电脑桌面
添加小米粒文库到电脑桌面
安装后可以在桌面快捷访问

工程力学习题15 廖明成VIP免费

工程力学习题15 廖明成_第1页
1/25
工程力学习题15 廖明成_第2页
2/25
工程力学习题15 廖明成_第3页
3/25
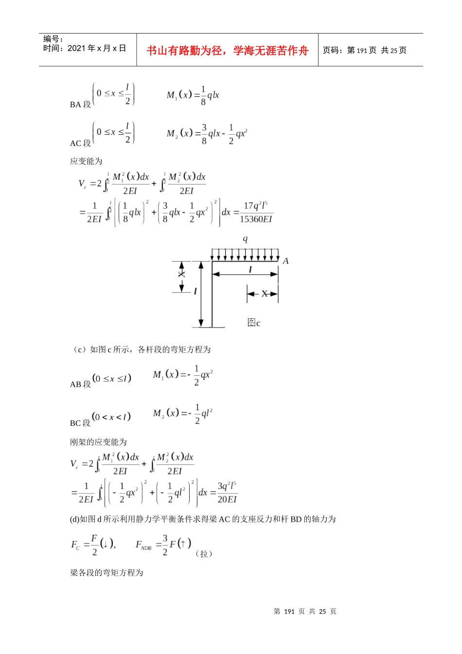
第190页共25页编号:时间:2021年x月x日书山有路勤为径,学海无涯苦作舟页码:第190页共25页*第十五章能量法简介习题15.1试计算图标结构的变形能。略去剪切影响,为已知。对于只受拉压变形的杆件,需要考虑拉压的变形能。解:(a)如图a所示,因结构和载荷均对此,所以利用静力学平衡条件,可很容易地得到约束反力并且只取梁的一般进行计算。AB段梁任一截面上的弯矩方程为梁的应变能为(b)如图b所示,利用静力学平衡条件,求的约束反力为梁各段的弯矩方程为第191页共25页第190页共25页编号:时间:2021年x月x日书山有路勤为径,学海无涯苦作舟页码:第191页共25页BA段AC段应变能为(c)如图c所示,各杆段的弯矩方程为AB段BC段刚架的应变能为(d)如图d所示利用静力学平衡条件求得梁AC的支座反力和杆BD的轴力为(拉)梁各段的弯矩方程为第192页共25页第191页共25页编号:时间:2021年x月x日书山有路勤为径,学海无涯苦作舟页码:第192页共25页CB段BA段结构的应变能为(e)如图e所示利用静力学平衡条件,得刚架的支座反力和轴力为,刚架各段的弯矩方程为AB段BC段第193页共25页第192页共25页编号:时间:2021年x月x日书山有路勤为径,学海无涯苦作舟页码:第193页共25页结构的应变能为15.2试用卡氏定理计算习题15-1中各结构中截面A的铅垂位移以及B截面((e)图)的转角。解:(a)受力分析如下图所示,有分析可得在x方向是不受力,只受y方向的力由于在A处并无垂直外力,为此,设想在A处加一垂直外力,这时求解共同作用下的支座反力,A受力分析如图所示,由平衡条件求得弯矩及对的偏导数为BA段AC段截面A的铅垂位移为(2)由于在A处并无垂直外力,为此,设想在A处加一垂直外力,这时求解共同作用下的支座反力,A受力分析如图所示,由平衡条件求得弯矩及对的偏导数为第194页共25页第193页共25页编号:时间:2021年x月x日书山有路勤为径,学海无涯苦作舟页码:第194页共25页BA段AC段将以上结果代入得截面A的铅垂位移为(3)由于在A处并无垂直集中外力,为此,设想在A处加一垂直外力,这时求解共同作用下的支座反力,A受力分析如图所示,由平衡条件求得弯矩及对的偏导数为AB段BC段将以上结果代入得第195页共25页第194页共25页编号:时间:2021年x月x日书山有路勤为径,学海无涯苦作舟页码:第195页共25页截面A的铅垂位移为(4)题中受力分析如图所示,由平衡条件求得弯矩及对的偏导数为AB段BC段同时求出BD轴力及偏导数为将以上结果代入得(5)1.题中受力分析如图所示,由平衡条件求得弯矩及对的偏导数为第196页共25页第195页共25页编号:时间:2021年x月x日书山有路勤为径,学海无涯苦作舟页码:第196页共25页AB段BC段将以上结果代入得截面A的铅垂位移为2.由于在截面B处并无弯矩,设想在截面B处加一个弯矩,在杆件截面B上加了,如图所示,这时求共同作用下的支座反力,由平衡条件求得弯矩及对的偏导数为AB段第197页共25页第196页共25页编号:时间:2021年x月x日书山有路勤为径,学海无涯苦作舟页码:第197页共25页BC段将以上结果代入得即15.3图示桁架,在节点B处承受铅垂载荷作用,试用卡氏定理计算点节B的水平位移。各杆各截面的抗拉刚度均为EA。(a)(b)题15-3图解:(a)由于在B处并无水平外力,为此,设想在B处加一水平外力,这时求解共同作用下的支座反力,B受力分析如图a所示,由平衡条件求得杆件内力及对的偏导数为第198页共25页第197页共25页编号:时间:2021年x月x日书山有路勤为径,学海无涯苦作舟页码:第198页共25页BC杆件为,AB杆件为,AC杆件为,于是B的水平位移为(2)由于在B处并无水平外力,为此,设想在B处加一水平外力,这时求解共同作用下的支座反力,B受力分析如图a所示,由平衡条件求得杆件内力及对的偏导数为AB杆件为BC杆件为CD杆件为DA杆件为AC杆件为于是B的水平位移为第199页共25页第198页共25页编号:时间:2021年x月x日书山有路勤为径,学海无涯苦作舟页码:第199页共25页15.4图示圆截面轴,承受集度为的均布力偶作用,试用卡氏定理的方法计算截面A的扭转角。设轴的抗扭刚度为常数。题15-4图解:由于在截面A处并无扭矩,设想在截面A处加一个扭矩,...

1、当您付费下载文档后,您只拥有了使用权限,并不意味着购买了版权,文档只能用于自身使用,不得用于其他商业用途(如 [转卖]进行直接盈利或[编辑后售卖]进行间接盈利)。
2、本站所有内容均由合作方或网友上传,本站不对文档的完整性、权威性及其观点立场正确性做任何保证或承诺!文档内容仅供研究参考,付费前请自行鉴别。
3、如文档内容存在违规,或者侵犯商业秘密、侵犯著作权等,请点击“违规举报”。

碎片内容

工程力学习题15 廖明成

您可能关注的文档

确认删除?
VIP
微信客服
  • 扫码咨询
会员Q群
  • 会员专属群点击这里加入QQ群
客服邮箱
回到顶部