电脑桌面
添加小米粒文库到电脑桌面
安装后可以在桌面快捷访问

龙城新城项目市场推广计划VIP免费

龙城新城项目市场推广计划_第1页
1/39
龙城新城项目市场推广计划_第2页
2/39
龙城新城项目市场推广计划_第3页
3/39
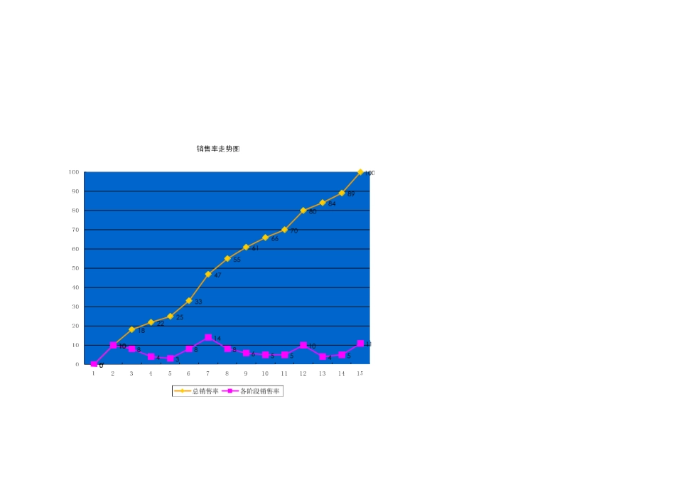
龙城新城项目市场推广计划一、销售阶段分类1)本案销售阶段一览表由于本案有着景观资源稀贵、产品品质高端、现代简约的建筑语汇、实力与品牌的结合等相应的特殊性和唯一性;并考虑到龙城夏季的气温对销售的影响等综合要素,故在具体各销售周期分段拟订时有意的淡化或规避某些销售阶段,在强销期都会有一个大型节日(劳动节、国庆节等)作为依托,但在某些关键的销售阶段则加以强化或拆分,具体内容见下表:项目内容编号各阶段名称时间段天数∑销售率∑1前期准备期04.3.10-4.52626//2预约引导期04.4.6-4.282248//3NO1强销期04.4.29-7.319314125%25%4NO2强销期04.8.1-11.1511325430%55%5产品成熟期04.11.16-05.1.156031415%70%6产品持续期05.1.16-05.3.14535915%85%7产品衰退期05.3.2-05.4.20494085%90%8产品扫荡期05.4.21-5.153644410%100%合计八个阶段04.3.10-05.5.15444天*其中编号1、2不计入规定的12个月中100%本案销售率走势曲线图▲综述:根据本案高单价高总价的特性,在具体行销过程中,减弱相应的个人SP行销。在具体的造势中,利用各个销售阶段的特性,人为的加以“截流蓄势”,在销售分段的NO2、NO3只有当蓄势到一定程度上方可进入下一阶段的行销过程。2)蓄势的重点1、第一次“蓄势”:前期准备期(26天):工地围板出现但只注明:LOGO、案名、电话号码和开发商——受众获悉,但无从得知更详细咨询。(业务人员接听来电不告之产品的任何讯息,让对方留下电话、地址、邮编等资料,承诺对方我们会在开盘的第一时间里将本案的产品资料邮寄给对方)重点:A只让受众得知“什么样的发展商实力出什么样的产品”这一个最简单的咨询,运用“品牌”这一最大的卖点并拖延其购买其他个案时间以争取最大的客户量。B留下客户个人资料。2、第二次“蓄势”:预约引导期(48天):人员进入卖场办公,售楼处、NP、(目标性加强)TV、POP等直观媒体出现,受众与售楼人员直接接洽。但只能获悉产品卖点、面积等简要咨询,但决不告知单价。第一波区域客户和媒体受众客户同时进场,以VIP金卡的形式“变相收定”(VIP金卡具体操作模式略)。使VIP金卡“销路火暴”(600张),鼓励“炒家”进场(控制数量——总户数的20%左右)。诱使未购卡客户留下电话、地址等个人咨讯。重点:A业务员强杀,不考量退户率,卖场造势为主。B留下客户个人资料。3、第三次“蓄势”(最后一次):第一强销期(141天)第三次“蓄势”(对目标性加强两次的“蓄势”加以过滤),使客户的“心理度进一步提升”。“爆棚”的卖场(售楼处),使购卡客户加深对产品的认知度和认同度,使退户率降低,媒体继续的大规模的投放(但广告诉求的“主标”应比第一期加强针对性)。短线“炒家”获利离场(总“炒家”数的5%,后续“炒家”运用独特的付款方式使其签约)。要求业务员签约速度迅速,十分强势。重点:A业务员强杀,不考量退户率,卖场造势为主B留下客户个人资料。3)VIP贵宾卡礼遇1、样品屋的首批实地参观权。2、根据卡号有优先选房权。3、购卡所支付款额,签约时对本案产品不满意的客户,可享受无条件全额无息退还权。*并在签约期的同时摇出幸运卡号(≤总户数的30%)。4、幸运卡号可得98折的购房优惠、其余卡号均为实价销售,无折扣→鼓励“炒家”炒楼,并回避因“折扣守价”而使业务人员花费大量的议价时间。5、可获开发商一年免息贷款→鼓励有实力的“炒家”不急于抛售,20%首付款签约,等一年后现房抛售利润空间会更大。6、其余卡号禁止定单更名,来控制炒家的过多介入。二、市场攻击战略第一阶段:第四阶段:形象/展示攻击阶段现别墅攻击阶段结点:展示中心出现结点:外立面出现核心点:形象/展示中心出现核心攻击点:别墅落成第二阶段:第三阶段:示范攻击阶段实景攻击阶段结点:别墅建筑有形象结点:顶部出现核心点:样板间/环境核心点:实景展示本案攻击目标:在第三阶段结束战斗1、各阶段攻击力第一攻击阶段第一阶段:第四阶段:形象/展示攻击阶段现别墅攻击阶段结点:展示中心出现结点:外立面出现核心点:形象/展示中心出现核心攻击点:别墅落成第二阶段:第三阶段:示范攻击阶段实景攻击阶段结点:别墅建筑...

1、当您付费下载文档后,您只拥有了使用权限,并不意味着购买了版权,文档只能用于自身使用,不得用于其他商业用途(如 [转卖]进行直接盈利或[编辑后售卖]进行间接盈利)。
2、本站所有内容均由合作方或网友上传,本站不对文档的完整性、权威性及其观点立场正确性做任何保证或承诺!文档内容仅供研究参考,付费前请自行鉴别。
3、如文档内容存在违规,或者侵犯商业秘密、侵犯著作权等,请点击“违规举报”。

碎片内容

龙城新城项目市场推广计划

确认删除?
VIP
微信客服
  • 扫码咨询
会员Q群
  • 会员专属群点击这里加入QQ群
客服邮箱
回到顶部