电脑桌面
添加小米粒文库到电脑桌面
安装后可以在桌面快捷访问

双曲线知识点归纳总结VIP免费

双曲线知识点归纳总结_第1页
1/4
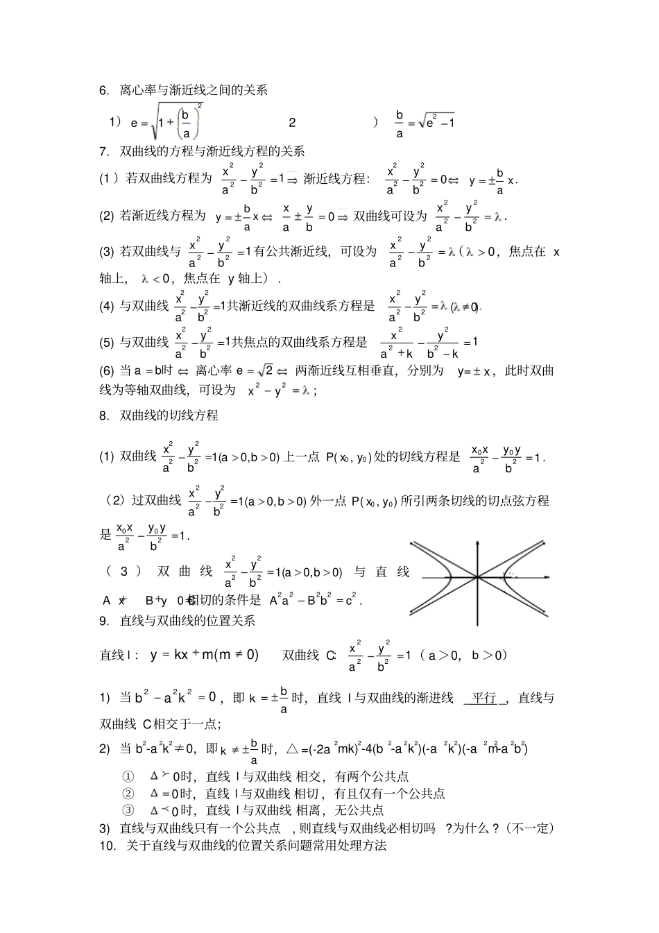
双曲线知识点归纳总结_第2页
2/4
双曲线知识点归纳总结_第3页
3/4
第二章2.3双曲线双曲线标准方程(焦点在x轴)标准方程(焦点在y轴)定义第一定义:平面内与两个定点1F,2F的距离的差的绝对值是常数(小于12FF)的点的轨迹叫双曲线。这两个定点叫做双曲线的焦点,两焦点的距离叫焦距。aMFMFM221212FFa第二定义:平面内与一个定点F和一条定直线l的距离的比是常数e,当1e时,动点的轨迹是双曲线。定点F叫做双曲线的焦点,定直线叫做双曲线的准线,常数e(1e)叫做双曲线的离心率。范围xa,yRya,xR对称轴x轴,y轴;实轴长为2a,虚轴长为2b对称中心原点(0,0)O焦点坐标焦点在实轴上,22cab;焦距:122FFc顶点坐标(a,0)(a,0)(0,a,)(0,a)离心率eace(1)准线方程准线垂直于实轴且在两顶点的内侧;两准线间的距离:ca22xyPPxyPxyPxyPP顶点到准线的距离顶点1A(2A)到准线1l(2l)的距离为caa2顶点1A(2A)到准线2l(1l)的距离为aca2焦点到准线的距离焦点1F(2F)到准线1l(2l)的距离为cac2焦点1F(2F)到准线2l(1l)的距离为cca2渐近线方程共渐近线的双曲线系方程kbyax2222(0k)kbxay2222(0k)1.双曲线的定义①当|MF1|-|MF2|=2a时,则表示点M在双曲线右支上;当aMFMF212时,则表示点M在双曲线左支上;②注意定义中的“(小于12FF)”这一限制条件,其根据是“三角形两边之和之差小于第三边”。若2a=2c时,即2121FFMFMF,当2121FFMFMF,动点轨迹是以2F为端点向右延伸的一条射线;当2112FFMFMF时,动点轨迹是以1F为端点向左延伸的一条射线;若2a>2c时,动点轨迹不存在.2.双曲线的标准方程判别方法是:如果2x项的系数是正数,则焦点在x轴上;如果2y项的系数是正数,则焦点在y轴上.对于双曲线,a不一定大于b,因此不能像椭圆那样,通过比较分母的大小来判断焦点在哪一条坐标轴上.3.双曲线的内外部(1)点00(,)Pxy在双曲线22221(0,0)xyabab的内部2200221xyab.(2)点00(,)Pxy在双曲线22221(0,0)xyabab的外部2200221xyab.4.形如)0(122ABByAx的方程可化为11122ByAx当01,01BA,双曲线的焦点在y轴上;当01,01BA,双曲线的焦点在x轴上;5.求双曲线的标准方程,应注意两个问题:⑴正确判断焦点的位置;⑵设出标准方程后,运用待定系数法求解.A2F246.离心率与渐近线之间的关系1)21abe2)12eab7.双曲线的方程与渐近线方程的关系(1)若双曲线方程为12222byax渐近线方程:22220xyabxaby.(2)若渐近线方程为xaby0byax双曲线可设为2222byax.(3)若双曲线与12222byax有公共渐近线,可设为2222byax(0,焦点在x轴上,0,焦点在y轴上).(4)与双曲线12222byax共渐近线的双曲线系方程是2222byax)0((5)与双曲线12222byax共焦点的双曲线系方程是12222kbykax(6)当时ba离心率2e两渐近线互相垂直,分别为y=x,此时双曲线为等轴双曲线,可设为22yx;8.双曲线的切线方程(1)双曲线22221(0,0)xyabab上一点00(,)Pxy处的切线方程是00221xxyyab.(2)过双曲线22221(0,0)xyabab外一点00(,)Pxy所引两条切线的切点弦方程是00221xxyyab.(3)双曲线22221(0,0)xyabab与直线0AxByC相切的条件是22222AaBbc.9.直线与双曲线的位置关系直线l:)0(mmkxy双曲线C:12222byax(a>0,b>0)1)当0222kab,即abk时,直线l与双曲线的渐进线_平行_,直线与双曲线C相交于一点;2)当b2-a2k2≠0,即abk时,△=(-2a2mk)2-4(b2-a2k2)(-a2k2)(-a2m2-a2b2)①0时,直线l与双曲线相交,有两个公共点②0时,直线l与双曲线相切,有且仅有一个公共点③0时,直线l与双曲线相离,无公共点3)直线与双曲线只有一个公共点,则直线与双曲线必相切吗?为什么?(不一定)10.关于直线与双曲线的位置关系问题常用处理方法直线l:)0(mmkxy双曲线C:12222byax(a>0,b>0)①联立方程法:设交点坐标为),(11yxA,),(22yxB,则有0,以及2121,xxxx,还可进一步求出mxxkmkxmkxyy2)(212121,2212122121)())((mxxkmxxkmkxmkxyy在涉及弦长,中点,对称,面积等问题时,常用此法,比如a.相交弦AB的弦长或2122122124)(1111yyyykyykABak21b.中点),(00yxM,2210xxx,2210yyy②点差法:设交点坐标为),(11yxA,),(22yxB,代入双曲线方程,得将两式相减,可得a.在涉及斜率问题时,)()(212212yyaxxbkABb.在涉及中点轨迹问题时,设线段AB的中点为),(00yxM,02020202212122yaxbyaxbxxyy,即0202yaxbkAB,11.焦点三角形面积公式:)(,2tan21221PFFbSPFF。

1、当您付费下载文档后,您只拥有了使用权限,并不意味着购买了版权,文档只能用于自身使用,不得用于其他商业用途(如 [转卖]进行直接盈利或[编辑后售卖]进行间接盈利)。
2、本站所有内容均由合作方或网友上传,本站不对文档的完整性、权威性及其观点立场正确性做任何保证或承诺!文档内容仅供研究参考,付费前请自行鉴别。
3、如文档内容存在违规,或者侵犯商业秘密、侵犯著作权等,请点击“违规举报”。

碎片内容

双曲线知识点归纳总结

文库当当响+ 关注
实名认证
内容提供者

该用户很懒,什么也没介绍

确认删除?
VIP
微信客服
  • 扫码咨询
会员Q群
  • 会员专属群点击这里加入QQ群
客服邮箱
回到顶部