电脑桌面
添加小米粒文库到电脑桌面
安装后可以在桌面快捷访问

高三数学高考复习:聚焦数列 品味经典VIP免费

高三数学高考复习:聚焦数列 品味经典_第1页
1/4
高三数学高考复习:聚焦数列 品味经典_第2页
2/4
高三数学高考复习:聚焦数列 品味经典_第3页
3/4
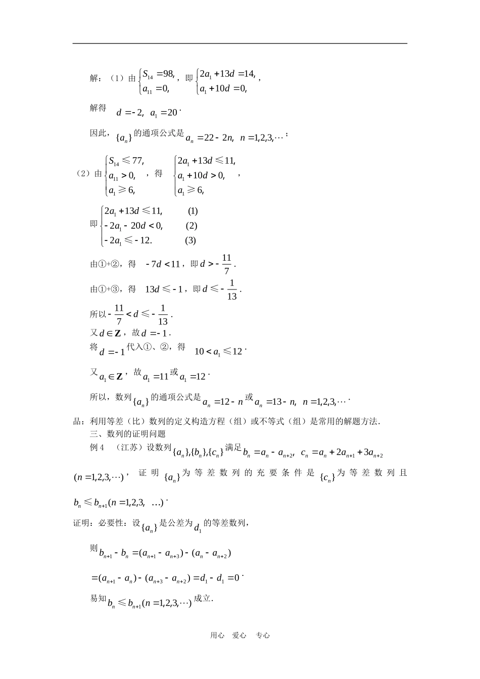
聚焦数列品味经典数列的问题,一直是高考考查的热点和焦点,本文以高考题为例,品味数列的几类经典问题.高.考-资.源-网一、数列求和问题例1(北京)设4710310()22222kfn,则()fn().(A)2(81)7n(B)22(81)7n(C)32(81)7n(D)42(81)7n解析:数列47102222,,,,…,3102n是以2为首项,8为公比的等比数列,给出的这个数列共有(4)n项,根据等比数列的求和公式有442(81)2(81)817nnnS.选(D).例2(广东)在德国不来梅举行的第48届世乒赛期间,某商店橱窗里用同样的乒乓球堆成若干堆“正三棱锥”形的展品,其中第1堆只有1层,就一个球;第2,3,4,…堆最底层(第一层)分别按下图所示方式固定摆放,从第二层开始,每层的小球自然垒放在下一层之上,第n堆第n层就放一个乒乓球,以()fn表示第n堆的乒乓球总数,则(3)f_____;()fn=_____(答案用n表示).解析:观察归纳,(3)63110f;观察图示,不难发现第n堆最底层(第一层)的乒乓球数(1)1232nnnan,第n堆的乒乓球总数相当于n堆乒乓球的底层数之和,即222212311(1)(1)(2)()(123)2226nnnnnnfnaaaan.品:数列求和,无论等差还是等比数列,分清项数及规律都尤为重要.二、数列求通项问题例3(北京)设等差数列{}na的首项1a及公差d都为整数,前n项和为nS.(1)若1114098aS,,求数列{}na的通项公式;(2)若111146077aaS,,≥≤,求所有可能的数列{}na的通项公式.用心爱心专心解:(1)由1411980Sa,,,即1121314100adad,,,解得1220da,.因此,{}na的通项公式是222123nann,,,,;(2)由141117706Saa,,,≤≥,得111213111006adada,,,≤≥,即11121311(1)2200(2)212.(3)adada,,≤≤由①+②,得711d,即117d.由①+③,得131d≤,即113d≤.所以111713d≤.又dZ,故1d.将1d代入①、②,得11012a≤.又1aZ,故111a或112a.所以,数列{}na的通项公式是12nan或13123nann,,,,.品:利用等差(比)数列的定义构造方程(组)或不等式(组)是常用的解题方法.三、数列的证明问题例4(江苏)设数列{}{}{}nnnabc,,满足21223nnnnnnnbaacaaa,(123)n,,,,证明{}na为等差数列的充要条件是{}nc为等差数列且1(123)nnbbn,,,…≤.证明:必要性:设{}na是公差为1d的等差数列,则1132()()nnnnnnbbaaaa13211()()0nnnnaaaadd.易知1(123)nnbbn,,,≤成立.用心爱心专心由递推关系1121321111()2()3()236nnnnnnnnccaaaaaadddd(常数)(n=1,2,3,…).所以数列{}nc为等差数列.充分性:设数列{}nc是公差为2d的等差数列,且1(123)nnbbn,,,≤, 1223nnnncaaa,①∴223423nnnncaaa,②由①②,得22132412()2()3()23nnnnnnnnnnnccaaaaaabbb. 222nnccd,∴122232nnnbbbd,③从而有1232232nnnbbbd,④④③,得12132()2()3()0nnnnnnbbbbbb,⑤ 12132000nnnnnnbbbbbb,,≥≥≥,∴由⑤得10(123)nnbbn,,,,由此不妨设3(123)nbdn,,,,则23nnaad(常数).由此121323423nnnnnncaaaaad.从而1123423nnncaad,两式相减得1132()2nnnnccaad.因此1132311()22nnnnaaccddd(常数)(n=1,2,3,…),即数列{}na为等差数列.品:利用递推关系式是解决数列问题的重要方法,要熟练掌握等差数列的定义、通项公式.四、数列综合问题例5(福建)已知数列{}na满足11121nnaaa,.(1)求数列{}na的通项公式;用心爱心专心(2)若12111444(1)nnkkkknnnabk,,证明{}nb是等...

1、当您付费下载文档后,您只拥有了使用权限,并不意味着购买了版权,文档只能用于自身使用,不得用于其他商业用途(如 [转卖]进行直接盈利或[编辑后售卖]进行间接盈利)。
2、本站所有内容均由合作方或网友上传,本站不对文档的完整性、权威性及其观点立场正确性做任何保证或承诺!文档内容仅供研究参考,付费前请自行鉴别。
3、如文档内容存在违规,或者侵犯商业秘密、侵犯著作权等,请点击“违规举报”。

碎片内容

高三数学高考复习:聚焦数列 品味经典

您可能关注的文档

慧源书店+ 关注
实名认证
内容提供者

从事历史教学,热爱教育,高度负责。

确认删除?
VIP
微信客服
  • 扫码咨询
会员Q群
  • 会员专属群点击这里加入QQ群
客服邮箱
回到顶部