电脑桌面
添加小米粒文库到电脑桌面
安装后可以在桌面快捷访问

均值不等式求最值的常用技巧及模拟题含解答:经典VIP免费

均值不等式求最值的常用技巧及模拟题含解答:经典_第1页
1/8
均值不等式求最值的常用技巧及模拟题含解答:经典_第2页
2/8
均值不等式求最值的常用技巧及模拟题含解答:经典_第3页
3/8
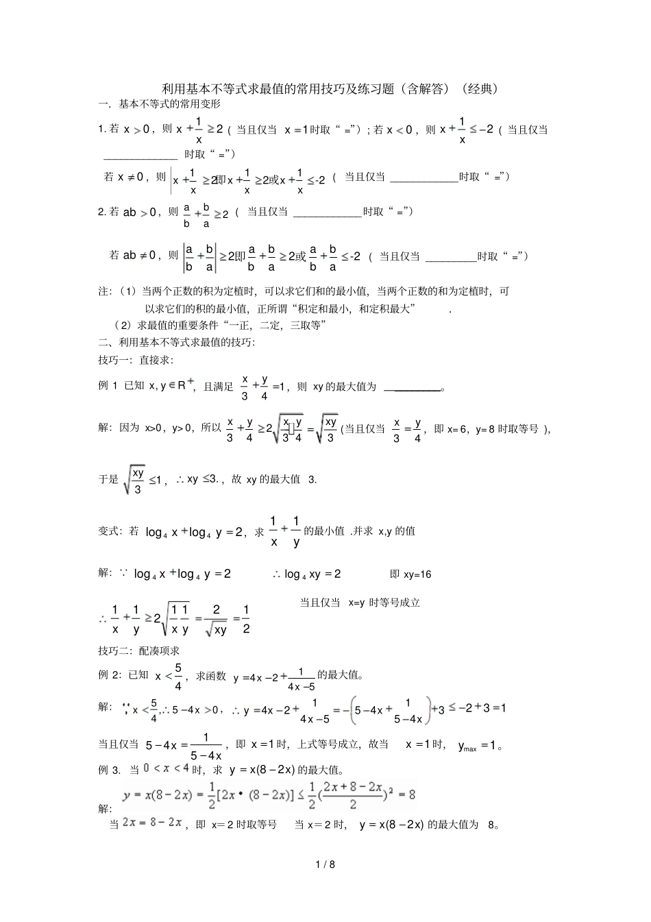
1/8利用基本不等式求最值的常用技巧及练习题(含解答)(经典)一.基本不等式的常用变形1.若0x,则12xx(当且仅当1x时取“=”);若0x,则12xx(当且仅当_____________时取“=”)若0x,则11122-2xxxxxx即或(当且仅当____________时取“=”)2.若0ab,则2abba(当且仅当____________时取“=”)若0ab,则22-2abababbababa即或(当且仅当_________时取“=”)注:(1)当两个正数的积为定植时,可以求它们和的最小值,当两个正数的和为定植时,可以求它们的积的最小值,正所谓“积定和最小,和定积最大”.(2)求最值的重要条件“一正,二定,三取等”二、利用基本不等式求最值的技巧:技巧一:直接求:例1已知,xyR,且满足134xy,则xy的最大值为________。解:因为x>0,y>0,所以234343xyxyxy(当且仅当34xy,即x=6,y=8时取等号),于是13xy,3.xy,故xy的最大值3.变式:若44loglog2xy,求11xy的最小值.并求x,y的值解: 44loglog2xy2log4xy即xy=1621211211xyyxyx当且仅当x=y时等号成立技巧二:配凑项求例2:已知54x,求函数14245yxx的最大值。解:5,5404xx,11425434554yxxxx231当且仅当15454xx,即1x时,上式等号成立,故当1x时,max1y。例3.当时,求(82)yxx的最大值。解:当,即x=2时取等号当x=2时,(82)yxx的最大值为8。2/8变式:设230x,求函数)23(4xxy的最大值。解: 230x∴023x∴2922322)23(22)23(42xxxxxxy当且仅当,232xx即23,043x时等号成立。例4.求2710(1)1xxyxx的值域。解:当,即时,421)591yxx((当且仅当x=1时取“=”号)。练习:1、已知01x,求函数(1)yxx的最大值.;2、203x,求函数(23)yxx技巧三:“1”的巧妙利用(常数代换)错解..:0,0xy,且191xy,1992212xyxyxyxyxy故min12xy。错因:解法中两次连用基本不等式,在2xyxy等号成立条件是xy,在1992xyxy等号成立条件是19xy即9yx,取等号的条件的不一致,产生错误。因此,在利用基本不等式处理问题时,列出等号成立条件是解题的必要步骤,而且是检验转换是否有误的一种方法。正解:190,0,1xyxy,1991061016yxxyxyxyxy当且仅当9yxxy时,上式等号成立,又191xy,可得4,12xy时,min16xy。变式:(1)若Ryx,且12yx,求yx11的最小值(2)已知Ryxba,,,且1ybxa,求yx的最小值3/82:已知0,0xy,且191xy,求xy的最小值。(3)设0,0.ab若11333abab是与的等比中项,则的最小值为().A.8B.4C.1D.14解析:因为333ba,所以1ba。又0,0,ab所以4222)11)((11baabbaabbababa,当且仅当baab即21ba时取“=”。故选(B).技巧五:注意:在应用最值定理求最值时,若遇等号取不到的情况,应结合函数()afxxx的单调性。例:求函数2254xyx的值域。解:令24(2)xtt,则2254xyx22114(2)4xtttx因10,1ttt,但1tt解得1t不在区间2,,故等号不成立,考虑单调性。因为1ytt在区间1,单调递增,所以在其子区间2,为单调递增函数,故52y。所以,所求函数的值域为5,2。练习.求下列函数的最小值,并求取得最小值时,x的值.(1)231,(0)xxyxx(2)12,33yxxx(3)12sin,(0,)sinyxxx的最大值.技巧六、已知x,y为正实数,且x2+y22=1,求x1+y2的最大值.分析:因条件和结论分别是二次和一次,故采用公式ab≤a2+b22。同时还应化简1+y2中y2前面的系数为12,x1+y2=x2·1+y22=2x·12+y224/8下面将x,12+y22分别看成两个因式:x·12+y22≤x2+(12+y22)22=x2+y22+122=34即x1+y2=2·x12+y22≤342技巧七:已知a,b为正实数,2b+ab+a=30,求函数y=1ab的最小值.分析:这是一个二元函数的最值问题,通常有两个途径,一是通过消元,转化为一元函数问题,再用单调性或基本不等式求解,对本题来说,这种途径是可行的;二是直接用基本不等式,对本题来说,因已知条件中既有和的形式,又有积的形式,不能一步到位求出最值,考虑用基本不等式放缩后,再通过解不等式的途径进行。法一:a=30-2bb+1,ab=30-2bb+1·b=-2b2+30bb+1由a>0得,0<b<15令t=b+1,1<t<16,ab=-2t2+34t-31t=-2(t+16t)+34 t+16t≥2t·16t=8∴ab≤18∴y≥118当且仅当t=4,即b=3,a=6时,等号成立。法二:由已知得:30-ab=a+2b a+2b≥22ab∴30-ab...

1、当您付费下载文档后,您只拥有了使用权限,并不意味着购买了版权,文档只能用于自身使用,不得用于其他商业用途(如 [转卖]进行直接盈利或[编辑后售卖]进行间接盈利)。
2、本站所有内容均由合作方或网友上传,本站不对文档的完整性、权威性及其观点立场正确性做任何保证或承诺!文档内容仅供研究参考,付费前请自行鉴别。
3、如文档内容存在违规,或者侵犯商业秘密、侵犯著作权等,请点击“违规举报”。

碎片内容

均值不等式求最值的常用技巧及模拟题含解答:经典

爱的疯狂+ 关注
实名认证
内容提供者

该用户很懒,什么也没介绍

确认删除?
VIP
微信客服
  • 扫码咨询
会员Q群
  • 会员专属群点击这里加入QQ群
客服邮箱
回到顶部