电脑桌面
添加小米粒文库到电脑桌面
安装后可以在桌面快捷访问

两角和与差的三角函数同步练习VIP免费

两角和与差的三角函数同步练习_第1页
1/6
两角和与差的三角函数同步练习_第2页
2/6
两角和与差的三角函数同步练习_第3页
3/6
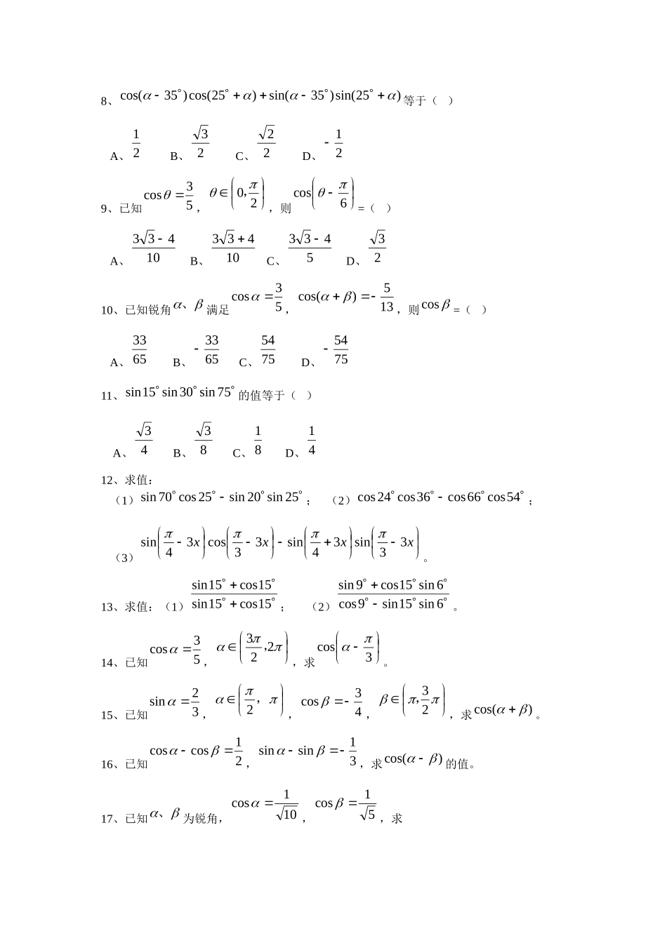
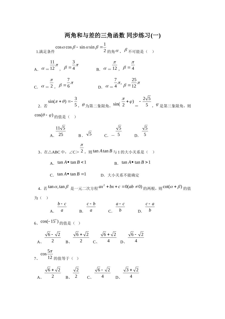
两角和与差的三角函数同步练习(一)1.满足条件21sinsincoscos的角,不可能是()A.=1211,43B.=12,4C.=2,67D.=,4712252.若53)sin(,为第二象限角,sin()2=552,是第三象限角,则)cos(的值是()A.25511B.5C.-55D.553、在△ABC中,∠C>2,则BAtantan与1的大小关系是()A.1tantanBAB.1tantanBAC.1tantanBAD.大小关系不能确定4.若tan,tan是一元二次方程)0(02abcbxax的两根,则)cot(的值为()A.acbB.abcC.bcaD.bac6、)15cos(的值是()A、226B、226C、426D、4267、125cos的值等于()A、226B、22C、426D、4238、)25sin()35sin()25cos()35cos(等于()A、21B、23C、22D、219、已知53cos,20,,则6cos=()A、10433B、10433C、5433D、2310、已知锐角、满足53cos,135)cos(,则cos=()A、6533B、6533C、7554D、755411、75sin30sin15sin的值等于()A、43B、83C、81D、4112、求值:(1)25sin20sin25cos70sin;(2)54cos66cos36cos24cos;(3)xxxx33sin34sin33cos34sin。13、求值:(1)15cos15sin15cos15sin;(2)6sin15sin9cos6sin15cos9sin。14、已知53cos,223,,求3cos。15、已知32sin,,2,43cos,23,,求)cos(。16、已知21coscos,31sinsin,求)cos(的值。17、已知、为锐角,101cos,51cos,求(1))cos(;(2)。18、已知23cos22cos,2sin223sin3且0,0,求与的值。20、75sin15sin的值是__________。21、8sin15sin7cos8sin15cos7sin的值为___________。22.已知223tan1tan1,则)45cot(=________.23.2cossin,则)cot(tanlog2的值等于________.24.已知0coscoscos,0sinsinsin,则)cos(_________.sinsin=125.已知:coscos=0,求)cos(的值.26.已知)sin(=6533,135cos,且锐角,为钝角,求sin的值.同步练习(二)1.yyxyyxsin)cos(cos)sin(可以化成()A.xsinB.xcosC.sinxcos2yD.yx2coscos2.74cos76sin16cos14sin的值是()A.23B.21C.-23D.-213.165sin等于()A.21B.23C.426D.4264.下列四个式子中是恒等式的是()A.)sin(=sin+sinB.sinsincoscos)cos(C.tantan1tantan)tan(D.)sin(·22sinsin)sin(5.若∠=23°,∠B=22°,则)tan1)(tan1(BA等于()A.3B.2C.21D.)tan(tan2BA6、)20tan10(tan320tan10tan的值是()A、33B、1C、3D、67、已知52)tan(,41)4tan(,则)4tan(的值是()A、1813B、223C、1113D、618、50tan20tan1)50tan(20tan的值是()A、3B、33C、33D、39、已知32sin,,2,43cos,23,,求)tan(。10、设21tan,31tan,且、都是锐角,求。12、若、为锐角,且45,化简)tan1)(tan1(。13、已知21)sin(,31)sin(,化简)tan(tantantan)tan(2。14、已知)sin(3sin7,求证:2tan5)2tan(2。15、在ABC中,90C,则BAtantan与1的关系适合()A、1tantanBAB、1tantanBAC、1tantanB...

1、当您付费下载文档后,您只拥有了使用权限,并不意味着购买了版权,文档只能用于自身使用,不得用于其他商业用途(如 [转卖]进行直接盈利或[编辑后售卖]进行间接盈利)。
2、本站所有内容均由合作方或网友上传,本站不对文档的完整性、权威性及其观点立场正确性做任何保证或承诺!文档内容仅供研究参考,付费前请自行鉴别。
3、如文档内容存在违规,或者侵犯商业秘密、侵犯著作权等,请点击“违规举报”。

碎片内容

两角和与差的三角函数同步练习

精品文库+ 关注
实名认证
内容提供者

小学学习各类资料大全

确认删除?
VIP
微信客服
  • 扫码咨询
会员Q群
  • 会员专属群点击这里加入QQ群
客服邮箱
回到顶部