电脑桌面
添加小米粒文库到电脑桌面
安装后可以在桌面快捷访问

复变函数论第三版课后习题答案VIP免费

复变函数论第三版课后习题答案_第1页
1/10
复变函数论第三版课后习题答案_第2页
2/10
复变函数论第三版课后习题答案_第3页
3/10
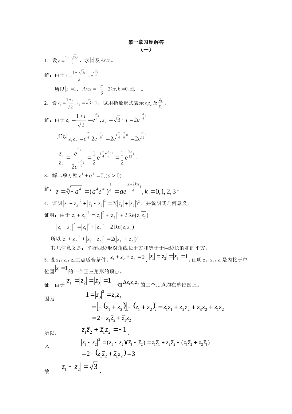
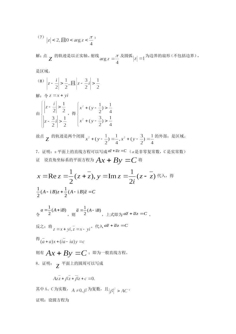
第一章习题解答(一)1.设,求及。解:由于所以,。2.设,试用指数形式表示及。解:由于所以。3.解二项方程。解:。4.证明,并说明其几何意义。证明:由于所以其几何意义是:平行四边形对角线长平方和等于于两边长的和的平方。5.设z1,z2,z3三点适合条件:0321zzz,1321zzz。证明z1,z2,z3是内接于单位圆1z的一个正三角形的顶点。证由于1321zzz,知321zzz的三个顶点均在单位圆上。因为33331zzz212322112121zzzzzzzzzzzz21212zzzz所以,12121zzzz,又)())((122122112121221zzzzzzzzzzzzzz322121zzzz故321zz,同理33231zzzz,知321zzz是内接于单位圆1z的一个正三角形。6.下列关系表示点的轨迹的图形是什么?它是不是区域。(1);解:点的轨迹是与两点连线的中垂线,不是区域。(2);解:令由,即,得故点的轨迹是以直线为边界的左半平面(包括直线);不是区域。(3)解:令,由,得,即;故点的轨迹是以虚轴为边界的右半平面(不包括虚轴);是区域。(4);解:令由,得,即故点的轨迹是以直线为边界的梯形(包括直线;不包括直线);不是区域。(5);解:点的轨迹是以原点为心,2为半径,及以为心,以1为半径的两闭圆外部,是区域。(6);解:点的轨迹是位于直线的上方(不包括直线),且在以原点为心,2为半径的圆内部分(不包括直线圆弧);是区域。(7);解:点的轨迹是以正实轴、射线及圆弧为边界的扇形(不包括边界),是区域。(8)解:令由,得故点的轨迹是两个闭圆的外部,是区域。7.证明:z平面上的直线方程可以写成Czaza(a是非零复常数,C是实常数)证设直角坐标系的平面方程为将代入,得CzBAzBA)i(21)i(21令)i(21BAa,则)i(21BAa,上式即为Czaza。反之:将,代入Czaza得则有;即为一般直线方程。8.证明:平面上的圆周可以写成其中A、C为实数,为复数,且。证明:设圆方程为其中当时表实圆;将代入,得即其中且;反之:令代入得其中即为圆方程。10.求下列方程(t是实参数)给出的曲线。(1)tzi)1(;(2)tbtazsinicos;(3)ttzi;(4)22ittz,解(1)ttytxtyxz,)i1(i。即直线xy。(2)20,sincossinicosittbytaxtbtayxz,即为椭圆12222byax;(3)tytxttyxz1ii,即为双曲线1xy;(4)22221iitytxttyxz,即为双曲线1xy中位于第一象限中的一支。11.函数zw1将z平面上的下列曲线变成w平面上的什么曲线ivuwiyxz,?(1)xy;(2)1122yx解222211yxyiyxxiyxzw,2222,yxyvyxxu,可得(1)vyxyyxyyxxu222222是w平面上一直线;(2)21211222222yxxxyxyx,于是21u,是w平面上一平行与v轴的直线。13.试证)arg(argzz在负实轴上(包括原点)不连续,除此而外在z平面上处处连续。证设zzfarg)(,因为f(0)无定义,所以f(z)在原点z=0处不连续。当z0为负实轴上的点时,即)0(000xxz,有xyxyzyxxyxxzzarctanlimarctanlimarglim00000所以zzzarglim0不存在,即zarg在负实轴上不连续。而argz在z平面上的其它点处的连续性显然。14.设00zz求证zf在原点处不连接。证由于01limlimlim42062400xxxxxzfxxxyz,0,623yxxyzf21limlim666003yyyzfyyxz可知极限zfz0lim不存在,故zf在原点处不连接。16.试问函数f(z)=1/(1–z)在单位圆|z|<1内是否连续?是否一致连续?【解】(1)f(z)在单位圆|z|<1内连续.因为z在内连续,故f(z)=1/(1–z)在\{1}内连续(连续函数的四则运算),因此f(z)在单位圆|z|<1内连续.(2)f(z)在单位圆|z|<1内不一致连续.令zn=1–1/n,wn=1–1/(n+1),n+.则zn,wn都在单位圆|z...

1、当您付费下载文档后,您只拥有了使用权限,并不意味着购买了版权,文档只能用于自身使用,不得用于其他商业用途(如 [转卖]进行直接盈利或[编辑后售卖]进行间接盈利)。
2、本站所有内容均由合作方或网友上传,本站不对文档的完整性、权威性及其观点立场正确性做任何保证或承诺!文档内容仅供研究参考,付费前请自行鉴别。
3、如文档内容存在违规,或者侵犯商业秘密、侵犯著作权等,请点击“违规举报”。

碎片内容

复变函数论第三版课后习题答案

文章天下+ 关注
实名认证
内容提供者

各种文档应有尽有

确认删除?
VIP
微信客服
  • 扫码咨询
会员Q群
  • 会员专属群点击这里加入QQ群
客服邮箱
回到顶部