电脑桌面
添加小米粒文库到电脑桌面
安装后可以在桌面快捷访问

高三数学椭圆文科 人教版VIP免费

高三数学椭圆文科 人教版_第1页
1/14
高三数学椭圆文科 人教版_第2页
2/14
高三数学椭圆文科 人教版_第3页
3/14
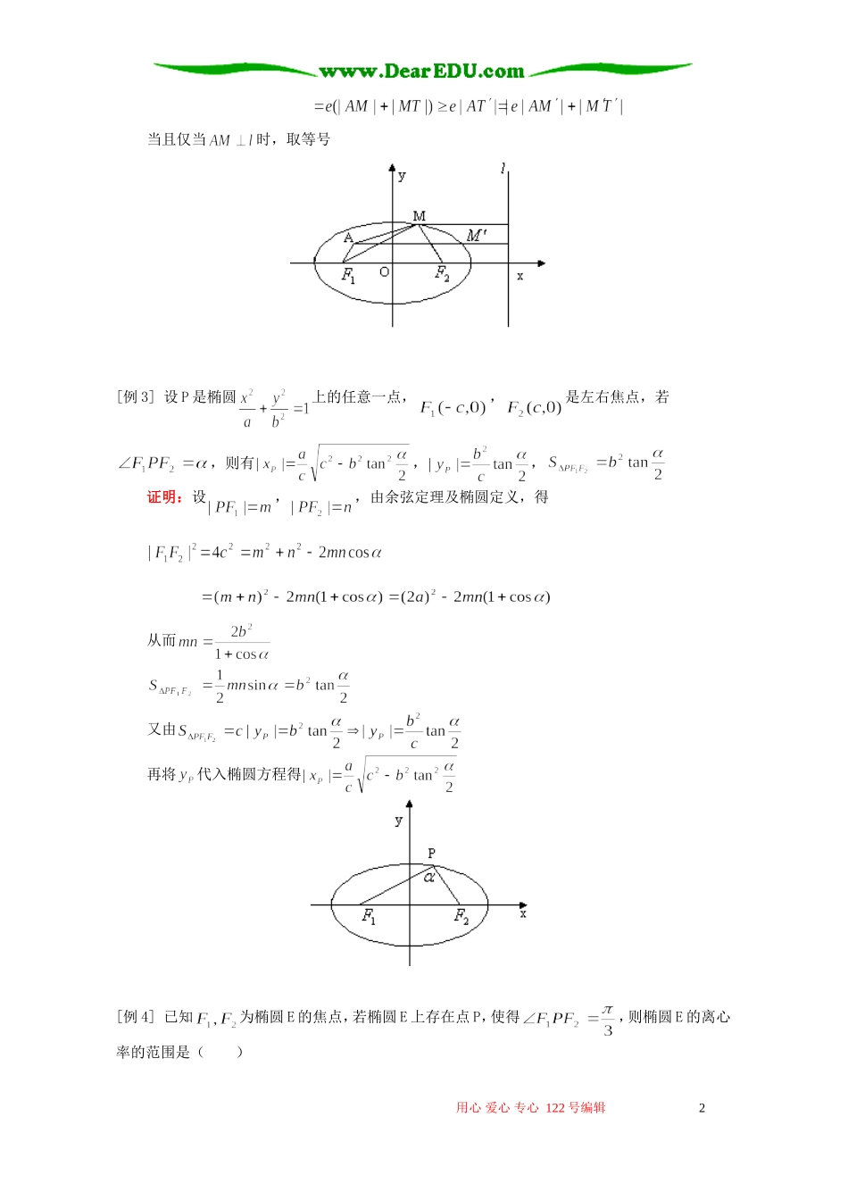
高三数学文科人教版【同步教育信息】一.本周教学内容:椭圆【典型例题】[例1]已知动圆M和圆,圆都相切,求动圆圆心M的轨迹方程。解:⊙与⊙内含,则动圆M与两圆都相切有如下两种情形(1)当⊙M与⊙内切,与⊙外切时,有,两式相加,有,据椭圆定义知M的轨迹为椭圆,由,,,M的轨迹方程为(2)当⊙M与⊙、⊙都内切时,有,两式相加,得,同理可得M的轨迹方程为[例2]在椭圆内有定点A,M为椭圆上的动点,求(1)的最小值;(2)的最小值。解:(1)如图,由,则,当且仅当、A、M三点共线时取得等号(2)用心爱心专心122号编辑1当且仅当时,取等号[例3]设P是椭圆上的任意一点,,是左右焦点,若,则有,,证明:设,,由余弦定理及椭圆定义,得从而又由再将代入椭圆方程得[例4]已知为椭圆E的焦点,若椭圆E上存在点P,使得,则椭圆E的离心率的范围是()用心爱心专心122号编辑2A.(0,1)B.C.D.不确定解:由已知又故选B[例5](2005高考)是椭圆的两个焦点,P是其上动点,当为钝角时,点P的横坐标x的取值范围是。解:利用上题方法,把代入由椭圆的对称性知,当时,为钝角,同时也知当时,为锐角。另法:设P坐标,由题设知,,于是的坐标为,坐标为,为钝角[例6]椭圆C的方程为,F是它的左焦点,M是椭圆C上的一个动点,O是坐标原点。(1)求的重心G的轨迹方程;(2)若的重心G对原点O和点转成最大角,求点M的坐标。解:(1)设重心,,,则用心爱心专心122号编辑3由M在椭圆C上,则,即即G的轨迹方程为(2)由轨迹可知否则,MFO共线故和O(0,0)是椭圆的左、右两焦点设故,当且仅当时,等号成立所以最大为直角,此时,[例7]如图,已知椭圆C的中心在原点,焦点在x轴上,直线过焦点且与长轴的夹角为,且与椭圆C相交于A、B两点,,点P是椭圆上的动点,,且最大值为,求椭圆C的方程。用心爱心专心122号编辑4解:设,,,,在中,由余弦定理,得(注:一般地,当时,最大)故,当且仅当时,等号成立,得代入C的方程得①由题设知代入①得由弦长公式,得由已知,故椭圆[例8]已知是椭圆的两个焦点,P是椭圆上一点,的内心为I,连结PI并延长与交于Q,且,求此椭圆的方程。解:如图连结,由I为的内心,则,则,由合比定理,有,即,则(1)若焦点在x轴上,则,由,则椭圆方程为用心爱心专心122号编辑5(2)若焦点在y轴上,则,且,故,则椭圆方程为[例9]如图,在面积为1的中,,,建立适当的坐标系,求出以M、N为焦点且过点P的椭圆的方程。解:如图以MN所在直线为x轴,线段MN的垂直平分线为y轴建立平面直角坐标系,设所求椭圆方程为,分别记M、N、P点的坐标为,和由,,得直线PM和PN的方程分别为,联立,得,,即在中,,MN边上的高为点P的纵坐标即故,由已知得即P点坐标为,,则,故,所以椭圆方程为[例10]已知椭圆,直线与椭圆交于A、B两点,M为AB中点,则证:设,用心爱心专心122号编辑6由即又A、B在上,则,即故[例11]已知圆,一个椭圆的中心在原点,焦点在x轴上,离心率,这个椭圆在圆C上截得的弦恰好是圆C的直径,求这个椭圆的方程。解:设,即圆与椭圆交点设为由相减又由中点为圆C的圆心,故(或)所以直线由或由与在椭圆上,故用心爱心专心122号编辑7所以椭圆方程[例12]已知⊙,椭圆,的离心率为,如果与相交于A、B两点,且线段AB恰为⊙的直径,求直线AB的方程和椭圆的方程。解:由,,设椭圆,设,由,,即由,,则A的坐标,即又由A在椭圆上,则故椭圆用心爱心专心122号编辑8[例13]直线与焦点在x轴上的椭圆总有公共点,求m的取值范围。解:由则对恒成立对恒成立,又,则有对恒成立,故即,又由,所以另解:令则问题转化为直线与圆总有公共点,求m的取值范围由点线距离公式,有对恒成立,下同解法1又解:利用数形结合,直线系恒过定点(0,1),直线与椭圆总有公共线等价于点(0,1)在椭圆内都即又故[例14]已知过椭圆和两点A(1,2),B(3,4),若线段AB和椭圆没有公共点,求的取值范围。解:线段AB的方程为,即代入椭圆方程,并整理得问题等价于该方程无实数解,令由对称轴又,故在上没有实根的充要条件是或,又,故或又法:利用数形结合,当椭圆分别过点A和点B时,故或用心爱心专心122...

1、当您付费下载文档后,您只拥有了使用权限,并不意味着购买了版权,文档只能用于自身使用,不得用于其他商业用途(如 [转卖]进行直接盈利或[编辑后售卖]进行间接盈利)。
2、本站所有内容均由合作方或网友上传,本站不对文档的完整性、权威性及其观点立场正确性做任何保证或承诺!文档内容仅供研究参考,付费前请自行鉴别。
3、如文档内容存在违规,或者侵犯商业秘密、侵犯著作权等,请点击“违规举报”。

碎片内容

高三数学椭圆文科 人教版

您可能关注的文档

慧源书店+ 关注
实名认证
内容提供者

从事历史教学,热爱教育,高度负责。

确认删除?
VIP
微信客服
  • 扫码咨询
会员Q群
  • 会员专属群点击这里加入QQ群
客服邮箱
回到顶部