电脑桌面
添加小米粒文库到电脑桌面
安装后可以在桌面快捷访问

河海大学_土力学习题答案VIP免费

河海大学_土力学习题答案_第1页
1/14
河海大学_土力学习题答案_第2页
2/14
河海大学_土力学习题答案_第3页
3/14
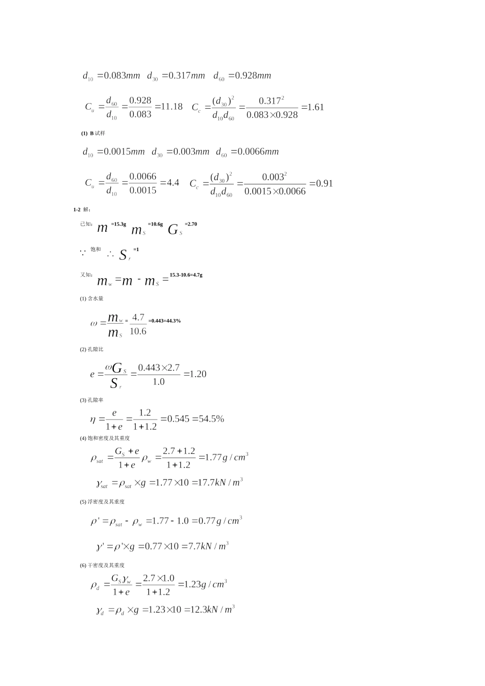
河海土力学课后习题与答案土力学答案第一章思考题11-1土是松散颗粒的堆积物。地球表层的整体岩石在大气中经受长期风化作用后形成形状不同,大小不一的颗粒,这些颗粒在不同的自然环境条件下堆积(或经搬运沉积),即形成了通常所说的土。粗粒土中粒径大于0.075㎜的粗粒组质量多于总质量50%,细粒土中粒径小于0.075㎜的细粒组质量多于或等于总质量50%。1-2残积土是指岩石经风化后仍留在原地未经搬运的堆积物。残积土的明显特征是,颗粒多为角粒且母岩的种类对残积土的性质有显著影响。母岩质地优良,由物理风化生成的残疾土,通常是坚固和稳定的。母岩质地不良或经严重化学风化的残积土,则大多松软,性质易变。运积土是指岩石风化后经流水、风和冰川以及人类活动等动力搬运离开生成地点后的堆积物。由于搬运的动力不同,分为坡积土、冲积土、风积土、冰碛土和沼泽土等。坡积土一般位于坡腰或坡脚,上部与残积土相连,颗粒分选现象明显,坡顶粗坡下细;冲积土具有一定程度的颗粒分选和不均匀性;风积土随风向有一定的分选性,没有明显层里,颗粒以带角的细砂粒和粉粒为主,同一地区颗粒较均匀,黄土具有湿陷性;冰碛土特征是不成层,所含颗粒粒径的范围很宽,小至粘粒和粉粒,大至巨大的漂石,粗颗粒的形状是次圆或次棱角的有时还有磨光面;沼泽土分为腐植土和泥炭土,泥炭土通常呈海绵状,干密度很小,含水率极高,土质十分疏松,因而其压缩性高、强度很低而灵敏度很高。1-3土中各种大小的粒组中土粒的相对含量称为土的级配。粒径分布曲线是以土粒粒径为横坐标(对数比例尺),小于某粒径土质量占试样总质量的百分数为纵坐标绘制而成的曲线。由于土的粒径相差悬殊,因此横坐标用对数坐标表示,以突出显示细小颗粒粒径。1-4土的结构是指土的物质组成(主要指土里,也包括孔隙)在空间上的相互排列及土粒间联结特征的总和。土的结构通常包括单粒、分散、絮状三种结构。单粒结构比较稳定,孔隙所占的比例较小。对于疏松情况下的砂土,特别是饱和的粉细砂,当受到地震等动力荷载作用时,极易产生液化而丧失其承载能力;分散结构的片状土粒间相互接近于平行排列,粒间以面-面接触为主;絮状结构的特征是土粒之间以角、边与面的接触或变与边的搭接形式为主,这种结构的土粒呈任意排列,具有较大的孔隙,因此其强度低,压缩性高,对扰动比较敏感,但土粒间的联结强度会由于压密和胶结作用逐渐得到增强。1-5粒径分布曲线的特征可用不均匀系数和曲率系数来表示。定义为:式中:,和为粒径分布曲线上小于某粒径的土粒含量分别为10%,30%和60%时所对应的粒径。1-6土的级配的好坏可由土中的土粒均匀程度和粒径分布曲线的形状来决定,而土粒的均匀程度和曲线的形状又可用不均匀系数和曲率系数来衡量,对于纯净的砾、砂,当大于或等于5,而且等于1~3时,它的级配是良好的;不能同时满足上述条件时,它的级配是不良的。1-7吸着水是由土颗粒表面电分子力作用吸附在土粒表面的一层水。吸着水比普通水有较大的粘滞性,较小的能动性和不同的密度。距土颗粒表面愈近电分子引力愈强,愈远,引力愈弱。又可分为强吸着水和弱吸着水。1-8离开土颗粒表面较远,不受土颗粒电分子引力作用,且可自由移动的水成为自由水。自由水又可分为毛细管水和重力水两种。1-9在重力或水位差作用下能在土中流动的自由水称为重力水。重力水与普通水一样,具有溶解能力,能传递静水和动水压力,对土颗粒有浮力作用。它能溶蚀或析出土中的水溶盐,改变土的工程性质。1-10存在于土中的气体可分为两种基本类型:一种是与大气连通的气体;另一种是与大气不通的以气泡形式存在的封闭气体。土的饱和度较低时,土中气体与大气相连通,当土受到外力作用时,气体很快就会从孔隙中排出,土的压缩稳定和强度提高都较快,对土的性质影响不大。但若土的饱和度较高,土中出现封闭气泡时,封闭气泡无法溢出,在外力作用下,气泡被压缩或溶解于水中,而一旦外力除去后,气泡就又膨胀复原,所以封闭的气泡对土的性质有较大的影响。土中封闭气泡的存在将增加土的弹性,它能阻塞土内的渗流通道使土的渗透性减小,并能延长土体受力后变形达到稳定的...

1、当您付费下载文档后,您只拥有了使用权限,并不意味着购买了版权,文档只能用于自身使用,不得用于其他商业用途(如 [转卖]进行直接盈利或[编辑后售卖]进行间接盈利)。
2、本站所有内容均由合作方或网友上传,本站不对文档的完整性、权威性及其观点立场正确性做任何保证或承诺!文档内容仅供研究参考,付费前请自行鉴别。
3、如文档内容存在违规,或者侵犯商业秘密、侵犯著作权等,请点击“违规举报”。

碎片内容

河海大学_土力学习题答案

您可能关注的文档

海纳百川+ 关注
实名认证
内容提供者

热爱教学事业,对互联网知识分享很感兴趣

确认删除?
VIP
微信客服
  • 扫码咨询
会员Q群
  • 会员专属群点击这里加入QQ群
客服邮箱
回到顶部