电脑桌面
添加小米粒文库到电脑桌面
安装后可以在桌面快捷访问

机械工程控制基础VIP免费

机械工程控制基础_第1页
1/36
机械工程控制基础_第2页
2/36
机械工程控制基础_第3页
3/36
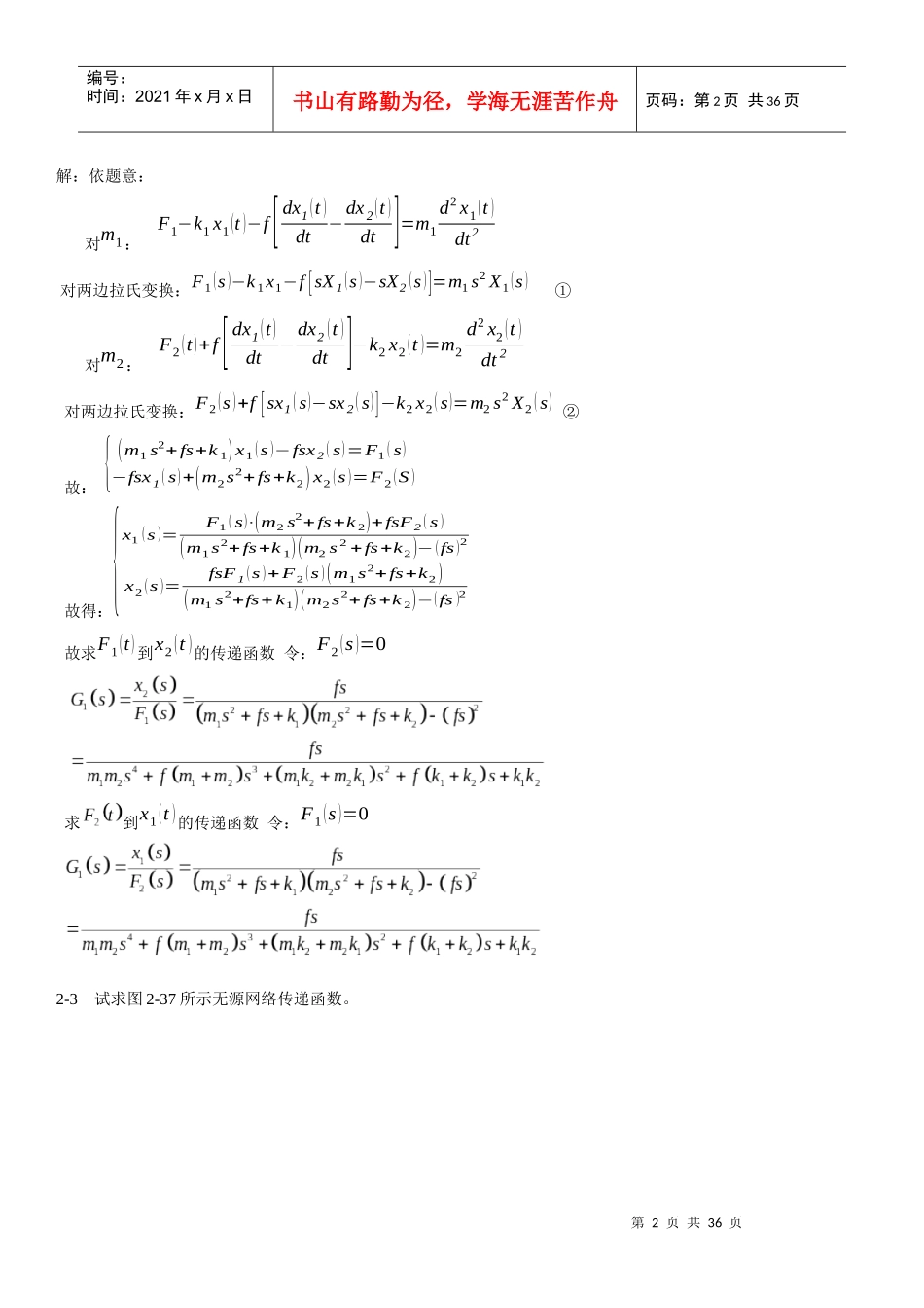
第1页共36页编号:时间:2021年x月x日书山有路勤为径,学海无涯苦作舟页码:第1页共36页机械控制工程基础答案提示第二章系统的数学模型2-1试求如图2-35所示机械系统的作用力F(t)与位移y(t)之间微分方程和传递函数。图2-35题2-1图解:依题意:故md2y(t)dt2+f⋅dy(t)dt+ky(t)=ab⋅F(t)传递函数:G(s)=Y(s)F(s)=abms2+fs+k2-2对于如图2-36所示系统,试求出作用力F1(t)到位移x2(t)的传递函数。其中,f为粘性阻尼系数。F2(t)到位移x1(t)的传递函数又是什么?图2-36题2-2图第2页共36页第1页共36页编号:时间:2021年x月x日书山有路勤为径,学海无涯苦作舟页码:第2页共36页解:依题意:对m1:F1−k1x1(t)−f[dx1(t)dt−dx2(t)dt]=m1d2x1(t)dt2对两边拉氏变换:F1(s)−k1x1−f[sX1(s)−sX2(s)]=m1s2X1(s)①对m2:F2(t)+f[dx1(t)dt−dx2(t)dt]−k2x2(t)=m2d2x2(t)dt2对两边拉氏变换:F2(s)+f[sx1(s)−sx2(s)]−k2x2(s)=m2s2X2(s)②故:{(m1s2+fs+k1)x1(s)−fsx2(s)=F1(s)−fsx1(s)+(m2s2+fs+k2)x2(s)=F2(S)故得:{x1(s)=F1(s)⋅(m2s2+fs+k2)+fsF2(s)(m1s2+fs+k1)(m2s2+fs+k2)−(fs)2x2(s)=fsF1(s)+F2(s)(m1s2+fs+k2)(m1s2+fs+k1)(m2s2+fs+k2)−(fs)2故求F1(t)到x2(t)的传递函数令:F2(s)=0求到x1(t)的传递函数令:F1(s)=02-3试求图2-37所示无源网络传递函数。第3页共36页第2页共36页编号:时间:2021年x月x日书山有路勤为径,学海无涯苦作舟页码:第3页共36页图2-37题2-3图解(a)系统微分方程为拉氏变换得消去中间变量得:(b)设各支路电流如图所示。系统微分方程为第4页共36页第3页共36页编号:时间:2021年x月x日书山有路勤为径,学海无涯苦作舟页码:第4页共36页由(1)得:由(2)得:由(3)得:由(4)得:由(5)得:由(6)得:故消去中间变量得:2-4证明L[cosωt]=ss2+ω2证明:设由微分定理有(1)由于,,(2)第5页共36页第4页共36页编号:时间:2021年x月x日书山有路勤为径,学海无涯苦作舟页码:第5页共36页将式(2)各项带入式(1)中得即整理得2-5求的拉氏变换。解:令,得由于伽马函数,在此所以2-6求下列象函数的拉氏反变换。(1)X(s)=5s+3(s+1)(s+2)(s+3)(2)X(s)=s2+2s+3(s+1)3(3)X(s)=1s(s+1)3(s+2)解:(1)同理,第6页共36页第5页共36页编号:时间:2021年x月x日书山有路勤为径,学海无涯苦作舟页码:第6页共36页拉式反变换得(2)拉式反变换得(3)所以拉式反变换得2-7绘制图2-38所示机械系统的方框图。第7页共36页第6页共36页编号:时间:2021年x月x日书山有路勤为径,学海无涯苦作舟页码:第7页共36页图2-38题2-7图解依题意:k[x(t)+y(t)]+f1d[x(t)−y(t)]dt−f2dy(t)dt=md2y(t)dt2两边拉氏变换得:k[X(s)−Y(s)]+f1s[X(s)−Y(s)]−f2sY(s)=ms2Y(s)⇒(k+f1s)[X(s)−Y(s)]−f2sY(s)=ms2Y(s)⇒1ms2[(k+f1s)(X(s)−Y(s))−f2Y(s)]=Y(s)故得方块图:2-8如图2-39所示系统,试求(1)以X(s)为输入,分别以Y(s)、X1(s)、B(s)、E(s)为输出的传递函数。(2)以N(s)为输入,分别以Y(s)、X1(s)、B(s)、E(s)为输出的传递函数。第8页共36页第7页共36页编号:时间:2021年x月x日书山有路勤为径,学海无涯苦作舟页码:第8页共36页图2-39题2-8图解(1)G1(s)=Y(s)X(s)=G1(s)G2(s)1+G1(s)G2(s)H(s)Y(cs)=E(s)G1(s)B(s)=Y1(s)⋅G2(s)⋅H(s)E(s)=X(s)−B(s)=X(s)−Y1(s)⋅G2(s)⋅H(s)故Y1(s)=[X(s)−Y1(s)⋅G2(s)⋅H(s)]⋅G1(s)G2(s)=Y1(s)X1(s)=G1(s)1+G1(s)G2(s)H(s)G3(s)=B(s)X(s)=G1(s)G2(s)H(s)1+G1(s)G2(s)H(s)G4(s)=E(s)X(s)=11+G1(s)G2(s)H(s)(2)G1(s)=Y(s)N(s)=G2(s)1+G1(s)G2(s)H(s)G2(s)=Y1(s)N(s)=−G1(s)G2(s)H(s)1+G1(s)G2(s)H(s)G3(s)=B(s)N(s)=G2(s)H(s)1+G1(s)G2(s)H(s)G4(s)=E(s)N(s)=−G2(s)H(s)1+G1(s)G2(s)H(s)2-9化简如图2-40所示各系统方块图,并求其传递函数。第9页共36页第8页共36页编号:时间:2021年x月x日书山有路勤为径,学海无涯苦作舟页码:第9页共36页图2-40题2-9图解:(a)第三回路传递函数:F2(s)=G31+H3G3第二回路传递函数:F2(s)=G2⋅F3(s)1+G2F3(s)H(s)=G2G31+G3H31+G2G3H21+G3H3=G2G31+G3H3+G2H2G3第一回路传递函数:Y(s)X(s)=G...

1、当您付费下载文档后,您只拥有了使用权限,并不意味着购买了版权,文档只能用于自身使用,不得用于其他商业用途(如 [转卖]进行直接盈利或[编辑后售卖]进行间接盈利)。
2、本站所有内容均由合作方或网友上传,本站不对文档的完整性、权威性及其观点立场正确性做任何保证或承诺!文档内容仅供研究参考,付费前请自行鉴别。
3、如文档内容存在违规,或者侵犯商业秘密、侵犯著作权等,请点击“违规举报”。

碎片内容

机械工程控制基础

您可能关注的文档

精品中小学文档+ 关注
实名认证
内容提供者

精品资料,值得下载

确认删除?
VIP
微信客服
  • 扫码咨询
会员Q群
  • 会员专属群点击这里加入QQ群
客服邮箱
回到顶部