电脑桌面
添加小米粒文库到电脑桌面
安装后可以在桌面快捷访问

基础工程设计说明书VIP免费

基础工程设计说明书_第1页
1/11
基础工程设计说明书_第2页
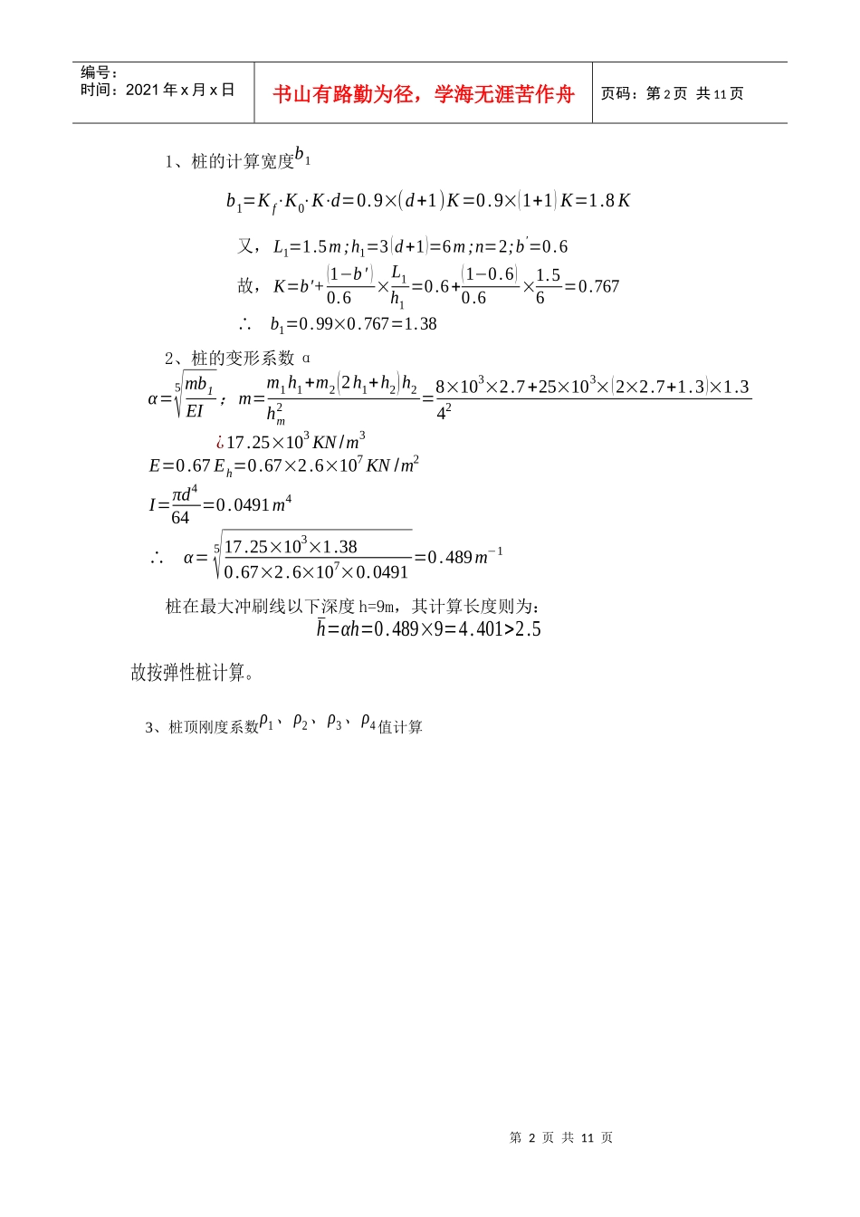
2/11
基础工程设计说明书_第3页
3/11
设计说明书一、设计资料1、地址及水文河床土质:从地面(河床)至标高32.5m为软塑粘土,以下为密实粗砂,深度达30m;河床标高为40.5m,一般冲刷线标高为38.5m,最大冲刷线为35.2m,常水位42.5m。2、土质指标表1土质指标类型地基系数m(KN/m4)极限摩阻力τ(KPa)内摩擦角φ容重γ(KN/m3)软塑粘土8×1034020°12密实粗砂25×10312038°123、桩、承台尺寸与材料承台尺寸:7.0m×4.5m×2.0m。拟定采用四根桩,设计直径1.0m。桩身混凝土用20号,其受压弹性模量Eh=2.6×104MPa。4、荷载情况上部为等跨25m的预应力梁桥,混凝土桥墩,承台顶面上纵桥向荷载为:恒载及一孔活载时:ΣN0=5659.4KNΣH0=298.8KN(制动力及风力)ΣM0=3847.7KN·m(竖直力偏心、制动力、风力等引起的弯矩)恒载及二孔活载时:ΣN0=6498.2KN桩(直径1.0m)自重每延米为:q=π×1.024×15=11.78KN/m(已扣除浮力)故,作用在承台底面中心的荷载力为:ΣN=5659.4+(7.0×4.5×2.0×25)=7234.4KNΣH=298.8KNΣM=3847.7+298.8×2.0=4445.3KN·m恒载及二孔活载时:ΣN=6498.2+(7.0×4.5×2.0×25)=8073.2KN。桩基础采用冲抓锥钻孔灌注第1页共11页编号:时间:2021年x月x日书山有路勤为径,学海无涯苦作舟页码:第1页共11页桩基础,为摩擦桩。二、单桩容许承载力的确定根据《公路桥涵地基与基础设计规范》中确定单桩容许承载力的经验公式,初步反算桩的长度,设该桩埋入最大冲刷线以下深度为h,一般冲刷线以下深度为h3。则,Nh=[P]=12UΣliτi+λm0A{[σ0]+k2γ2(h2−3)}当两跨活载时:Nh=8073.24+3.3×11.78+12×11.78h(KN)计算[P]时取以下数据:桩的设计桩径1.0m,冲抓锥成孔直径为1.15m,桩周长U=π×1.15=3.61m,A=π×124=0.485m2,λ=0.70,m0=0.9,K2=6.0,[σ0]=550KPa,γ2=12KN/m2(已扣除浮力),τ1=40KPa,τ2=120KPa。[P]=12×3.61×[2.7×40+(h−2.7)×120]+0.70×0.9×0.785×[550+6.0×12×(h+3.3−3)]¿Nh=2057.17+5.89∴h=8.78m现取h=9m,桩底标高为26.2m。桩的轴向承载力符合要求。具体见如图1所示。图1双排桩断面(a)纵桥向断面(b)横桥向断面三、桩顶及最大冲刷线处荷载Pi、Qi、MiP及0、Q0、M0的计算<一>、参数计算第2页共11页第1页共11页编号:时间:2021年x月x日书山有路勤为径,学海无涯苦作舟页码:第2页共11页1、桩的计算宽度b1b1=Kf⋅K0⋅K⋅d=0.9×(d+1)K=0.9×(1+1)K=1.8K又,L1=1.5m;h1=3(d+1)=6m;n=2;b′=0.6故,K=b′+(1−b′)0.6×L1h1=0.6+(1−0.6)0.6×1.56=0.767∴b1=0.99×0.767=1.382、桩的变形系数αα=5√mb1EI;m=m1h1+m2(2h1+h2)h2hm2=8×103×2.7+25×103×(2×2.7+1.3)×1.342¿17.25×103KN/m3E=0.67Eh=0.67×2.6×107KN/m2I=πd464=0.0491m4∴α=5√17.25×103×1.380.67×2.6×107×0.0491=0.489m−1桩在最大冲刷线以下深度h=9m,其计算长度则为:h=αh=0.489×9=4.401>2.5故按弹性桩计算。3、桩顶刚度系数ρ1、ρ2、ρ3、ρ4值计算第3页共11页第2页共11页编号:时间:2021年x月x日书山有路勤为径,学海无涯苦作舟页码:第3页共11页l0=3.3m;h=9m;ξ=12;A=πd24=0.785m2C0=10m0=10×25×103=2.5×105KN/m3按桩中心距计算面积,故取A0=π4×2.52=4.91m2∴ρ1=1l0+3hAEh+1C0A0=[3.3+12×90.785×2.6×107+12.5×105×4.91]−1=8.355×105=0.977EI已知:h=αh=0.489×9=4.401>4,取用4l0=αl0=0.489×3.3=1.614查附表17、18、19得:xQ=0.262564;xm=0.448403;φm=1.063181ρ2=α3EIxQ=0.031EIρ3=α2EIxm=0.107EIρ4=αEIφm=0.520EI4、计算承台底面原点O处位移a0、b0、β0b0=Nnρ1=7234.44×0.977EI=1851.42EInρ4+ρ1∑i=1mxi2=4×0.50EI+0.977EI×4×1.252=8.185EInρ2=4×0.031EI=0.124EInρ3=4×0.107EI=0.429EI(nρ3)2=(0.429EI)2=0.184(EI)2∴a0=(nρ4+ρ1∑i=1mxi2)H+nρ3Mnρ2(nρ4+ρ1∑i=1mxi2)−(nρ3)2=8.185EI×298.8+0.429EI×4445.30.124EI×8.185EI−0.184(EI)2=5299.66EIβ0=nρ2M+nρ3Hnρ2(nρ4+ρ1∑i=1mxi2)−(nρ3)2=0.124EI×4445.3+0.429EI×298.80.124EI×8.185EI−0.184(EI)2=820.80EI<二>计算作用在每根桩顶上的作用力Pi、Qi、Mi第4...

1、当您付费下载文档后,您只拥有了使用权限,并不意味着购买了版权,文档只能用于自身使用,不得用于其他商业用途(如 [转卖]进行直接盈利或[编辑后售卖]进行间接盈利)。
2、本站所有内容均由合作方或网友上传,本站不对文档的完整性、权威性及其观点立场正确性做任何保证或承诺!文档内容仅供研究参考,付费前请自行鉴别。
3、如文档内容存在违规,或者侵犯商业秘密、侵犯著作权等,请点击“违规举报”。

碎片内容

基础工程设计说明书

教育精品店+ 关注
实名认证
内容提供者

优良的服务

确认删除?
VIP
微信客服
  • 扫码咨询
会员Q群
  • 会员专属群点击这里加入QQ群
客服邮箱
回到顶部