电脑桌面
添加小米粒文库到电脑桌面
安装后可以在桌面快捷访问

高三数学文月考真题选讲(二)人教实验版(A)VIP免费

高三数学文月考真题选讲(二)人教实验版(A)_第1页
1/17
高三数学文月考真题选讲(二)人教实验版(A)_第2页
2/17
高三数学文月考真题选讲(二)人教实验版(A)_第3页
3/17
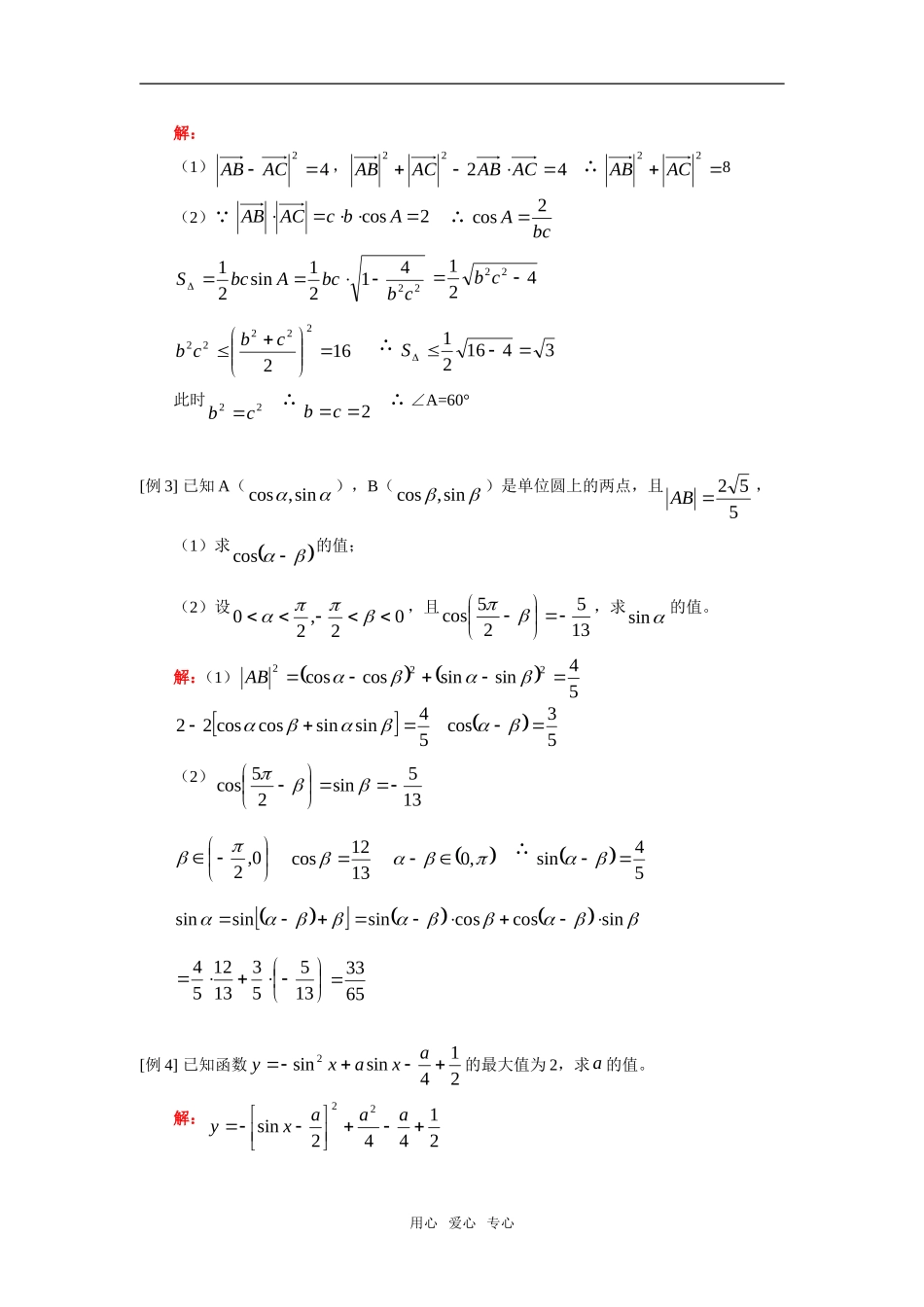
高三数学文月考真题选讲(二)人教实验版(A)【本讲教育信息】一.教学内容:月考真题选讲(二)二.重点、难点:三角、立体几何、解析几何【典型例题】[例1]如图,已知平面向量OCOBOA,,满足1OBOAOA与OB的夹角为120°,OC与OA的夹角为45°,5OC,用OBOA,表示OC。解:0,0OBOAOC(如图)25222222OBOAOBOAOC∴2522①52145cosOAOCOAOC∴21225②由①②:02521532365665215或365665215(舍)∴OBOAOC365665215[例2]在△ABC中,2ACABACAB;(1)求22ACAB的值;(2)当△ABC的面积最大时,求∠A的大小。用心爱心专心解:(1)42ACAB,4222ACABACAB∴22ACAB8(2) 2cosAbcACAB∴bcA2cos224121sin21cbbcAbcS42122cb16222222cbcb∴341621S此时22cb∴2cb∴∠A=60°[例3]已知A(sin,cos),B(sin,cos)是单位圆上的两点,且552AB,(1)求cos的值;(2)设02,20,且13525cos,求sin的值。解:(1)54sinsincoscos222AB54sinsincoscos2253cos(2)135sin25cos0,21312cos,0∴54sinsincoscossinsinsin135531312546533[例4]已知函数214sinsin2axaxy的最大值为2,求a的值。解:21442sin22aaaxy用心爱心专心①12a时,1sinx时,y最大,ay43max221,310a②121a时,2sinax时,y最大22412maxaay062aa32aa或(舍)③12a,1sinx时,y最大,22145maxay,2a(舍)综上所述,2a或310a[例5]一个多面体的直观图和三视图如图所示,其中M,N分别是AB,AC的中点,G是DF上的一动点。(1)求证:GN⊥AC(2)当FG=GD时,求证AG//平面FMC。解:由已知此几何为直三棱柱ADF—BCE△BCE为Rt△,∠BCE=90°(1)BDFGNBDFACACDFABCDDFADDFCDDFBDACABCD面面面正方形GNAC(2)G为DF中点,H为CF中点∴AMGHCDAMCDGH//21//21//AMHG∴FMCAGMCFNHNHAG面面////用心爱心专心[例6]如图所示,四棱锥P—ABCD的底面是边长为1的菱形,∠ABC=60°,PC⊥平面ABCD,PC=1,E为PA的中点。(1)求证:平面EDB⊥平面ABCD;(2)求点E到平面PBC的距离;(3)求二面角A—EB—D的正切值。解:(1)PCEOCAOPAE//中点为中点为PC⊥面ABCD∴EO⊥面ABCD∴面BDE⊥面ABCD(2)过O作OH⊥BC于HPC⊥面ABCD∴PC⊥OH∴OH⊥面PBCEO//PC∴EO//面PBC∴E到面PBC的距离为OH=4330sin23(3)过O作OK⊥BE于K,连AKACACBDACOE面BDEOAKBEEBAC面∴∠AKO为二面角O—BE—A平面角OK=43,OA=21,∠AOK=90°,332tanAKO[例7]在四棱锥P—ABCD中,PA⊥平面ABCD,底面ABCD为正方形,E、F分别为BC、PD的中点,PA=AB。(1)求证:EF//平面PAB;(2)求直线EF与平面PAD所成的角的正切值。用心爱心专心证明:(1)法1:取PA中点G,连接BG、GF F为PD中点∴GF平行且等于AD21,又 E为BC的中点,四边形ABCD为正方形∴BE平行且等于AD21∴四边形BEFG为平行四边形∴EF//BG,又BG平面PAB,EF平面PAB因此,EF//平面PAB法2:取AD的中点M,连接EM和FM F、E为PD和BC中点∴FM//PA,EM//AB,FM交EM于M∴平面EFM//平面PABEF平面PAB因此,EF//平面PAB,EM//AB,又AB⊥AD∴EM⊥AD PA⊥平面ABCD∴平面PAD⊥平面ABCD∴EM⊥平面PAD,则∠EFM为直线EF与平面PAD所成的角在EFMRt中,2tanFMEMEFM,用心爱心专心[例8]直三棱柱A1B1C1—ABC中,AC⊥CB,D为AB中点,CB=1,AC=3,A1A=3。(1)求证:BC1//平面A1CD...

1、当您付费下载文档后,您只拥有了使用权限,并不意味着购买了版权,文档只能用于自身使用,不得用于其他商业用途(如 [转卖]进行直接盈利或[编辑后售卖]进行间接盈利)。
2、本站所有内容均由合作方或网友上传,本站不对文档的完整性、权威性及其观点立场正确性做任何保证或承诺!文档内容仅供研究参考,付费前请自行鉴别。
3、如文档内容存在违规,或者侵犯商业秘密、侵犯著作权等,请点击“违规举报”。

碎片内容

高三数学文月考真题选讲(二)人教实验版(A)

您可能关注的文档

慧源书店+ 关注
实名认证
内容提供者

从事历史教学,热爱教育,高度负责。

确认删除?
VIP
微信客服
  • 扫码咨询
会员Q群
  • 会员专属群点击这里加入QQ群
客服邮箱
回到顶部