电脑桌面
添加小米粒文库到电脑桌面
安装后可以在桌面快捷访问

分式化简求值55道练习题

分式化简求值55道练习题_第1页
1/8
分式化简求值55道练习题_第2页
2/8
分式化简求值55道练习题_第3页
3/8
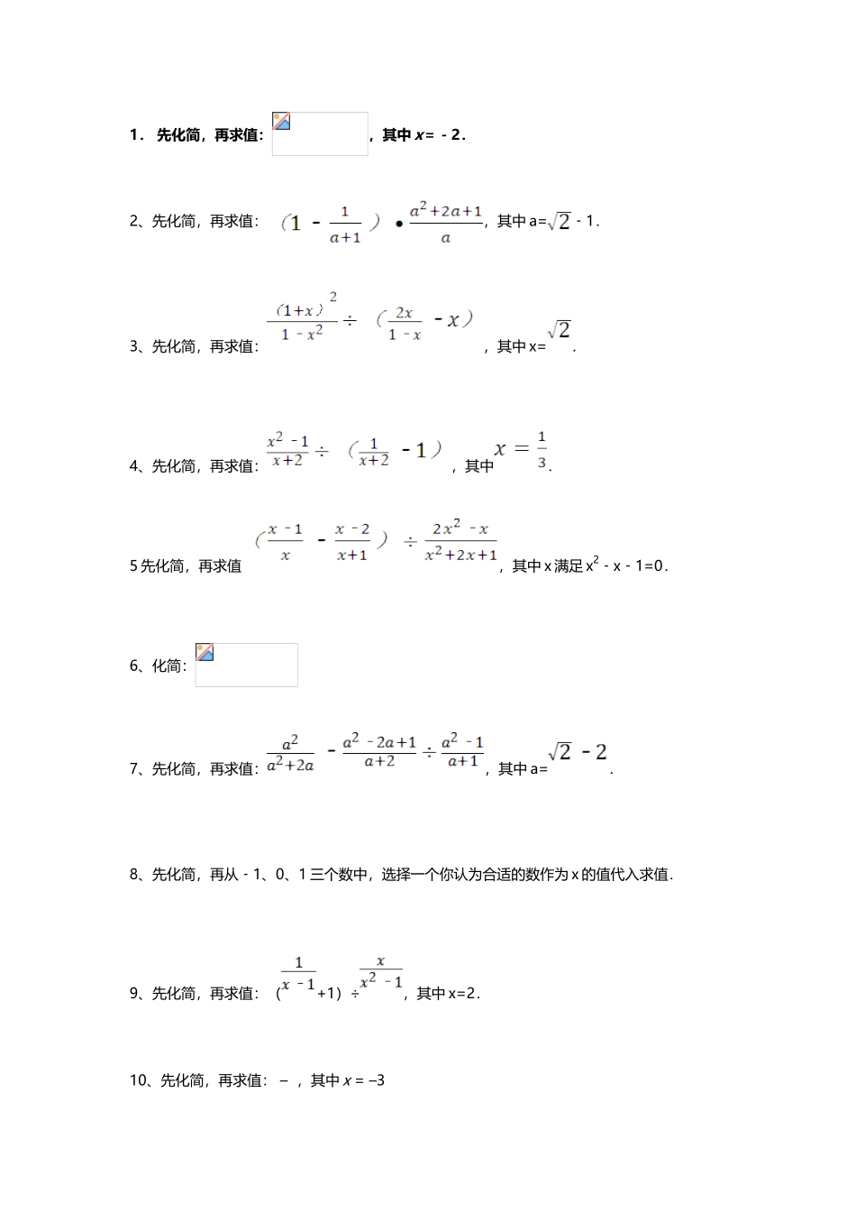
分式化简求值55 道练习题(6 页)Good is good, but better carries it.精益求精,善益求善。1. 先化简,再求值:,其中 x=-2.2、先化简,再求值:,其中 a=﹣1.3、先化简,再求值:,其中 x=.4、先化简,再求值:,其中.5 先化简,再求值,其中 x 满足 x2﹣x﹣1=0.6、化简:7、先化简,再求值:,其中 a=.8、先化简,再从﹣1、0、1 三个数中,选择一个你认为合适的数作为 x 的值代入求值.9、先化简,再求值:(+1)÷,其中 x=2.10、先化简,再求值: – ,其中 x = –311 、 先 化 简 下 列 式 子 , 再 从 2 , ﹣ 2 , 1 , 0 , ﹣ 1 中 选 择 一 个 合 适 的 数 进 行 计 算 ..12、先化简,再求值:(-2),其中 x=2.13、先化简,再求值:,其中.14、先化简,然后从不等组的解集中,选取一个你认为符合题意的 x 的值代入求值.15、先化简,再求值:,其中.16、先化简,再求值:,其中.17、先化简。再求值: ,其中。18. 先化简,再求值:÷,其中 x=-5.19. 先化简再计算:,其中 x 是一元二次方程的正数根.20 化简,求值: ) ,其中 m=.21、(1)化简:÷. (2)化简:22、先化简,再求值:,其中.23 请你先化简分式24、先化简再求值其中 a=+125、化简,其中26.先化简,再求值:(-2)÷,其中 x=-4.27、 先化简,再求值:÷-,其中 x=2.28、先化简,再求值:,其中.29.先化简,再求值:,其中30、先化简,再求值:,其中31、(1)化简:. (2) (3)32.(1)。 (2)计算33 先化简,再求值:,其中.34 化简:. 35.先化简,再求值:,其中.36、.先化简-,再选一个合适的值代入求值.37.当时,求的值.38.先化简,再把 取一个你最喜爱的数代入求值:39 先化简,再选择一个你喜爱的数代入求值。÷(+1)40 先化简,再求值:,其中.41 先化简:()÷.再从 1,2,3 中选一个你认为合适的数作为 a的值代入求值.42、先化简,再求值.(x+1)2+x(x﹣2).其中.43、先化简,再求值,(+)÷,其中 x=2.44.先将代数式化简再从-1,1 两数中选取一个适当的数作为 x 的值代入求45、先化简再求值:,其中 x=tan60°﹣1.46.先化简,再求值:,其中 x=3.47.先化简,再求值:,其中48、先化简分式:(a﹣)÷•,再从﹣3、﹣3、2、﹣2 中选一个你喜爱的数作为 a 的值代入求值.49、先化简,再求值:,其...

1、当您付费下载文档后,您只拥有了使用权限,并不意味着购买了版权,文档只能用于自身使用,不得用于其他商业用途(如 [转卖]进行直接盈利或[编辑后售卖]进行间接盈利)。
2、本站所有内容均由合作方或网友上传,本站不对文档的完整性、权威性及其观点立场正确性做任何保证或承诺!文档内容仅供研究参考,付费前请自行鉴别。
3、如文档内容存在违规,或者侵犯商业秘密、侵犯著作权等,请点击“违规举报”。

碎片内容

分式化简求值55道练习题

元素商铺+ 关注
实名认证
内容提供者

欢迎挑选合适的文档

相关文档

确认删除?
VIP
微信客服
  • 扫码咨询
会员Q群
  • 会员专属群点击这里加入QQ群
客服邮箱
回到顶部