,即 .说明:⑴此题要能注意到是有公共边的两个和的面积之和,故只需构造关于y 的一元二次方程,利用韦达定理求出两个三角形高的和;⑵设直线方程为比设好,可避免讨论斜率不存在的情况。(3 )也可以连接BF1,则例3 、已知椭圆的焦点分别是、,点P 在椭圆上,,求证:的面积为。2 .弦长问题:例4 .求直线被椭圆所截得的弦长。解:(法一)由得或,∴弦长为 .(法二)设直线与椭圆的交点为,,用心 爱心 专心2ABF2F1由消去y 得,∴,,∴弦长.说明:弦长公式,不仅适用于圆,也适用于椭圆及双曲线等二次曲线。例5.过椭圆C :的右焦点,作一直线交椭圆C 与 M 、N 两点,且M 、N 两点到直线的距离之和为 ,求直线的方程。解: 椭圆C 的右焦点为 :(,0 ),右准线为,离心率为 ,∴其中分别为M 、N 到准线的距离, ,∴设的方程为 :,由消去y 得:,=用心 爱心 专心3_F2_F1_1_MONXY设M 、N 两点的横坐标为,由题意知,, ∴==,解得:(或|MN|=|MF2|+|NF2|=2a-e (x1+x2),利用焦半径公式解决焦点弦的弦长问题 )所求的直线的方程为:或例6. 已知椭圆的中心在坐标原点O ,焦点在坐标轴上,直线与该椭圆交于P 和Q 两点,且,,求椭圆的方程。 分析 本题也应有焦点在x 轴和焦点在y 轴上两种情形,但分析题目的条件可知,两种情形的解法是相同的,区别仅在于标准方程的形式不同。如果...

1、当您付费下载文档后,您只拥有了使用权限,并不意味着购买了版权,文档只能用于自身使用,不得用于其他商业用途(如 [转卖]进行直接盈利或[编辑后售卖]进行间接盈利)。
2、本站所有内容均由合作方或网友上传,本站不对文档的完整性、权威性及其观点立场正确性做任何保证或承诺!文档内容仅供研究参考,付费前请自行鉴别。
3、如文档内容存在违规,或者侵犯商业秘密、侵犯著作权等,请点击“违规举报”。

碎片内容

江苏省扬州市第一中学高二数学《椭圆与直线的位置关系(1)》学案 苏教版

您可能关注的文档

文章天下+ 关注
实名认证
内容提供者

各种文档应有尽有

确认删除?
VIP
微信客服
  • 扫码咨询
会员Q群
  • 会员专属群点击这里加入QQ群
客服邮箱
回到顶部