电脑桌面
添加小米粒文库到电脑桌面
安装后可以在桌面快捷访问

产业组织三次作业VIP免费

产业组织三次作业_第1页
1/8
产业组织三次作业_第2页
2/8
产业组织三次作业_第3页
3/8
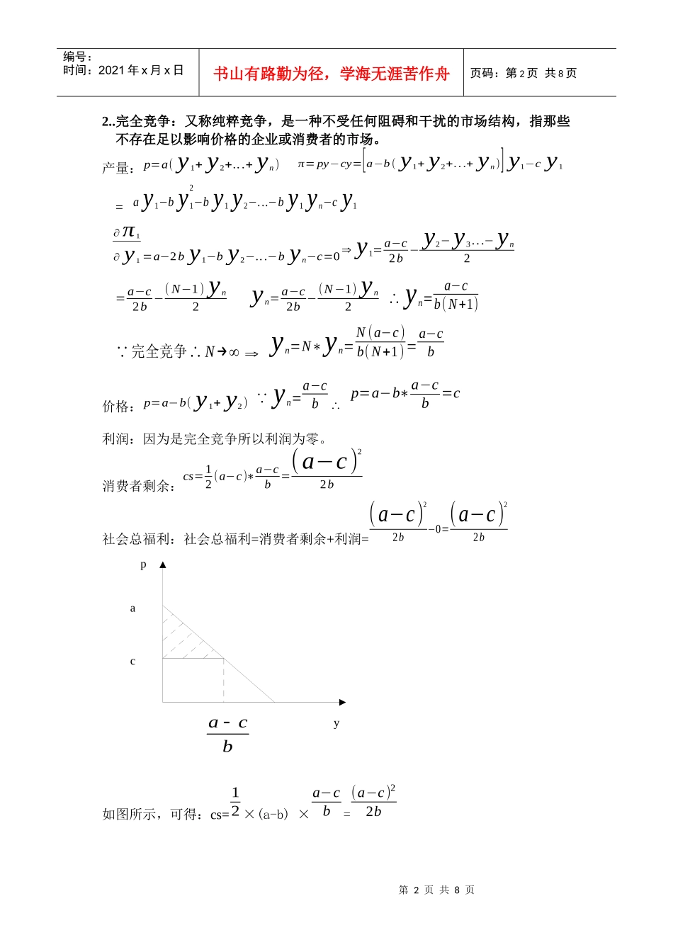
第1页共8页a2cabca2py编号:时间:2021年x月x日书山有路勤为径,学海无涯苦作舟页码:第1页共8页第一次作业2011年4月!·#¥%……—*数学推导垄断、完全竞争、古诺模型、伯特兰模型、斯塔克尔模型的产量、价格、利润、消费者剩余和生产者剩余,并比较其福利。1.垄断:一般指唯一的卖者在一个或多个市场,通过一个或多个阶段,面对竞争性的消费者—与买者垄断刚刚相反。垄断者在市场上,能够随意调节价格与产量。产量:p=a−byπ=py−cy=y∗(p−c)=y∗(a−by−c)∂π∂y=a−2by−c=0⇒y=a−c2b∴垄断的企业产量是:y=a−c2b行业产量是:y=a−c2b价格:p=a−by=a−b∗a−c2b=a+c2利润:π=py−Tc=a+c2∗a−c2b−c∗a−c2b=a2−c24b−ac−c22b=(a−c)24b∴垄断的企业利润是:π=(a−c)24b行业利润是:π=(a−c)24b如图所示,可得:消费者剩余cs=12×(a-a+c2)×a−c2b=(a−c)28b社会总福利=cs+π=(a−c)28b+(a−c)24b=3(a−c)28b第2页共8页第1页共8页acbcapy编号:时间:2021年x月x日书山有路勤为径,学海无涯苦作舟页码:第2页共8页2..完全竞争:又称纯粹竞争,是一种不受任何阻碍和干扰的市场结构,指那些不存在足以影响价格的企业或消费者的市场。产量:p=a(y1+y2+...+yn)π=py−cy=[a−b(y1+y2+...+yn)]y1−cy1=ay1−by12−by1y2−...−by1yn−cy1∂π1∂y1=a−2by1−by2−...−byn−c=0⇒y1=a−c2b−y2−y3...−yn2=a−c2b−(N−1)yn2yn=a−c2b−(N−1)yn2∴yn=a−cb(N+1) 完全竞争∴N→∞⇒yn=N∗yn=N(a−c)b(N+1)=a−cb价格:p=a−b(y1+y2) yn=a−cb∴p=a−b∗a−cb=c利润:因为是完全竞争所以利润为零。消费者剩余:cs=12(a−c)∗a−cb=(a−c)22b社会总福利:社会总福利=消费者剩余+利润=(a−c)22b−0=(a−c)22b如图所示,可得:cs=12×(a-b)×a−cb=(a−c)22b第3页共8页第2页共8页编号:时间:2021年x月x日书山有路勤为径,学海无涯苦作舟页码:第3页共8页社会总福利=cs+π=(a−c)22b+0=(a−c)22b3.古诺模型:研究的是两个同质企业生产同质产品如何进行竞争的简单模型,也称为双寡头模型。产量:p=a−b(y1+y2)π=py1−TC1=py1−cy1=[a−b(y1+y2)]y1−cy1∂π1∂y1=−by1+a−by1−by2−c=0⇒企业1的反应函数y1=a−c2b−y22 是双寡头模型∴y1和y2是对称的。所以企业2的反应函数y2=a−c2b−y12∴y1=a−c2b−a−c2b−y122=a−c2b−a−c4b+y14⇒y1=a−c3b同理,有y2=a−c3b∴古诺的企业产量是:y=a−c3b行业产量是:y=2(a−c)3b价格:p=a−b(y1+y2)y1=a−c2b−y22y2=a−c2b−y12y1=a−c2b−a−c2b−y122=a−c2b−a−c4b+y14⇒y1=a−c3b同理,有y2=a−c3b则p=a−b(y1+y2)=a−b(a−c3b+a−c3b)=a+2c3利润: y1=y2=a−c3bp=a+2c3∴π1=py1−cy1=a+2c3∗a−c3b−c∗a−c3b=(a−c)29b 企业1和企业2对称∴π2=(a−c)29b∴古诺的企业利润是:π=(a−c)29b第4页共8页第3页共8页a32cabca3)(2py编号:时间:2021年x月x日书山有路勤为径,学海无涯苦作舟页码:第4页共8页∴π=y1+y2=(a−c)29b+(a−c)29b=2(a−c)29b∴古诺的行业利润是:π=2(a−c)29b消费者剩余:cs=12∗(a−a+2c3)∗2(a−c)3b=2a−2c3∗a−c3b=2(a−c)29b社会总福利:社会总福利=消费者剩余+利润=2(a−c)29b+2(a−c)29b=4(a−c)29b如图所示,可得:cs=12×(a-a+2c3)×2(a−c)3b=2(a−c)29b社会总福利=cs+π=cs+(π1+π2)=2(a−c)29b+2×(a−c)29b=4(a−c)29b4.伯特兰模型:相对于古诺模型,伯特兰模型中企业设定的是价格而不是产出水平。伯特兰德模型的假设为:各寡头厂商通过选择价格进行竞争;各寡头厂商生产的产品是同质的;寡头厂商之间也没有正式或非正式的串谋行为。产量: 伯特兰模型中企业的决策变量是价格且企业1和企业2是同质的,两个企业的价格分别为P1、P2,边际成本都等于C∴设定企业的价格为p=cy1=y2 p=a−b(y1+y2)∴c=a−2by1⇒y1=y2=a−c2b第5页共8页第4页共8页acbcapy编号:时间:2021年x月x日书山有路勤为径,学海无涯苦作舟页码:第5页共8页∴伯特兰的企业产量是:y=a−c2b行业产量是:y=a−cb价格:伯特兰德模型假定,当企业制定其价格时,认为其他企业的价格不会因它的决策而改...

1、当您付费下载文档后,您只拥有了使用权限,并不意味着购买了版权,文档只能用于自身使用,不得用于其他商业用途(如 [转卖]进行直接盈利或[编辑后售卖]进行间接盈利)。
2、本站所有内容均由合作方或网友上传,本站不对文档的完整性、权威性及其观点立场正确性做任何保证或承诺!文档内容仅供研究参考,付费前请自行鉴别。
3、如文档内容存在违规,或者侵犯商业秘密、侵犯著作权等,请点击“违规举报”。

碎片内容

产业组织三次作业

您可能关注的文档

确认删除?
VIP
微信客服
  • 扫码咨询
会员Q群
  • 会员专属群点击这里加入QQ群
客服邮箱
回到顶部