电脑桌面
添加小米粒文库到电脑桌面
安装后可以在桌面快捷访问

排球单元教学计划及教案VIP免费

排球单元教学计划及教案_第1页
1/9
排球单元教学计划及教案_第2页
2/9
排球单元教学计划及教案_第3页
3/9
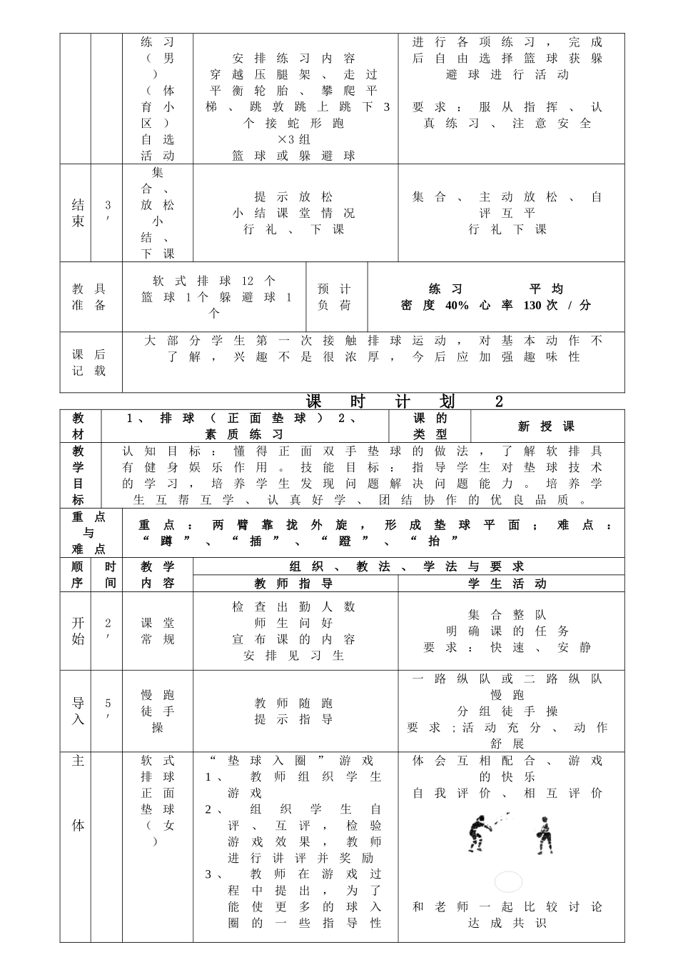
七年级排球单元教学计划一、指导思想:以排球项目作为初中体育教学内容,深入挖掘排球教学的潜力,了解和整合排球运动的的教育功能,在中小学体育教学计划中通过分层或选项教学逐步开展和普及排球教学激发广大学生积极参与排球运动;培养学生学会对排球比赛的欣赏、娱乐的水平,积极组织学生参与运动,在增进健康的同时为专门人才的培养创造基本条件,为学校体育教学项目多样化奠定基础。二、实施条件(背景)无论教学纲目或课标发生怎样的变化,排球运动作为一种体育教学项目不断显现其特殊的价值,现代我国学校体育教学以健康第一的理念,倡导学生发展为本。其中,排球教学应该是学校采纳的体育教学项目之一。借鉴以往的经验,排球运动深受广大学生的喜爱,它的独特功能不能被取代,但也存在排球作为初中体育施教项目时,应用比较随意。目前,体育与课程标准中提出的教学项目、教学方法等在整合的基础上演变出了软式排球以及措施方法的变化。其目标就是以健康、情感、思想较全面的协调育人观我市是排球运动开展较好的地区,为国家输送了不少优秀队员,有得天独后的条件。2008年我国成功举办了北京奥运会,学校体育教学应该进一步挖掘排球运动在学校教育中的潜力,使排球运动真正成为学校体育教学的主要素材。三、教学顺序:课次课的任务要求重点难点1懂得正面双手垫球的做法,了解软排具有健身娱乐作用。指导学生对垫球技术的学习,培养学生发现问题解决问题能力。重点:两臂靠拢外旋,形成垫球平面;难点:直臂上抬不屈肘2懂得正面双手垫球的做法,了解软排具有健身娱乐作用。指导学生对垫球技术的学习,培养学生发现问题解决问题能力。重点:两臂靠拢外旋,形成垫球平面;难点:“蹲”、“插”、“蹬”、“抬”3懂得背向双手垫球的做法,了解软排具有健身娱乐作用。指导学生对垫球技术的学习,培养学生发现问题解决问题能力。重点:判断落点、直臂后上摆;难点:抬头挺胸、展腹后仰4提高所学技术的实际运用能力。培养学生互帮互学、认真好学、团结协作的优良品质。重点:团结协作;难点:所学技术的实际运用5检验所学内容的掌握情况提高心理素质、从容面对重点:两臂靠拢外旋,形成垫球平面难点:“蹲”、“插”、“蹬”、“抬”6提高所学技术的实际运用能力培养学生互帮互学、认真好学、团结协作的优良品质。重点:团结协作;难点:所学技术的实际运用课时计划1教材1、排球(正面垫球)2、素质练习课的类型新授课教学目标认知目标:懂得正面双手垫球的做法,了解软排具有健身娱乐作用。技能目标:指导学生对垫球技术的学习,培养学生发现问题解决问题能力。培养学生互帮互学、认真好学、团结协作的优良品质。重点与难点重点:两臂靠拢外旋,形成垫球平面;难点:直臂上抬不屈肘顺序时间教学内容组织、教法、学法与要求教师指导学生活动开始2'课堂常规检查出勤人数师生问好宣布课的内容安排见习生集合整队明确课的任务要求:快速、安静导入5'慢跑徒手操教师随跑提示指导一路纵队或二路纵队慢跑分组徒手操要求;活动充分、动作舒展主体软式排球正面垫球(女)素质综合简单介绍软式排球的特点、玩的方法教师讲解动作要领并示范组织学生尝试自垫:积极引导学生,激发学生兴趣(同学们,我们在垫球的时候,感受一下,怎么样才能使你的球听话?)听讲解,看示范,模仿手型和击球部位,明确手型、垫球方法,掌握动作要领三人一组一抛一垫一接要求:练习中互相帮助指正,积极思考体育骨干带领大家有秩序地练习(男)(体育小区)自选活动安排练习内容穿越压腿架、走过平衡轮胎、攀爬平梯、跳敦跳上跳下3个接蛇形跑×3组篮球或躲避球进行各项练习,完成后自由选择篮球获躲避球进行活动要求:服从指挥、认真练习、注意安全结束3'集合、放松小结、下课提示放松小结课堂情况行礼、下课集合、主动放松、自评互平行礼下课教具准备软式排球12个篮球1个躲避球1个预计负荷练习平均密度40%心率130次/分课后记载大部分学生第一次接触排球运动,对基本动作不了解,兴趣不是很浓厚,今后应加强趣味性课时计划2教材1、排球(正面垫球)2、素质练习课的类型新授课教学目标认知目标:懂得正面双手垫球...

1、当您付费下载文档后,您只拥有了使用权限,并不意味着购买了版权,文档只能用于自身使用,不得用于其他商业用途(如 [转卖]进行直接盈利或[编辑后售卖]进行间接盈利)。
2、本站所有内容均由合作方或网友上传,本站不对文档的完整性、权威性及其观点立场正确性做任何保证或承诺!文档内容仅供研究参考,付费前请自行鉴别。
3、如文档内容存在违规,或者侵犯商业秘密、侵犯著作权等,请点击“违规举报”。

碎片内容

排球单元教学计划及教案

确认删除?
VIP
微信客服
  • 扫码咨询
会员Q群
  • 会员专属群点击这里加入QQ群
客服邮箱
回到顶部