电脑桌面
添加小米粒文库到电脑桌面
安装后可以在桌面快捷访问

大学高数上期试题2VIP免费

大学高数上期试题2_第1页
1/5
大学高数上期试题2_第2页
2/5
大学高数上期试题2_第3页
3/5
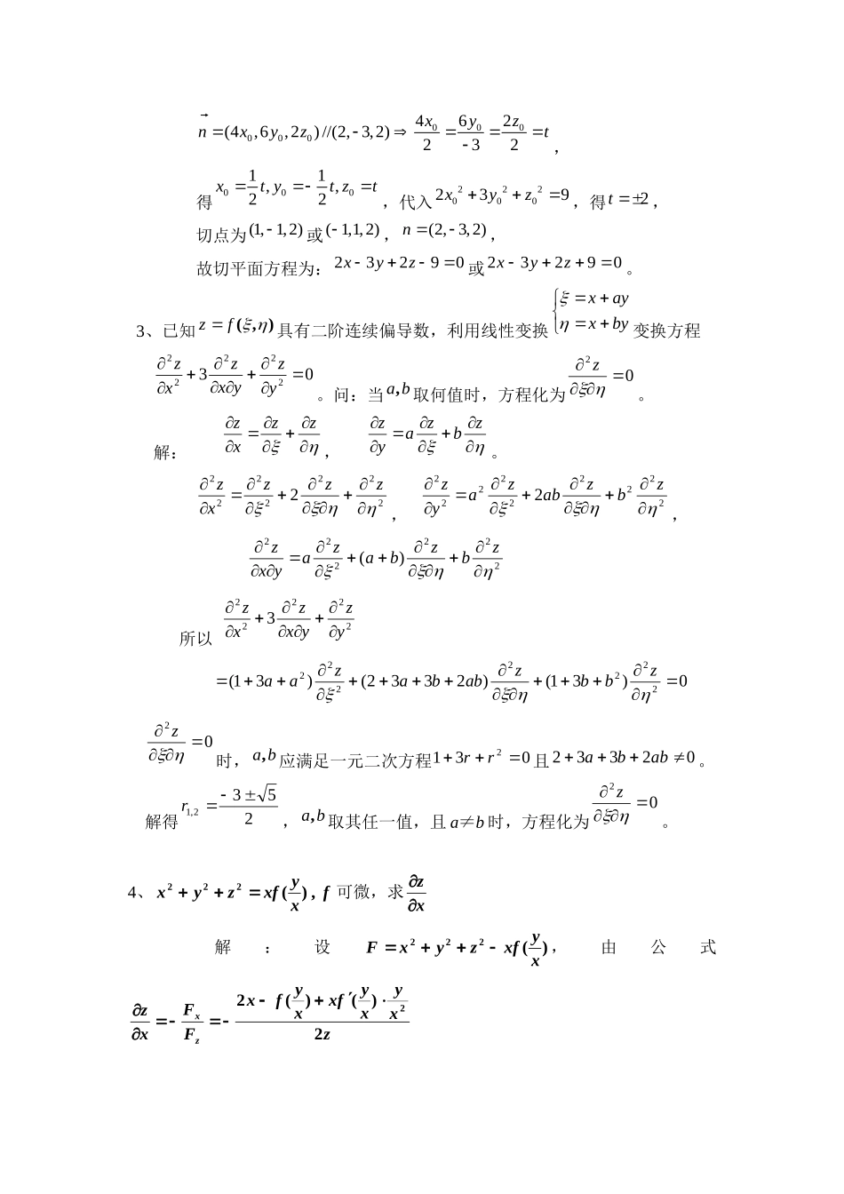
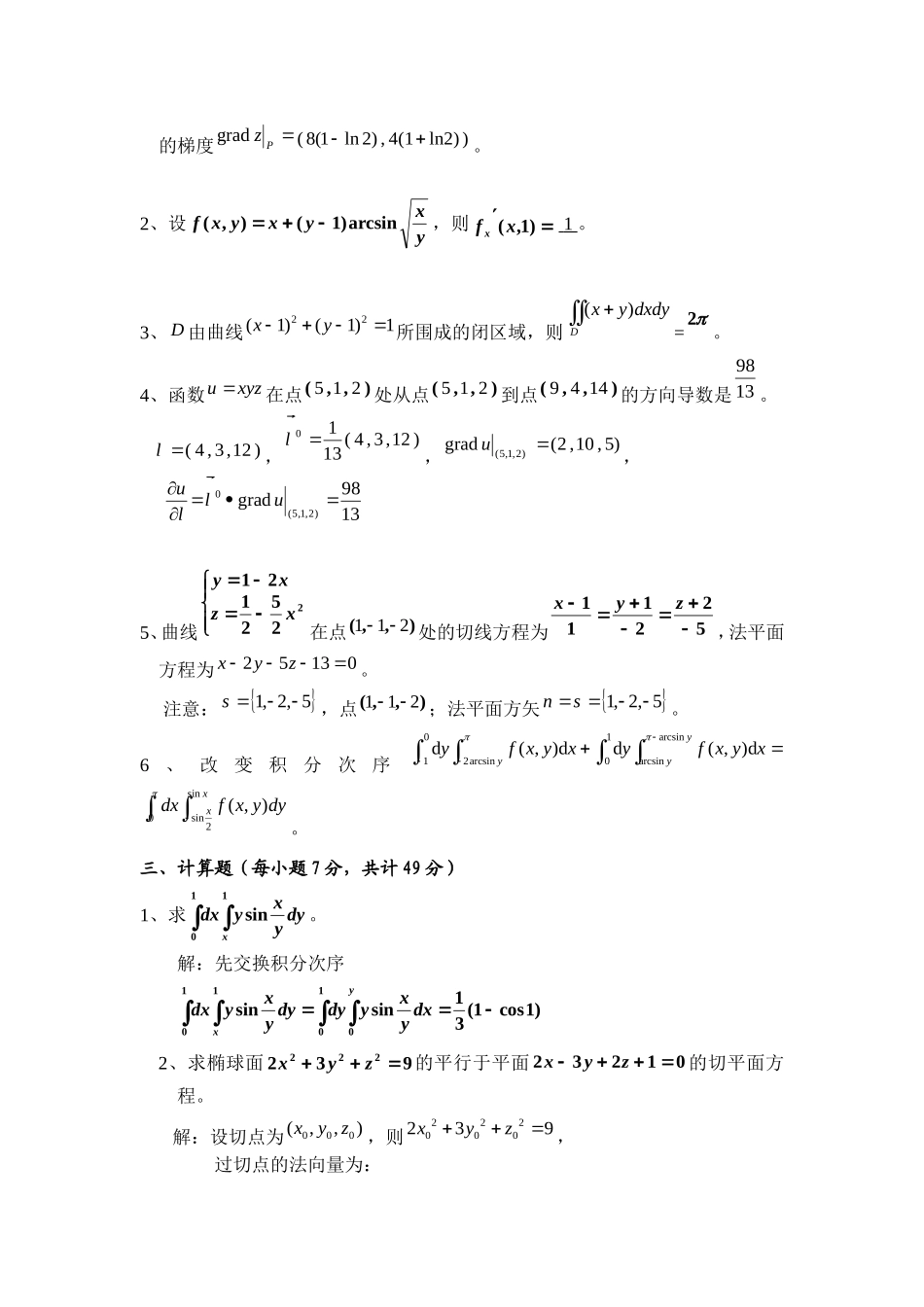
高等数学II期中考试解答一、选择题(每小题3分,共计15分)1、函数000),(222222yxyxyxxyyxf在(0,0)点B。(A).连续,偏导函数都存在;(B).不连续,偏导函数都存在;(C).不连续,偏导函数都不存在;(D).连续,偏导函数都不存在。2、二重积分Dxydxdy(其中D:10,02xxy)的值为B。(A).61;(B).121;(C).21;(D).413、设f为可微函数,)(bzyfazx,则yzbxzaA。(A).1;(B).a;(C).b;(D).ba。4、设D是以原点为圆心,R为半径的圆围成的闭区域,则dDxyC。(A).44R;(B).34R;(C).24R;(D).4R。5、设),(yxf在1010xxyD,:上连续,则二重积分Dyxfd),(表示成极坐标系下的二次积分的形式为D。(A).1200d(cos,sin)dfrrrr;(B).cossin200d(cos,sin)dfrrrr;(C).1cos200d(cos,sin)dfrrrr;(D).12cossin00d(cos,sin)dfrrrr。二、填空题(每小题4分,共计24分)1、设xyxyz)(,则zddyxxyxydxxxyyxyxyxy)ln(1)())ln(1()(2,在点),(21P处的梯度Pzgrad)ln2)4(1,)2ln1(8(。2、设yxyxyxfarcsin)1(),(,则)1,(xfx1。3、D由曲线22(1)(1)1xy所围成的闭区域,则()Dxydxdy=2。4、函数xyzu在点),,(215处从点),,(215到点),,(1449的方向导数是1398。)21,3,4(l,)21,3,4(1310l,)5,10,2(grad)2,1,5(u,1398grad)2,1,5(0ullu5、曲线2252121xzxy在点),,(211处的切线方程为522111zyx,法平面方程为25130xyz。注意:5,2,1s,点),,(211;法平面方矢5,2,1sn。6、改变积分次序01arcsin12arcsin0arcsind(,)dd(,)dyyyyfxyxyfxyx0sin2sin),(xxdyyxfdx。三、计算题(每小题7分,共计49分)1、求110sinxdyyxydx。解:先交换积分次序)1cos1(31sinsin010110yxdxyxydydyyxydx2、求椭球面932222zyx的平行于平面01232zyx的切平面方程。解:设切点为000(,,)xyz,则222000239xyz,过切点的法向量为:000000462(4,6,2)//(2,3,2)232xyznxyzt,得00011,,22xtytzt,代入222000239xyz,得2t,切点为(1,1,2)或(1,1,2),(2,3,2)n,故切平面方程为:23290xyz或09232zyx。3、已知),(fz具有二阶连续偏导数,利用线性变换byxayx变换方程0322222yzyxzxz。问:当ba,取何值时,方程化为02z。解:zzxz,zbzayz。22222222zzzxz,2222222222zbzabzayz,222222)(zbzbazayxz所以222223yzyxzxz0)31()2332()31(2222222zbbzabbazaa02z时,ba,应满足一元二次方程0312rr且02332abba。解得2532,1r,ba,取其任一值,且a≠b时,方程化为02z。4、fxyxfzyx,)(222可微,求xz解:设)(222xyxfzyxF,由公式zxyxyfxxyfxFFxzzx2)()(225、在经过点),,(3112P的平面中,求一平面,使之与三坐标面围成的在第一卦限中的立体的体积最小。解:设过点),,(3112P的平面截距式方程为1czbyax,点P满足方程即13112cba平面与三坐标面围成的在第一卦限中立体的体积为cbaV61由拉格朗日乘数法,设13112cbaabcF由0aF,0bF,0cF及13112cba得最值点的坐标1,3,6cba所求平面为1136zyx即662zyx。6、求二元函数9422yxz在区域422yx的最大值、最小值。解:yzxzyx8,2。令00yxzz解得驻点:(0,0)在区域内9)0,0(z在边界上224yx代入9342yz)22(...

1、当您付费下载文档后,您只拥有了使用权限,并不意味着购买了版权,文档只能用于自身使用,不得用于其他商业用途(如 [转卖]进行直接盈利或[编辑后售卖]进行间接盈利)。
2、本站所有内容均由合作方或网友上传,本站不对文档的完整性、权威性及其观点立场正确性做任何保证或承诺!文档内容仅供研究参考,付费前请自行鉴别。
3、如文档内容存在违规,或者侵犯商业秘密、侵犯著作权等,请点击“违规举报”。

碎片内容

大学高数上期试题2

您可能关注的文档

确认删除?
VIP
微信客服
  • 扫码咨询
会员Q群
  • 会员专属群点击这里加入QQ群
客服邮箱
回到顶部