电脑桌面
添加小米粒文库到电脑桌面
安装后可以在桌面快捷访问

羧酸及其衍生物习题课VIP免费

羧酸及其衍生物习题课_第1页
1/10
羧酸及其衍生物习题课_第2页
2/10
羧酸及其衍生物习题课_第3页
3/10
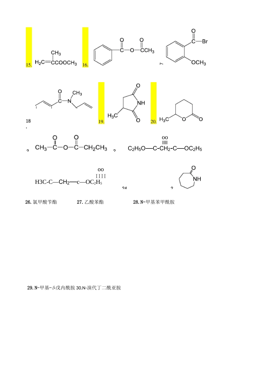
14.天津理工大学考试试卷201-〜201-学年度第二学期系统命名法命名下列化合物或写出结构(每题2分,共16分)OHC5.27.(H3C)2HCH2C—COOHCOOH8.9.10.Ch2COOH12CH2COOH13.H、c/GOOHH^C^COOH3.COOH6.H2N-CHCOOHCH2COOH11.Br-CHCOOHHC—CH3CH329.N-甲基-5-戊内酰胺30.N-溴代丁二酰亚胺24.2ooIIIIC2H5O—C-CH2-C—OC2H5ooIIIIH3C-C—CH2—c—OC2H522718.26.氯甲酸苄酯27.乙酸苯酯28.N-甲基苯甲酰胺(W)丁炔二酸按酸性由大到A.;COOB选择:按要求将A-D等填入括号中,可多选(每题1分,共10分)(II)顺丁烯二酸、(III)丁二酸、顺序排列,正确的是()A.I>II>III>W;B.W>I>III>II;C.W>II>III>I;D.III>W>II>I;2•下列化合物中酸性最强的是()A.B-羟基丁酸;B.Y-羟基丁酸;C.丁酸;D.a-羟基丁酸3.己二酸加热后生成的主要产物为()A.—元酸;B.环酮;C.内酯;D.酸酐4.在酸催化下酯化时,丙醇分别和苯甲酸、2,4,6-三甲基苯甲酸、2,4-二甲基苯甲酸反应的速度按由快到慢的次序排列,正确的是()A.2,4,6-三甲基苯甲酸>苯甲酸>2,4-二甲基苯甲酸;B.2,4-二甲基苯甲酸>苯甲酸>2,4,6-三甲基苯甲酸;C.2,4,6-三甲基苯甲酸>2,4-二甲基苯甲酸>苯甲酸;D.苯甲酸>2,4-二甲基苯甲酸>2,4,6-三甲基苯甲酸5.下列环丁烷二羧酸的异构体中,具有旋光性的是()6.苯甲酸在酸催化下分别和CH3OH、CH3CHOHCH2CH3、CH3CH2CH2OH发生酯化反应,速度按由快到慢排列的正确次序是()A.CH3OH>CH3CHOHCH2CH3>CH3CH2CH2OHCH3CHOHCH2CH3>CH3CH2CH2OH>CH3OHC.CH3OH>CH3CH2CH2OH>CH3CHOHCH2CH3D.CH3CH2CH2OH>CH3OH>CH3CHOHCH2CH37.下列带有活泼氢的化合物酸性最强的是()A.乙醇;B.苯酚;C.乙酸;D.乙胺8.下列四种取代羧酸,酸性最弱的是()HCOOA.B.C.H3CO-C-CO2HD.OHOHC己二酸加热后得到的主要反应产物是()A.己二酸酐;B.聚己二酸酐;C.环戊酮;D.环己酮戊二酸加热后得到的主要反应产物是()A.戊二酸酐;B.聚戊二酸酐;C.环戊酮;D.环丁酮4-羟基戊酸在酸性条件下反应得到的主要产物是()A.交酯;B.内酯;C.a,p-不饱和酸;D.聚酯3-羟基戊酸在酸性条件下反应得到的主要产物是()A.交酯;B.内酯;C.a,p-不饱和酸;D.聚酯完成下列转化所需要的合适反应条件是()CH3CH2COOHCH3CH2CH2OHA.Zn(Hg)/HCl;B.NH2NH2/Na/200oC;C.LiAlH4/H2O;D.NaBH4/H2O用同位素标记法可以证实,下列酯化反应中的180来源于()HjC—C—OH+CH3CH2OHF°H3c—C-1SOCH2CH3+H2OA.乙酸;B.乙醇;C.无机酸;D.水用同位素标记法可以证实,下列酯化反应中的180来源于()A.乙酸;B.叔丁醇;C.无机酸;D.水下列关于羧酸与醇发生酯化反应,产物中烷氧基0的来源说法正确的是(A.与伯、仲、叔醇反应都来自于醇;B.与伯、仲、叔醇反应都来自于羧酸;C.与叔醇反应来自于醇,与伯醇或仲醇反应来自于羧酸;D.与叔醇反应来自于羧酸,与伯醇或仲醇反应来自于醇;下列四种羧酸衍生物中发生水解反应速度最快的是()C.;DGabriel合成法用于制备()A.伯胺;B.仲胺;C.叔胺;D.季胺CH3H3c—c—OH9.10.11.12.13.14.15.16.1718.三、用化学方法鉴别下列各组化合物(每小题2分,共8分)得分1.怎样将己烷、己酸和对甲苯酚的混合物分离得到各种纯的组分?2.请用化学方法分离下列混合物:苯甲酸、对甲酚、苯甲醚3.请用化学方法分离下列各组化合物3.乙醇,乙醛,乙酸COOH(1)汕H2c—COOHH2C—COOH(CIIS)2CIICH=CHCOOH与(3)4•水杨酸,2-羟基环己烷羧酸,乙酰水杨酸CH3COCH2COOCH2CH35•甲酸,乙二酸,丙二酸6.对甲基苯甲酸,对甲氧基苯乙酮,2-乙烯基-1,4-苯二酚五、完成反应方程式(20题,共30分;要求:制药专业同学全选,每题1.5分其它专业同学选做15题,每题2.0分)得分六、根据你所掌握的知识写出合理的反应机理(每小题3分,共6分)得分1CH3COOH+CH3CH2OHr二CH3COOCH2CH3CH3CH2ONa22CH3COOCH2CH3r_——(5)(1)(4七、按要求合成目标化合物(共12分;要求:制药专业同学全选,每题3分其它专业同学选做3题,每题4分)得分1.完成下列转化COOH(9OHOO1)2.用不超过四个碳的醇及其它必要的试剂合成下列化合物:4.用不超过四个碳的有机物合成下列化合物5•用指定化合物和不超过四个碳原子的常...

1、当您付费下载文档后,您只拥有了使用权限,并不意味着购买了版权,文档只能用于自身使用,不得用于其他商业用途(如 [转卖]进行直接盈利或[编辑后售卖]进行间接盈利)。
2、本站所有内容均由合作方或网友上传,本站不对文档的完整性、权威性及其观点立场正确性做任何保证或承诺!文档内容仅供研究参考,付费前请自行鉴别。
3、如文档内容存在违规,或者侵犯商业秘密、侵犯著作权等,请点击“违规举报”。

碎片内容

羧酸及其衍生物习题课

您可能关注的文档

确认删除?
VIP
微信客服
  • 扫码咨询
会员Q群
  • 会员专属群点击这里加入QQ群
客服邮箱
回到顶部