电脑桌面
添加小米粒文库到电脑桌面
安装后可以在桌面快捷访问

腾飞培训班资料VIP免费

腾飞培训班资料_第1页
1/4
腾飞培训班资料_第2页
2/4
腾飞培训班资料_第3页
3/4
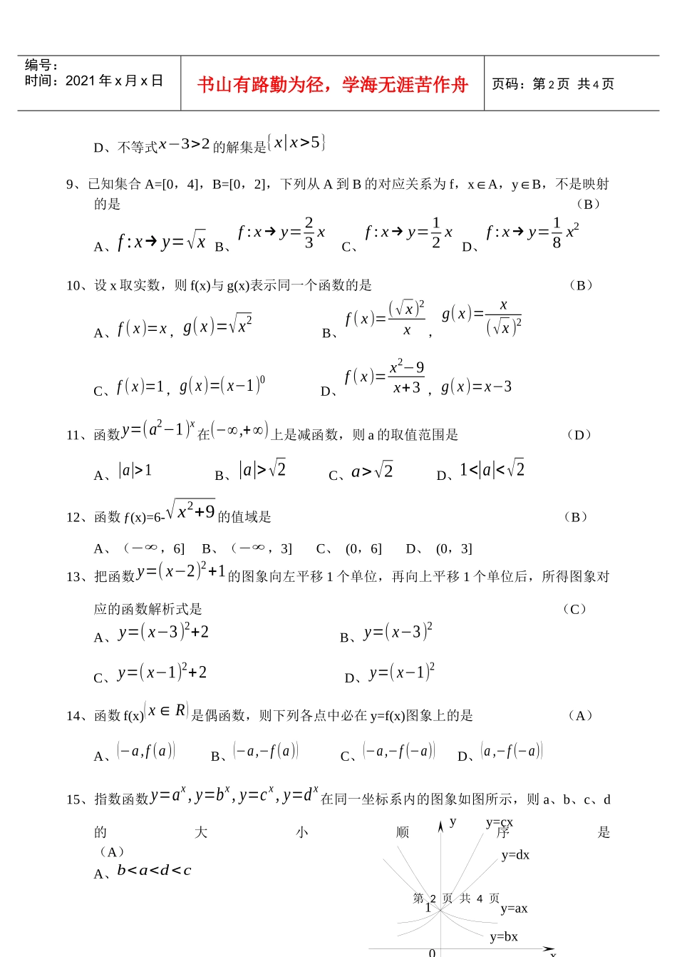
第1页共4页编号:时间:2021年x月x日书山有路勤为径,学海无涯苦作舟页码:第1页共4页腾飞培训班资料必修1基础题训练一、选择题1、设集合M={x∈R|x<3},a=√2.下列选项正确的是(D)A、a∉MB、{a}MC∈、aMD、{a}M2、方程组{x+y=1x2−y2=9的解(x,y)的集合是(D)A、(5,4)B、{5,−4}C、{(−5,4)}D、{(5,−4)}3、已知U={1,2,3,4},集合A={1,2,4},则CUA=(C)A、{3,5}B、{0,3,5}C、{3}D、{0,5}4、集合{0,1,2}的真子集共有(C)A、5个B、6个C、7个D、8个5、已知集合M,N且M¿N=M,则下面一定成立的是(B)A、M=NB、M⊆NC、M⊇ND、M=φ6、已知集合M={x|x≤1},P={x|x>t},若M∩P≠φ,则实数t应该满足的条件是(A)A、t>1B、t≥1C、t<1D、t≤17、设集合A={x|−5≤x≤1},B={x||x|≤4},则A∪B=(A)A、{x|−5≤x≤4}B、{x|−4≤x≤4}C、{x|−4≤x≤1}D、{x|12的解集是{x|x>5}9、已知集合A=[0,4],B=[0,2],下列从A到B的对应关系为f,xA∈,yB∈,不是映射的是(B)A、f:x→y=√xB、f:x→y=23xC、f:x→y=12xD、f:x→y=18x210、设x取实数,则f(x)与g(x)表示同一个函数的是(B)A、f(x)=x,g(x)=√x2B、f(x)=(√x)2x,g(x)=x(√x)2C、f(x)=1,g(x)=(x−1)0D、f(x)=x2−9x+3,g(x)=x−311、函数y=(a2−1)x在(−∞,+∞)上是减函数,则a的取值范围是(D)A、|a|>1B、|a|>√2C、a>√2D、1<|a|<√212、函数ƒ(x)=6-√x2+9的值域是(B)A、(-∞,6]B、(-∞,3]C、(0,6]D、(0,3]13、把函数y=(x−2)2+1的图象向左平移1个单位,再向上平移1个单位后,所得图象对应的函数解析式是(C)A、y=(x−3)2+2B、y=(x−3)2C、y=(x−1)2+2D、y=(x−1)214、函数f(x)(x∈R)是偶函数,则下列各点中必在y=f(x)图象上的是(A)A、(−a,f(a))B、(−a,−f(a))C、(−a,−f(−a))D、(a,−f(−a))15、指数函数y=ax,y=bx,y=cx,y=dx在同一坐标系内的图象如图所示,则a、b、c、d的大小顺序是(A)A、bf(−10)]三、解答题:(第21、22题每题6分,第23题8分,共20分)21、若A={x|x2−5x+6=0},B={x|ax−6=0},且A∪B=A,求由实数a组成的集合。解:由实数a组成的集合为{0,2,3}22、已知f(3x+1)=9x2−6x+5,求函数f(x)的解析式解:f(x)=x2−4x+823、定义在R上的奇函数f(x)在[0,+∞)是增函数,判断f(x)在(−∞,0)上的增减性,并证明你的结论。证明:任取x1−x2>0………(2分)∵函数y=f(x)在R上是奇函数,而且在(0,+∞)上是增函数,∴f(−x1)>f(−x2)…………(3分)第4页共4页第3页共4页编号:时间:2021年x月x日书山有路勤为径,学海无涯苦作舟页码:第4页共4页∴−f(x1)>−f(x2)∴f(x1)

1、当您付费下载文档后,您只拥有了使用权限,并不意味着购买了版权,文档只能用于自身使用,不得用于其他商业用途(如 [转卖]进行直接盈利或[编辑后售卖]进行间接盈利)。
2、本站所有内容均由合作方或网友上传,本站不对文档的完整性、权威性及其观点立场正确性做任何保证或承诺!文档内容仅供研究参考,付费前请自行鉴别。
3、如文档内容存在违规,或者侵犯商业秘密、侵犯著作权等,请点击“违规举报”。

碎片内容

腾飞培训班资料

中小学教育精品资料+ 关注
实名认证
内容提供者

中小学教育资料,优质文档创作者

确认删除?
微信客服
  • 扫码咨询
会员Q群
  • 会员专属群点击这里加入QQ群