电脑桌面
添加小米粒文库到电脑桌面
安装后可以在桌面快捷访问

空气调节工程 思考题 习题答案VIP免费

空气调节工程 思考题 习题答案_第1页
1/32
空气调节工程 思考题 习题答案_第2页
2/32
空气调节工程 思考题 习题答案_第3页
3/32
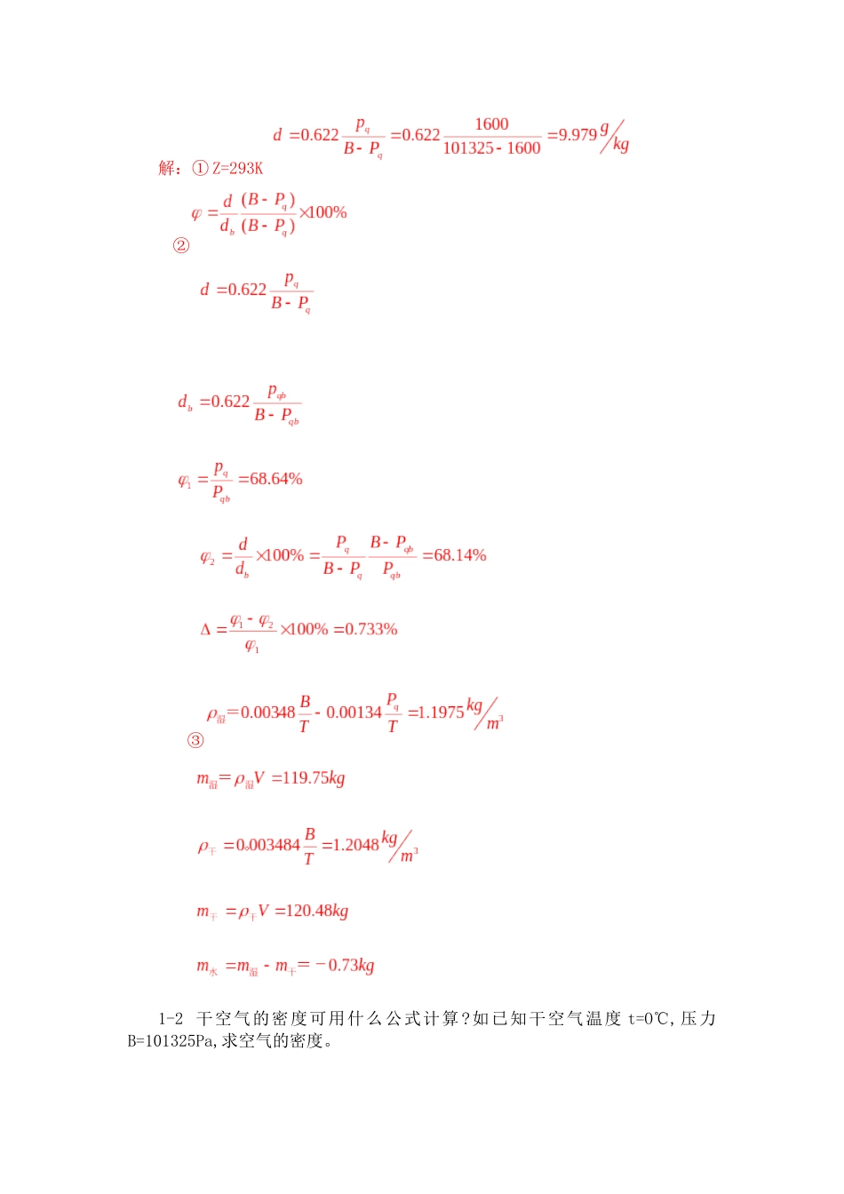
绪论思考题1.人类对空气调节工程提出了哪些要求?空气调节系统是如何满足这些要求的?答:对空气温度、湿度、空气流速和清洁度进行调节,使空气达到所要求的状态。另外,就目前社会发展来看,人类对空调工程的要求远不止这些,其中对节能、环保以及对社会安全性的保障也提出了更高的要求。空调系统采用换气的方法,保证所要求环境的空气新鲜,通过热湿交换来保证环境的温湿度,采用净化的方法来保证空气的清洁度。不仅如此,还必须有效的进行能量的节约和回收,改进能量转换和传递设备的性能,优化计算机控制技术等来达到节能的目的以满足人类要求。2.空气调节与全面通风有哪些相同和不同之处?空气调节由哪些环节组成?答:全面通风往往达不到人们所要求的空气状态及精度。空气调节是调节空气的状态来满足人类的需求。两者同样是改变了人体所处环境的空气状态,但是空气调节包括了通风、供暖和制冷等过程。空气调节包括:空气处理、空气运输、空气末端分配以及气流组织。3.空气调节技术目前的发展方向是什么?答:节能、环保、生活安全性。空调新技术的发展:如空调系统的评价模拟、温湿度分别处理、计算机网络控制技术等。第一章湿空气的物理性质和焓湿图思考题1.为什么湿空气的组成成份中,对空气调节来说水蒸汽是重要的一部分?答:湿空气是由干空气和水蒸气组成的,干空气的成分比较稳定,其中的水蒸气虽然含量较少但是其决定了湿空气的物理性质。2.为什么夏季的大气压力一般说比冬季要低一些?答:温度升高,空气体积增大压力减小。3.饱和与不饱和水蒸汽分压有什么区别,它们是否受大气压力的影响?答:饱和湿空气的水蒸气的饱和程度代表了对应压力下的不饱和湿空气可吸收水蒸气的最大值。饱和水蒸汽分压由湿空气温度唯一决定,而不饱和水蒸汽分压与大气压力有关,由实际的大气压决定。4.为什么浴室在夏天不象冬天那样雾气腾腾?答:夏天的气温高于冬季,浴室的水蒸气的露点温度一定,夏季空气的温度高于露点温度,而冬季空气的露点温度低于其露点温度。5.冬季人在室外呼气时,为什么看得见是白色的?冬季室内供暖时,为什么常常感觉干燥?答:人呼出的空气的露点温度一定,而冬季空气温度低于其露点温度。冬季墙体的温度低,可能会使得空气结露,使得空气的含湿量降低,随着温度的升高相对湿度也会降低。6.两种温度不同,而相对湿度数值一样的空气环境,从吸湿能力上看,是否是同样干燥?为什么?答:不一定。因为温度不同,饱和水蒸气分压力不同,两者的吸湿能力相同,但吸湿总量不同。7.影响湿球温度的因素有哪些?如何才能保证测量湿球温度的准确性?答:湿球温度受风速及测量条件的影响。风速大于4m/s的情况下,工程应用是完全可以允许的,速度越大热湿交换越充分,误差越小。8.为什么含湿量相同、温度不同的各种状态空气都有相同的露点温度?答:露点温度只与水蒸气分压力和含湿量有关,与其他因素无关。空气含湿量不变,露点温度不变。9.为什么雾出现在早晚?为什么太阳出来雾消散?答:早晚的空气温度较低,低于空气的露点温度,而太阳出来之后空气的温度较高,高于空气的露点温度,使得空气的相对含湿量提高,可以吸收雾水。10.有些房屋外墙内壁面象玻璃一样,冬季也会出现凝水,有什么防止办法?答:加外墙保温,提高内壁面温度。11.如何防止一些冷水管在夏季常常出现的"出汗"现象?答:“出汗”的原因就是冷水管的温度低于空气的露点温度,对水管进行保温即可。习题1-1已知在一体积为100m3的房间内,空气的温度是20℃,压力为101325Pa也通过测量获得水气分压力为1600Pa,试用公式计算:(1)空气的绝对温度z及含湿量d。(2)空气的相对湿度甲,并检查用式(1-7)或(1-8)算出的误差有多少?(3)湿空气、干空气及水汽的质量。解:①Z=293K②③1-2干空气的密度可用什么公式计算?如已知干空气温度t=O℃,压力B=101325Pa,求空气的密度。解:1-3对100kg温度为20℃的空气加入了1kg的水汽,如果原有的空气含湿量为5.5g/kg干空气,试求加湿后空气的含湿量。解:1-4用空气冷却器使d=10g/kg干空气的空气干燥(凝结出水),试求冷却器的表面温度。解:略。1-5输送10℃水的薄壁导管通过空气温度为21℃的房间,管子未保温,为防止在...

1、当您付费下载文档后,您只拥有了使用权限,并不意味着购买了版权,文档只能用于自身使用,不得用于其他商业用途(如 [转卖]进行直接盈利或[编辑后售卖]进行间接盈利)。
2、本站所有内容均由合作方或网友上传,本站不对文档的完整性、权威性及其观点立场正确性做任何保证或承诺!文档内容仅供研究参考,付费前请自行鉴别。
3、如文档内容存在违规,或者侵犯商业秘密、侵犯著作权等,请点击“违规举报”。

碎片内容

空气调节工程 思考题 习题答案

确认删除?
VIP
微信客服
  • 扫码咨询
会员Q群
  • 会员专属群点击这里加入QQ群
客服邮箱
回到顶部