电脑桌面
添加小米粒文库到电脑桌面
安装后可以在桌面快捷访问

大学物理公式总结VIP免费

大学物理公式总结_第1页
1/10
大学物理公式总结_第2页
2/10
大学物理公式总结_第3页
3/10
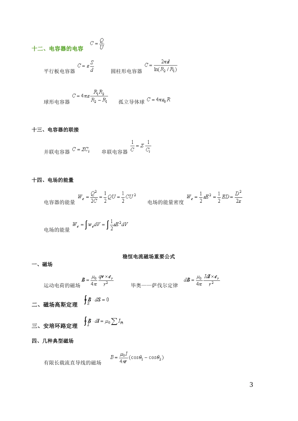
静电场重要公式一、库仑定律二、电场强度三、场强迭加原理点电荷场强点电荷系场强连续带电体场强四、静电场高斯定理五、几种典型电荷分布的电场强度均匀带电球面均匀带电球体均匀带电长直圆柱面均匀带电长直圆柱体无限大均匀带电平面1六、静电场的环流定理七、电势八、电势迭加原理点电荷电势点电荷系电势连续带电体电势九、几种典型电场的电势均匀带电球面均匀带电直线十、导体静电平衡条件(1)导体内电场强度为零;导体表面附近场强与表面垂直。(2)导体是一个等势体,表面是一个等势面。推论一电荷只分布于导体表面推论二导体表面附近场强与表面电荷密度关系十一、静电屏蔽导体空腔能屏蔽空腔内、外电荷的相互影响。即空腔外(包括外表面)的电荷在空腔内的场强为零,空腔内(包括内表面)的电荷在空腔外的场强为零。2十二、电容器的电容平行板电容器圆柱形电容器球形电容器孤立导体球十三、电容器的联接并联电容器串联电容器十四、电场的能量电容器的能量电场的能量密度电场的能量稳恒电流磁场重要公式一、磁场运动电荷的磁场毕奥——萨伐尔定律二、磁场高斯定理三、安培环路定理四、几种典型磁场有限长载流直导线的磁场3无限长载流直导线的磁场圆电流轴线上的磁场圆电流中心的磁场长直载流螺线管内的磁场载流密绕螺绕环内的磁场五、载流平面线圈的磁矩IBMm和S沿电流的右手螺旋方向六、洛伦兹力七、安培力公式八、载流平面线圈在均匀磁场中受到的合磁力载流平面线圈在均匀磁场中受到的磁力矩静电场公式汇总1库仑定律:真空中两个静止的点电荷之间相互作用的静电力F的大小与它们的带电量q1、q2的乘积成正比,与它们之间的距离r的二次方成反比,作用力的方向沿着两个点电荷的连线。基元电荷:e=1.602;真空电容率=8.85;=8.992库仑定律的适量形式3场强4r为位矢45电场强度叠加原理(矢量和)6电偶极子(大小相等电荷相反)场强E电偶极距P=ql7电荷连续分布的任意带电体均匀带点细直棒891011无限长直棒12在电场中任一点附近穿过场强方向的单位面积的电场线数13电通量141516封闭曲面高斯定理:在真空中的静电场内,通过任意封闭曲面的电通量等于该封闭曲面所包围的电荷的电量的代数和的17若连续分布在带电体上=19均匀带点球就像电荷都集中在球心20E=0(r

1、当您付费下载文档后,您只拥有了使用权限,并不意味着购买了版权,文档只能用于自身使用,不得用于其他商业用途(如 [转卖]进行直接盈利或[编辑后售卖]进行间接盈利)。
2、本站所有内容均由合作方或网友上传,本站不对文档的完整性、权威性及其观点立场正确性做任何保证或承诺!文档内容仅供研究参考,付费前请自行鉴别。
3、如文档内容存在违规,或者侵犯商业秘密、侵犯著作权等,请点击“违规举报”。

碎片内容

大学物理公式总结

您可能关注的文档

确认删除?
微信客服
  • 扫码咨询
会员Q群
  • 会员专属群点击这里加入QQ群