电脑桌面
添加小米粒文库到电脑桌面
安装后可以在桌面快捷访问

分形整合过程在经济预测中的应用VIP免费

分形整合过程在经济预测中的应用_第1页
1/8
分形整合过程在经济预测中的应用_第2页
2/8
分形整合过程在经济预测中的应用_第3页
3/8
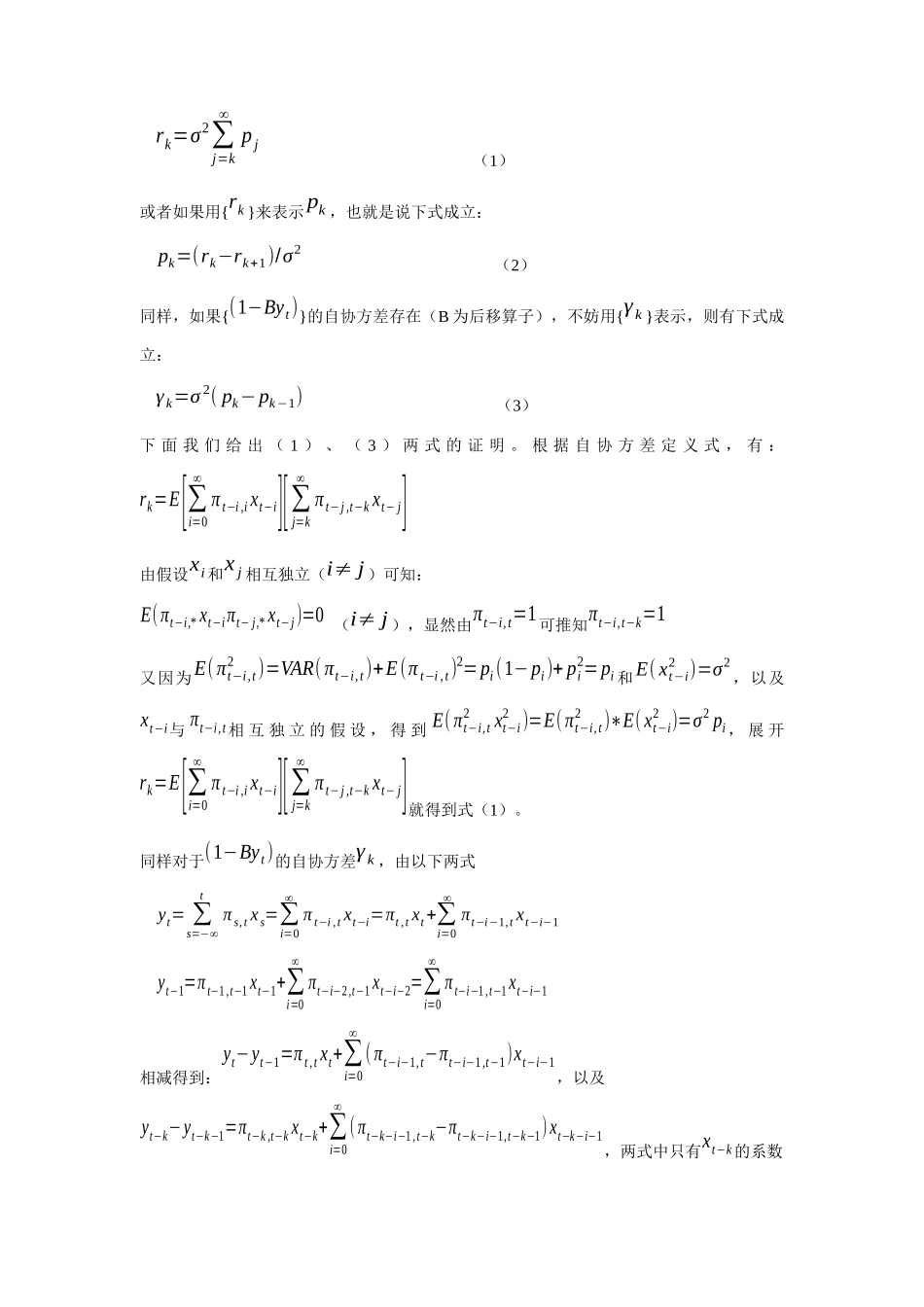
分形整合过程在经济预测中的应用邹新月1吕先进2(1湘潭工学院411201,2上海大学200072)摘要本文首先采用一个分形整合模型——误差逗留模型(Error-DurationModel)仔细推导了分形时间序列过程的性质,特别是序列自相关系数的性质,表明分形整合过程与常规的时间序列分析工具有很大的不同,然后以一个实际的时间序列为例,说明了分形整合过程在经济预测中的应用比传统的分析工具有较好的预测精度。关键字分形分形整合误差逗留模型1引言经济数据(特别是经济生活中的时间序列)的辨识、建模、估计和预测一直是统计学家,尤其是计量经济学家们重点研究的对象。人们只有更准确地揭示出经济数据的内在规律,才能正确把握经济变量之间的本质联系,完整地弄清市场经济的运作范式,从而为经济主管部门提供客观的决策依据。众所周知,回归分析和时间序列分析方法过去是、今后仍然是经济领域研究的主要工具,特别是自ENGLE(1982)提出ARCH模型之后,时间序列分析方法又拓宽了一大步,出现了诸如ARCH、ARIMA、GARCH、EGARCH、EGARCH-M等模型,这些模型较之以前的模型更接近经济生活的实际,所以取得了更好的效果。但是近二十年的实证研究又表明上述方法与真实的模型之间仍然有一定的不容忽视的差距,或者说其残差不能完全归结为随机噪声。为解决这个问题,需要人们继续拓宽视野,从更广的角度、更深的层次来把握经济规律的邹新月,1965出生,湖南新化人,湘潭工学院副教授,博士,研究方向:数量经济理论与应用,电话:(0732)8290411(H)8290046(O)内涵,这正是实证研究自身发展的需要;另一方面,从LORENZ提出的“蝴蝶效应”,到HURST发现的R/S分析,再到MANDOLBROT分形几何学的创立,又为统计学家的实证研究奠定了理论基础,两者的有机结合就开创了分形整合过程或者说是时间序列长程相关性的研究,出现了ARFIMA、FIGARCH、ARFIMA-GARCH等模型,甚至是GARMA、ARFISMA(文献[1])等模型,该领域的研究一直是时间序列分析的重点,在西方计量经济分析的研究中仍然是方兴未艾,因为该领域尚未解决的问题比已经解决的问题还要多得多,这也许就是其魅力之所在。国内学者在该领域的研究也比较活跃,公开发出现了许多研究成果(文献[4]、[5]、[6]),如文献[6]的理论推广,文献[4]利用FIGARCH模型对股市长记忆性的实证分析等等。本文试图以误差逗留模型(Error-DurationModel)来仔细推导分形整合过程产生的机制和相关的性质,以及时间序列长程相关性的判别方法,最后通过一个实例说明分形整合过程在经济预测中的应用。文章主要由两个部分组成,第一部分是误差逗留模型的相关推导,第二部分就是利用所得到的性质来分析企业生存期的长短对就业的影响,指出这种影响远非ARCH或GARCH模型可以描述的。2误差逗留模型(Error-DurationModel)的推导设{xi,i=1,2,⋯⋯}是一独立同分布的误差序列,且E(xi)=0,VAR(xi)=σ2为常数,假设误差xs逗留期为随机变量ns,即xs的生存期为[s,s+ns],再定义关于xs的生存示性函数为:πs,t={10t≤s+nst>s+ns,并设对于所有的t≥s,有xs和πs,t相互独立。用pk表示xs生存期为k的概率,即pk=Pr(πs,s+k=1),显然{pk,k=1,2,⋯}为单调非增序列,为方便起见,可取p0=1。yt表示在t期及以前所有误差xt−i,i=0,1,2,⋯的累计误差总和,即yt=∑s=−∞tπs,txs=∑i=0∞πt−i,txt−i。如果{yt}的自协方差存在,不妨用{rk}表示(k为时滞),则下式成立:rk=σ2∑j=k∞pj(1)或者如果用{rk}来表示pk,也就是说下式成立:pk=(rk−rk+1)/σ2(2)同样,如果{(1−Byt)}的自协方差存在(B为后移算子),不妨用{γk}表示,则有下式成立:γk=σ2(pk−pk−1)(3)下面我们给出(1)、(3)两式的证明。根据自协方差定义式,有:rk=E[∑i=0∞πt−i,ixt−i][∑j=k∞πt−j,t−kxt−j]由假设xi和xj相互独立(i≠j)可知:E(πt−i,*xt−iπt−j,*xt−j)=0(i≠j),显然由πt−i,t=1可推知πt−i,t−k=1又因为E(πt−i,t2)=VAR(πt−i,t)+E(πt−i,t)2=pi(1−pi)+pi2=pi和E(xt−i2)=σ2,以及xt−i与πt−i,t相互独立的假设,得到E(πt−i,t2xt−i2)=E(πt−i,t2)∗E(xt−i2)=σ2pi,展...

1、当您付费下载文档后,您只拥有了使用权限,并不意味着购买了版权,文档只能用于自身使用,不得用于其他商业用途(如 [转卖]进行直接盈利或[编辑后售卖]进行间接盈利)。
2、本站所有内容均由合作方或网友上传,本站不对文档的完整性、权威性及其观点立场正确性做任何保证或承诺!文档内容仅供研究参考,付费前请自行鉴别。
3、如文档内容存在违规,或者侵犯商业秘密、侵犯著作权等,请点击“违规举报”。

碎片内容

分形整合过程在经济预测中的应用

中小学资料+ 关注
实名认证
内容提供者

精美课件,值得下载

确认删除?
VIP
微信客服
  • 扫码咨询
会员Q群
  • 会员专属群点击这里加入QQ群
客服邮箱
回到顶部