电脑桌面
添加小米粒文库到电脑桌面
安装后可以在桌面快捷访问

国际著名酒店娱乐部程序(英文)-07ACTIVITIES.114-133VIP免费

国际著名酒店娱乐部程序(英文)-07ACTIVITIES.114-133_第1页
1/21
国际著名酒店娱乐部程序(英文)-07ACTIVITIES.114-133_第2页
2/21
国际著名酒店娱乐部程序(英文)-07ACTIVITIES.114-133_第3页
3/21
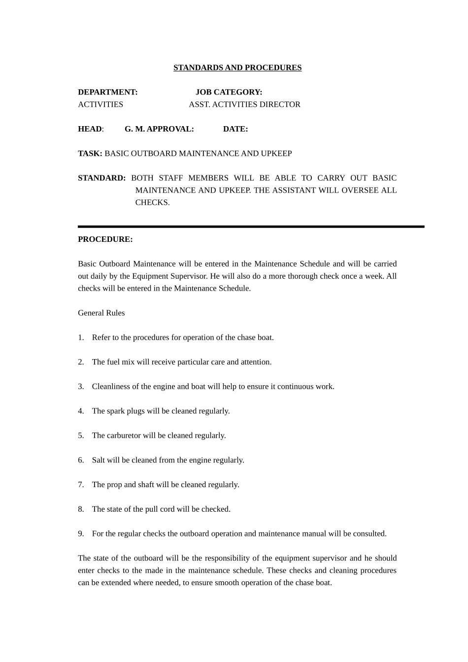
PROCEDURES:(continued)7.Weekly,orincertaincaseddaily,checksshouldbemadetoallequipmentandthecondition,recommendations,andrepairscompleted,enteredinthebook.8.ThemaintenancebookwillbepresentedtotheActivitiesDirectoronceaweekbytheEquipmentSupervisorforinspection.Tokeeptheequipmentinworkingorderandtoensurethatitallremainsgo,thissystemmustberigidlycontrolled.STANDARDSANDPROCEDURESDEPARTMENT:JOBCATEGORY:ACTIVITIESASST.ACTIVITIESDIRECTORHEAD:G.M.APPROVAL:DATE:TASK:BASICOUTBOARDMAINTENANCEANDUPKEEPSTANDARD:BOTHSTAFFMEMBERSWILLBEABLETOCARRYOUTBASICMAINTENANCEANDUPKEEP.THEASSISTANTWILLOVERSEEALLCHECKS.PROCEDURE:BasicOutboardMaintenancewillbeenteredintheMaintenanceScheduleandwillbecarriedoutdailybytheEquipmentSupervisor.Hewillalsodoamorethoroughcheckonceaweek.AllcheckswillbeenteredintheMaintenanceSchedule.GeneralRules1.Refertotheproceduresforoperationofthechaseboat.2.Thefuelmixwillreceiveparticularcareandattention.3.Cleanlinessoftheengineandboatwillhelptoensureitcontinuouswork.4.Thesparkplugswillbecleanedregularly.5.Thecarburetorwillbecleanedregularly.6.Saltwillbecleanedfromtheengineregularly.7.Thepropandshaftwillbecleanedregularly.8.Thestateofthepullcordwillbechecked.9.Fortheregularcheckstheoutboardoperationandmaintenancemanualwillbeconsulted.Thestateoftheoutboardwillbetheresponsibilityoftheequipmentsupervisorandheshouldentercheckstothemadeinthemaintenanceschedule.Thesechecksandcleaningprocedurescanbeextendedwhereneeded,toensuresmoothoperationofthechaseboat.ITISVITALTOHAVEACHASEBOATOPERATIONALATALLTIMES.STANDARDSANDPROCEDURESDEPARTMENT:JOBCATEGORY:ACTIVITIESASST.ACTIVITIESDIRECTORHEAD:G.M.APPROVAL:DATE:TASK:SAFETYSUPERVISIONANDPROCEDURESSTANDARD:BOTHEMPLOYEESWILLBERESPONSIBLEFORENSURINGTHATSAFETYPROCEDURESARECARRIEDOUT,ANDTHESUPERVISIONOFALLSAFETYASPECTS.PROCEDURE:TheActivitiesDepartmentisresponsibleforthesafety,ofalltheactivitiesitoffers.Boththeequipmentsupervisorandtheassistantmustbefullyawareofallsafetyproceduresandmustsupervisetheirimplementation.Specificrulestobeadheredtoare:ONTHEBEACH1.Lifejacketsshouldbeofferedtoanyguestwhogoesoutonthewater.2.Thechaseboatshouldalwaysbeavailableatshortnotice.Itmustbeequippedwithpaddlesandlifejackets.3.Noboatsshouldgooutinweathernotsuitedtotheboatortheguest.4.TheBeachAttendantondutymustkeepawatchonallboatsthatareout.Intheeventthathe/shehastogooutinthechaseboat,theBeachBureattendantshouldbeinformed.5.Acarefulwatchmustbemadewhenchildrenareonthebeachorusingequipment.PROCEDURES:(continued)6.Allbeachswimmersmustbewatchedcarefully–intheeventofwavesoranundercurrent,guestsmustbewarnedofthedangers.7.Allequipmentinusemustbesafetycheckedregularly.8.Beforeorganizinganyeventoractivitynearoronthewater,allsafetyconsiderationsshouldbemade.Norisksaretobetaken.Ifthereisanydoubtastothesafetyofanevent,itwillnotbecarriedout.BYTHEPOOL9.Thebeachtowelattendantisresponsibleforthesafetyofallguestsinornearthepool.He/sheshouldkeepaneyeonallswimmersandbepreparedtoassistinanyfirstaidorrescue.10.Arescuepoleshouldbeeasilyaccessible.11.Chairsshouldbesetbackfromthepooltoavoidanytripping.12.Aspecialwatchshouldbecarriedoutwhenchildrenareinthepool.13.Duringallactivities,whetherlandorwaterbased,safetyproceduresmustbecarriedout.14.Whenpreparinganactivity,beawareofanypotentiallydangeroussituationswhichmayoccurandwhichcould,withproperplanning,beavoided.15.Withfitness,aerobicsandjog...

1、当您付费下载文档后,您只拥有了使用权限,并不意味着购买了版权,文档只能用于自身使用,不得用于其他商业用途(如 [转卖]进行直接盈利或[编辑后售卖]进行间接盈利)。
2、本站所有内容均由合作方或网友上传,本站不对文档的完整性、权威性及其观点立场正确性做任何保证或承诺!文档内容仅供研究参考,付费前请自行鉴别。
3、如文档内容存在违规,或者侵犯商业秘密、侵犯著作权等,请点击“违规举报”。

碎片内容

国际著名酒店娱乐部程序(英文)-07ACTIVITIES.114-133

黄金书屋+ 关注
实名认证
内容提供者

爱好英语教学和互联网行业,热爱教育事业,兢兢业业

确认删除?
VIP
微信客服
  • 扫码咨询
会员Q群
  • 会员专属群点击这里加入QQ群
客服邮箱
回到顶部