电脑桌面
添加小米粒文库到电脑桌面
安装后可以在桌面快捷访问

北京各区2019届高三二模理科数学分类汇编导数含答案VIP免费

北京各区2019届高三二模理科数学分类汇编导数含答案_第1页
1/9
北京各区2019届高三二模理科数学分类汇编导数含答案_第2页
2/9
北京各区2019届高三二模理科数学分类汇编导数含答案_第3页
3/9
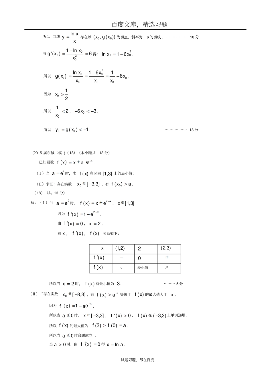
百度文库,精选习题试题习题,尽在百度北京各区二模理科数学分类汇编导数(2015届西城二模)18.(本小题满分13分)已知函数则211)(axxxf,其中aR.⑴当41a时,求f(x)的单调区间;⑵当a>0时,证明:存在实数m>0,使得对于任意的实数x,都有|f(x)|≤m成立.18.(本小题满分13分)(Ⅰ)解:当14a时,函数21()114xfxx,其定义域为{|2}xxR.⋯⋯⋯⋯⋯⋯1分求导,得22222224(1)3()0114(1)4(1)44xxxfxxx,⋯⋯⋯⋯⋯⋯4分所以函数()fx在区间(,2),(2,2),(2,)上单调递减.⋯⋯⋯⋯⋯⋯5分(Ⅱ)证明:当0a时,21()1xfxax的定义域为R.求导,得22221()(1)axaxfxax,⋯⋯⋯⋯⋯⋯6分令()0fx,解得11110xa,21111xa,⋯⋯⋯⋯⋯⋯7分当x变化时,()fx与()fx的变化情况如下表:x1(,)x1x12(,)xx2x2(,)x()fx+00+()fx↗↘↗⋯⋯⋯⋯⋯⋯10分所以函数()fx在1(,)x,2(,)x上单调递增,在12(,)xx上单调递减.又因为(1)0f,当1x时,21()01xfxax;当1x时,21()01xfxax,所以当1x≤时,10()()fxfx≤≤;当1x时,2()()0fxfx≤.⋯⋯⋯⋯⋯⋯12分记12max{()|,()|}||Mfxfx,其中12max{()|,()|}||fxfx为两数1()||fx,百度文库,精选习题试题习题,尽在百度2()||fx中最大的数,综上,当0a时,存在实数[,)mM,使得对任意的实数x,不等式|()|fxm≤恒成立.⋯⋯⋯⋯⋯⋯13分(2015届海淀二模)(18)(共13分)解:(Ⅰ)令()0fx,得ex.故()fx的零点为e.⋯⋯⋯⋯⋯⋯1分22231()(1ln)22ln3'()()xxxxxfxxx(0x).⋯⋯⋯⋯⋯⋯3分令'()0fx,解得32ex.当x变化时,'()fx,()fx的变化情况如下表:()fx32(0,e)32e32(e,)'()fx0()fx↘↗所以()fx的单调递减区间为32(0,e),单调递增区间为32(e,).⋯⋯⋯⋯⋯⋯6分(Ⅱ)令ln()xgxx.则2211ln1ln'()()xxxxgxfxxx.⋯⋯⋯⋯⋯⋯7分因为11()44ln244622f,(e)0f,且由(Ⅰ)得,()fx在(0,e)内是减函数,所以存在唯一的01(,e)2x,使得00'()()6gxfx.当[e,)x时,()0fx.百度文库,精选习题试题习题,尽在百度所以曲线lnxyx存在以00(,())xgx为切点,斜率为6的切线.⋯⋯⋯⋯⋯⋯10分由00201ln'()6xgxx得:200ln16xx.所以20000000ln161()6xxgxxxxx.因为012x,所以012x,063x.所以00()1ygx.⋯⋯⋯⋯⋯⋯13分(2015届东城二模)(18)(本小题共13分)已知函数()exfxxa.(Ⅰ)当2ea时,求()fx在区间[1,3]上的最小值;(Ⅱ)求证:存在实数0[3,3]x,有0()fxa.(18)(共13分)解:(Ⅰ)当2ea时,2()exfxx,]3,1[x.因为2'()1exfx,由0)(xf,2x.则x,)(xf,)(xf关系如下:所以当2x时,)(xf有最小值为3.⋯⋯⋯5分(Ⅱ)“存在实数0[3,3]x,有axf)(”等价于()fx的最大值大于a.因为'()1exfxa,所以当0a时,]3,3[x,0)('xf,)(xf在)3,3(上单调递增,所以()fx的最大值为(3)(0)ffa.所以当0a时命题成立.当0a时,由0)(xf得axln.x)2,1(2)3,2(()fx0()fx↘极小值↗百度文库,精选习题试题习题,尽在百度则xR时,x,)(xf,)(xf关系如下:(1)当3ea时,3lna,)(xf在)3,3(上单调递减,所以()fx的最大值(3)(0)ffa.所以当3ea时命题成立.(2)当33eea时,3ln3a,所以)(xf在)ln,3(a上单调递减,在)3,(lna上单调递增.所以()fx的最大值为(3)f或(3)f.且aff)0()3(与aff)0()3(必有一成立,所以当33eea时命题成立.(3)当30ea时,3lna,所以)(xf在)3,3(上单调递增,所以()fx的最大值为(3)(0)ffa.所以当30ea时命题成立.综上:对任意实数a都存在]3,3[x使axf)(成立.⋯⋯13分(2015届丰台二模)20.(本小题共13分)已知函数ln1()axfxx(0a).(Ⅰ)求函数()fx的最大值;(Ⅱ)如果关于x的方程ln1xbx有两解,写出b的取值范围(只需写出结论);(Ⅲ)证明:当*Nk且2k时,1111lnln2234kkk.20.(本小题共13分)解:(Ⅰ)函数的定义域为{0}xx.因为ln1()axfxx,所以2ln()axfxx.因为0a,所以当()0fx时,1xa.x)ln,(aaln),(lna()fx0()fx↘极小值↗百度文库,精选习题试题习题,尽在百度当1(0,)xa时,()0fx,()fx在1(0,)a上单调递增;当1(,)xa时,()0fx,()fx在1(,)a上单调递减.所以当1xa时,1()()fxfaa最大值.⋯⋯⋯⋯⋯⋯⋯⋯6分(Ⅱ)当01b时,方程ln1xbx有两解.⋯⋯⋯⋯⋯⋯⋯⋯8分(Ⅲ)由(Ⅰ)得ln11xx,变形得11lnxx,当1x等...

1、当您付费下载文档后,您只拥有了使用权限,并不意味着购买了版权,文档只能用于自身使用,不得用于其他商业用途(如 [转卖]进行直接盈利或[编辑后售卖]进行间接盈利)。
2、本站所有内容均由合作方或网友上传,本站不对文档的完整性、权威性及其观点立场正确性做任何保证或承诺!文档内容仅供研究参考,付费前请自行鉴别。
3、如文档内容存在违规,或者侵犯商业秘密、侵犯著作权等,请点击“违规举报”。

碎片内容

北京各区2019届高三二模理科数学分类汇编导数含答案

文库当当响+ 关注
实名认证
内容提供者

该用户很懒,什么也没介绍

确认删除?
VIP
微信客服
  • 扫码咨询
会员Q群
  • 会员专属群点击这里加入QQ群
客服邮箱
回到顶部