电脑桌面
添加小米粒文库到电脑桌面
安装后可以在桌面快捷访问

17.1-一元二次方程(第一课时)VIP免费

17.1-一元二次方程(第一课时)_第1页
1/5
17.1-一元二次方程(第一课时)_第2页
2/5
17.1-一元二次方程(第一课时)_第3页
3/5
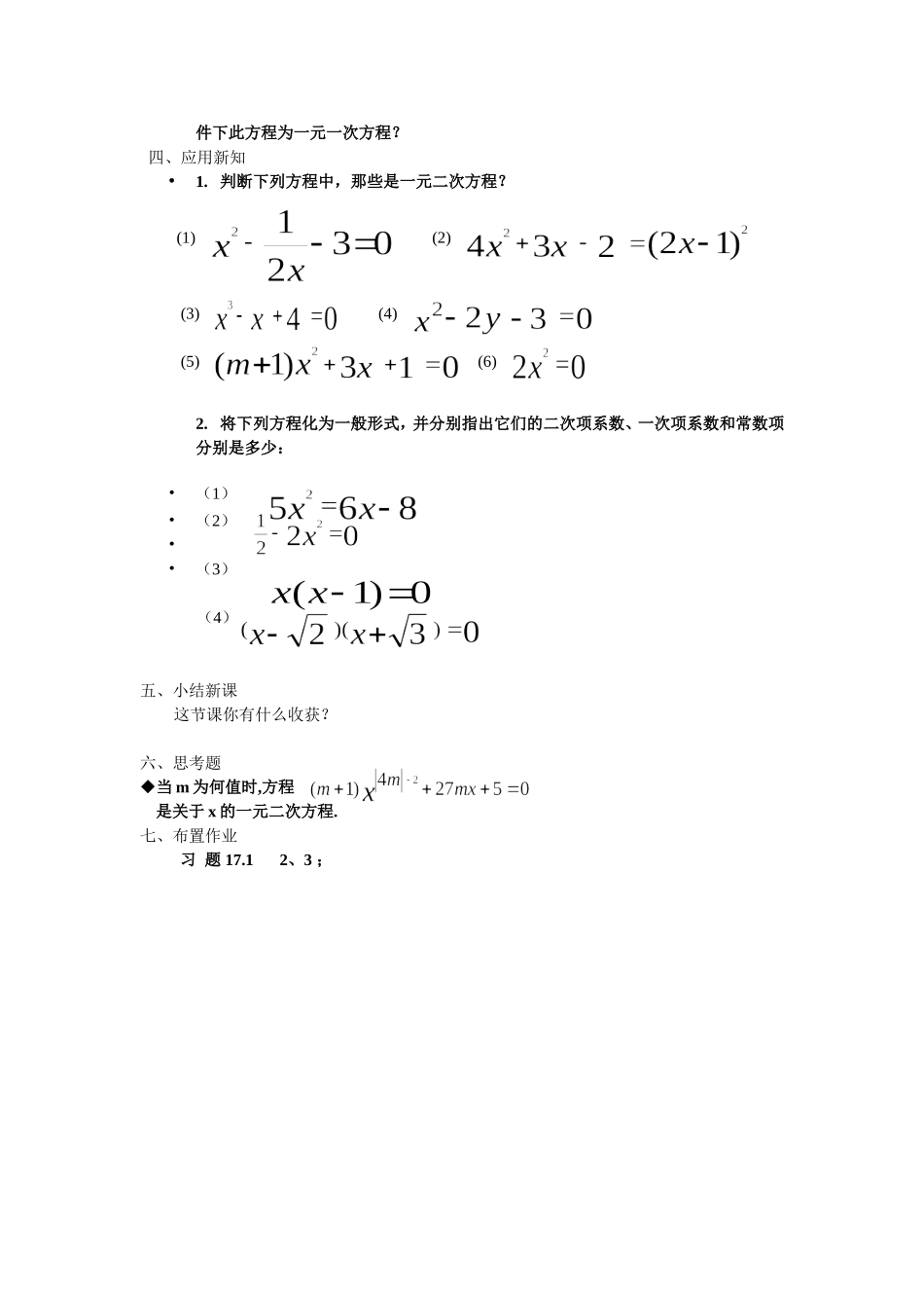
教学课题:§17.1一元二次方程教学班级:八年级(3)班教学目标:1、知识与技能了解整式方程和一元二次方程的概念;2、过程与方法知道一元二次方程的一般形式,会把一元二次方程化成一般形式。3、情感、态度与价值观通过本节课引入的教学,初步培养学生的数学来源于实践又反过来作用于实践的辨证唯物主义观点,激发学生学习数学的兴趣。教学重点:一元二次方程的概念和它的一般形式。教学难点:对一元二次方程的一般形式的正确理解及其各项系数的确定。教具准备:课件教学过程一、创设情境问题(1)诗:大江东去浪淘尽,千古风流人物.而立之年督东吴,早逝英才两位数.十位恰小个位三,个位平方与寿符,哪位学子算得快,多少年华属周瑜?分析:设周瑜逝世时的年龄个位数字为他为x,则十位数字为X-3即问题(2)有一块矩形铁皮,长100㎝,宽50㎝,在它的四角各切去一个正方形,然后将四周突出部分折起,就能制作一个无盖方盒,如果要制作的方盒的底面积为3600平方厘米,那么铁皮各角应切去多大的正方形?分析:设切去的正方形的边长为xcm,则盒底的长为(100-2x)cm,宽为(50-2x)cm根据方盒的底面积为3600cm2,得.即二、探索新知1、思考这两个方程都是一元一次方程吗?如果不是.那么这两个方程与一元一次方程的区别在哪里?它们有什么共同特点呢?(学生讨论得出):①都是整式方程;②只含一个未知数;③未知数的最高次数是2.2、—元二次方程的概念•只含有一个未知数(一元),并且未知数的最高次数是2(二次)的整式方程,叫做一元二次方程(quadraticequationinoneunknown)判断:3、想一想一元二次方程很多吗?请举例说明;你有办法一下写出所有的一元二次方程吗?4、一元二次方程的一般形式一般地,任何一个关于x的一元二次方程都可以化为的形式,我们把(a,b,c为常数,a≠0)称为一元二次方程的一般形式。(1).提问a=0时方程还是一无二次方程吗?为什么?(如果a=0、b≠0就成了一元一次方程了)。(2).讲解方程中,bx,c各项的名称及a、b的系数名称.(3).强调:一元二次方程的一般形式中“=”的左边最多三项、其中一次项、常数项可以不出现、但二次项必须存在、而且左边通常按x的降幂排列:特别注意的是“=”的右边必须整理成0。三、例题讲解•[例1]判断下列方程是否为一元二次方程?•(1)•(2)•(3)•(4)•[例2]把下列化为一般形式,并分别指出它们的二次项系数、一次项系数及常数项:•[例3]方程(2a—4)x2—2bx+a=0,在什么条件下此方程为一元二次方程?在什么条件下此方程为一元一次方程?四、应用新知•1.判断下列方程中,那些是一元二次方程?(1)(2)(3)(4)(5)(6)2.将下列方程化为一般形式,并分别指出它们的二次项系数、一次项系数和常数项分别是多少:•(1)•(2)••(3)(4)五、小结新课这节课你有什么收获?六、思考题◆当m为何值时,方程是关于x的一元二次方程.七、布置作业习题17.12、3;汊涧中学干兆宏

1、当您付费下载文档后,您只拥有了使用权限,并不意味着购买了版权,文档只能用于自身使用,不得用于其他商业用途(如 [转卖]进行直接盈利或[编辑后售卖]进行间接盈利)。
2、本站所有内容均由合作方或网友上传,本站不对文档的完整性、权威性及其观点立场正确性做任何保证或承诺!文档内容仅供研究参考,付费前请自行鉴别。
3、如文档内容存在违规,或者侵犯商业秘密、侵犯著作权等,请点击“违规举报”。

碎片内容

17.1-一元二次方程(第一课时)

您可能关注的文档

中小学资料+ 关注
实名认证
内容提供者

精美课件,值得下载

确认删除?
VIP
微信客服
  • 扫码咨询
会员Q群
  • 会员专属群点击这里加入QQ群
客服邮箱
回到顶部