电脑桌面
添加小米粒文库到电脑桌面
安装后可以在桌面快捷访问

特征方程法求解递推关系中的数列通项62369VIP免费

特征方程法求解递推关系中的数列通项62369_第1页
1/10
特征方程法求解递推关系中的数列通项62369_第2页
2/10
特征方程法求解递推关系中的数列通项62369_第3页
3/10
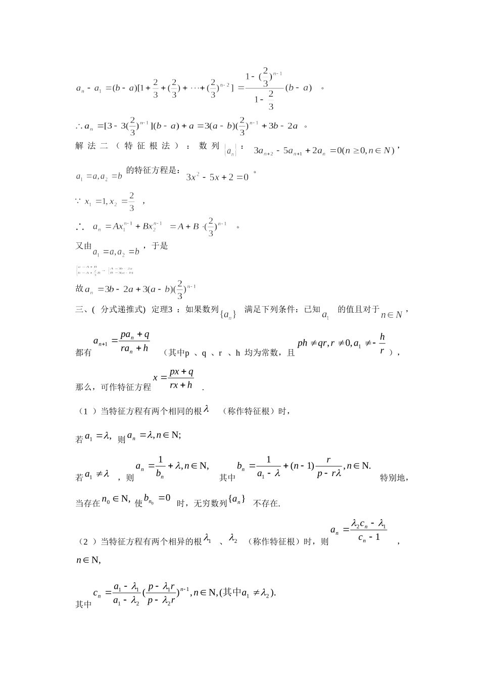
云南省2010届高三二轮复习数学专题教案(四十六)特征方程法求解递推关系中的数列通项一、(一阶线性递推式)设已知数列的项满足,其中求这个数列的通项公式。采用数学归纳法可以求解这一问题,然而这样做太过繁琐,而且在猜想通项公式中容易出错,本文提出一种易于被学生掌握的解法——特征方程法:针对问题中的递推关系式作出一个方程称之为特征方程;借助这个特征方程的根快速求解通项公式.下面以定理形式进行阐述.定理1:设上述递推关系式的特征方程的根为,则当时,为常数列,即;,其中是以为公比的等比数列,即.证明:因为由特征方程得作换元则当时,,数列是以为公比的等比数列,故当时,,为0数列,故(证毕)下面列举两例,说明定理1的应用.例1.已知数列满足:求解:作方程当时,数列是以为公比的等比数列.于是例2.已知数列满足递推关系:其中为虚数单位。当取何值时,数列是常数数列?解:作方程则要使为常数,即则必须二、(二阶线性递推式)定理2:对于由递推公式,给出的数列,方程,叫做数列的特征方程。若是特征方程的两个根,当时,数列的通项为,其中A,B由决定(即把和,代入,得到关于A、B的方程组);当时,数列的通项为,其中A,B由决定(即把和,代入,得到关于A、B的方程组)。例3:已知数列满足,求数列的通项公式。解法一(待定系数——迭加法)由,得,且。则数列是以为首项,为公比的等比数列,于是。把代入,得,,,。把以上各式相加,得。。解法二(特征根法):数列:,的特征方程是:。,。又由,于是故三、(分式递推式)定理3:如果数列满足下列条件:已知的值且对于,都有hraqpaannn1(其中p、q、r、h均为常数,且rharqrph1,0,),那么,可作特征方程hrxqpxx.(1)当特征方程有两个相同的根(称作特征根)时,若,1a则;N,nan若1a,则,N,1nbann其中.N,)1(11nrprnabn特别地,当存在,N0n使00nb时,无穷数列}{na不存在.(2)当特征方程有两个相异的根1、2(称作特征根)时,则112nnncca,,Nn其中).(,N,)(211212111anrprpaacnn其中例3、已知数列}{na满足性质:对于,324,N1nnnaaan且,31a求}{na的通项公式.解:依定理作特征方程,324xxx变形得,04222xx其根为.2,121故特征方程有两个相异的根,使用定理2的第(2)部分,则有.N,)221211(2313)(11212111nrprpaacnnn∴.N,)51(521ncnn∴.N,1)51(521)51(52211112nccannnnn即.N,)5(24)5(nannn例5.已知数列}{na满足:对于,Nn都有.325131nnnaaa(1)若,51a求;na(2)若,31a求;na(3)若,61a求;na(4)当1a取哪些值时,无穷数列}{na不存在?解:作特征方程.32513xxx变形得,025102xx特征方程有两个相同的特征根.5依定理2的第(1)部分解答.(1) .,511aa对于,Nn都有;5na(2) .,311aa∴rprnabn)1(1151131)1(531n,8121n令0nb,得5n.故数列}{na从第5项开始都不存在,当n≤4,Nn时,51751nnbann.(3) ,5,61a∴.1a∴.,811)1(11Nnnrprnabn令,0nb则.7nn∴对于.0bN,nn∴.N,7435581111nnnnbann(4)、显然当31a时,数列从第2项开始便不存在.由本题的第(1)小题的解答过程知,51a时,数列}{na是存在的,当51a时,则有.N,8151)1(111nnarprnabn令,0nb则得N,11351nnna且n≥2.∴当11351nna(其中Nn且N≥2)时,数列}{na从第n项开始便不存在.于是知:当1a在集合3{或,:1135Nnnn且n≥2}上取值时,无穷数列}{na都不存在.练习题:求下列数列的通项公式:在数列}{na中,,7,121aa)3(3221naaannn,求na。(key:21)1(32nnna)在数列}{na中,,5,121aa且2145nnnaaa,求na。(key:)14(31nna...

1、当您付费下载文档后,您只拥有了使用权限,并不意味着购买了版权,文档只能用于自身使用,不得用于其他商业用途(如 [转卖]进行直接盈利或[编辑后售卖]进行间接盈利)。
2、本站所有内容均由合作方或网友上传,本站不对文档的完整性、权威性及其观点立场正确性做任何保证或承诺!文档内容仅供研究参考,付费前请自行鉴别。
3、如文档内容存在违规,或者侵犯商业秘密、侵犯著作权等,请点击“违规举报”。

碎片内容

特征方程法求解递推关系中的数列通项62369

您可能关注的文档

确认删除?
VIP
微信客服
  • 扫码咨询
会员Q群
  • 会员专属群点击这里加入QQ群
客服邮箱
回到顶部