电脑桌面
添加小米粒文库到电脑桌面
安装后可以在桌面快捷访问

3.三个正数的算术-几何平均不等式VIP免费

3.三个正数的算术-几何平均不等式_第1页
1/15
3.三个正数的算术-几何平均不等式_第2页
2/15
3.三个正数的算术-几何平均不等式_第3页
3/15
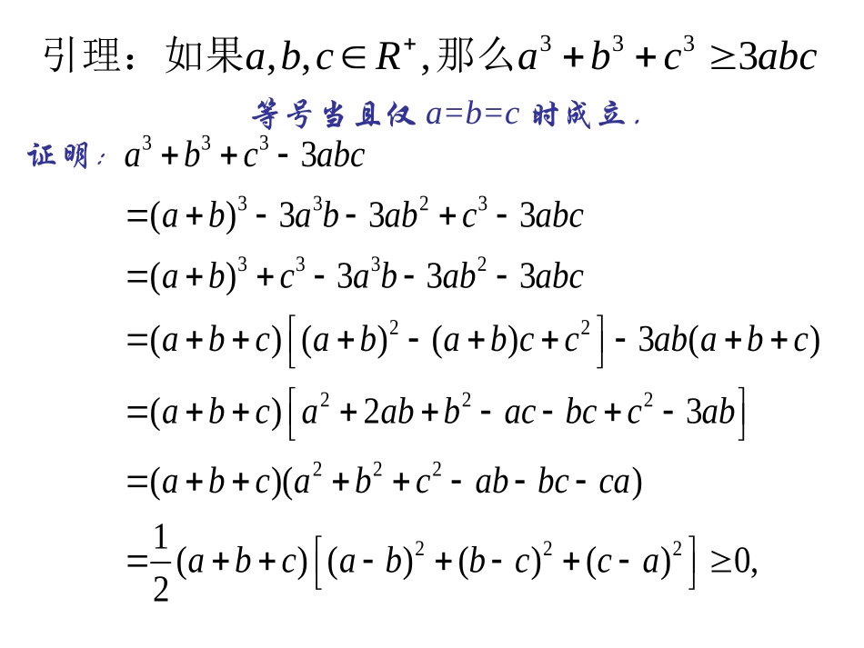
§1.1.3三个正数的算术几何不等式基本不等式给出了两个整数的算术平均数与几何平均数的关系,这个不等式能否推广呢?例如,对于3个正数,会有怎样的不等式成立呢?1、思考3,.,,3abcabcRabcabc类比、猜想:若那么当且仅当时,等号成立。333,,,3abcRabcabc引理:如果那么等号当且仅a=b=c时成立.33333233332222222222223()333()333()()()3()()23()()1()()()()0,2abcabcabababcabcabcabababcabcababccababcabcaabbacbccababcabcabbccaabcabbcca证明:3,.,,3abcabcRabcabc若那么当且仅当时,等号成立。定理3表述:三个正数的算术平均不小于它们的几何平均.推论:33abccba.,等号成立时当且仅当cba为定值时abc)1(为定值时cba)2(3)3(cbaabc.,等号成立时当且仅当cba2、三个正数的算术几何不等式.32)若x+y+z=p(定值),p则当x=y=z时,xyz有最大值27,.z3设x,y都是正数,则有1)若xyz=s(定值),则当x=y=z时,x+y+z有定最小值3s理:注:一正、二定、三等。如果*12,,,,1naaaRnnN且则:naaan21叫做这n个正数的算术平均数。nnaaa21叫做这n个正数的几何平均数。推广对于n个正数123,,,naaaa,它们的算术平均值不小于它们的几何平均值,即123123nnnaaaaaaaan≥(当且仅当123naaaa时取等号.)27Rxyz+3例1、已知x,y,z,求证:(x+y+z)。33xyzxyz证明:因为>0,所以3xyz(x+y+z),27327xyz即(x+y+z)3、例题研究211(15)(0)5yxxx例求函数的最值。235252(2)(2),2525120,20,552(2)545[].236752242.515675yxxxxxxxxxxyxxxxmax解:当且仅当,即时,y3max1141514(15)(),4431081.108xxxyxxxy下面的解法对吗?例2.)1(,10)1(2的最大值求函数时当xxyx解:,10x,01x.274,32,12maxyxxx时即当274)3122(43xxx)1(224)1(2xxxxxy构造三个数相加等于定值..)1(,10)2(2的最大值求函数时当xxyx解:,10x,012x2222)1(xxy)1)(1(221222xxx274)3112(213222xxx.392,274,33,12maxmax222yyxxx时即当构造三个数相加等于定值.x)20(,)2(2axxaxV则其容积为:)2()2(441xaxaxV272]3)2()2(4[4133axaxax272,6,243maxaVaxxax时当且仅当.272,63aa积是合的最大容铁时长为小正方形边即当剪去的axa2例3将一块边长为a的正方形铁皮,剪去四个角(四个全等的正方形),作成一个无盖的铁盒,要使其容积最大,剪去的小正方形的边长为多少?最大容积是多少?解:设剪去的小正方形的边长为x练习:2221614______(1)yxx、函数的最小值是8422(2)(02)yxxx、函数的最大值是A、0B、1C、D、()27162732D的最小值是则、若yxxyRyx24,,32A、4B、C、6D、非上述答案343B232,(0).yxxx求函数的最小值3322243212321232xxxxxxxxy解:3min43y(错解:原因是取不到等号)正解:33322236232932323232323232xxxxxxxxy.3623,23,2323min2yxxx时当且仅当4、错解分析求证:在表面积一定的长方体中,以正方体的体积最大.xyz5、问题研究1.已知0,0ab,2310ab,则32ba的最大值是____.2.已知0x,0y,且21xy,则11uxy的最小值是______________。3.函数28(1)1xyxx的最小值为______.4.现有两个定值电阻,串联后等效电阻值为R,并联后等效电阻值为r,若Rkr,则实数k的取值范围是_____.253228k≥46、课外作业

1、当您付费下载文档后,您只拥有了使用权限,并不意味着购买了版权,文档只能用于自身使用,不得用于其他商业用途(如 [转卖]进行直接盈利或[编辑后售卖]进行间接盈利)。
2、本站所有内容均由合作方或网友上传,本站不对文档的完整性、权威性及其观点立场正确性做任何保证或承诺!文档内容仅供研究参考,付费前请自行鉴别。
3、如文档内容存在违规,或者侵犯商业秘密、侵犯著作权等,请点击“违规举报”。

碎片内容

3.三个正数的算术-几何平均不等式

您可能关注的文档

教育精品店+ 关注
实名认证
内容提供者

优良的服务

相关文档

确认删除?
VIP
微信客服
  • 扫码咨询
会员Q群
  • 会员专属群点击这里加入QQ群
客服邮箱
回到顶部