电脑桌面
添加小米粒文库到电脑桌面
安装后可以在桌面快捷访问

二次根式检测题VIP免费

二次根式检测题_第1页
1/4
二次根式检测题_第2页
2/4
二次根式检测题_第3页
3/4
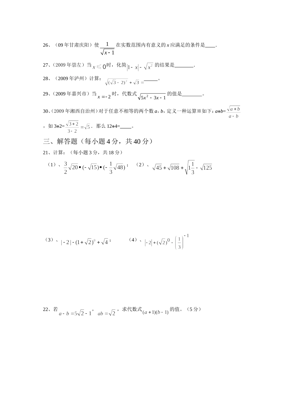
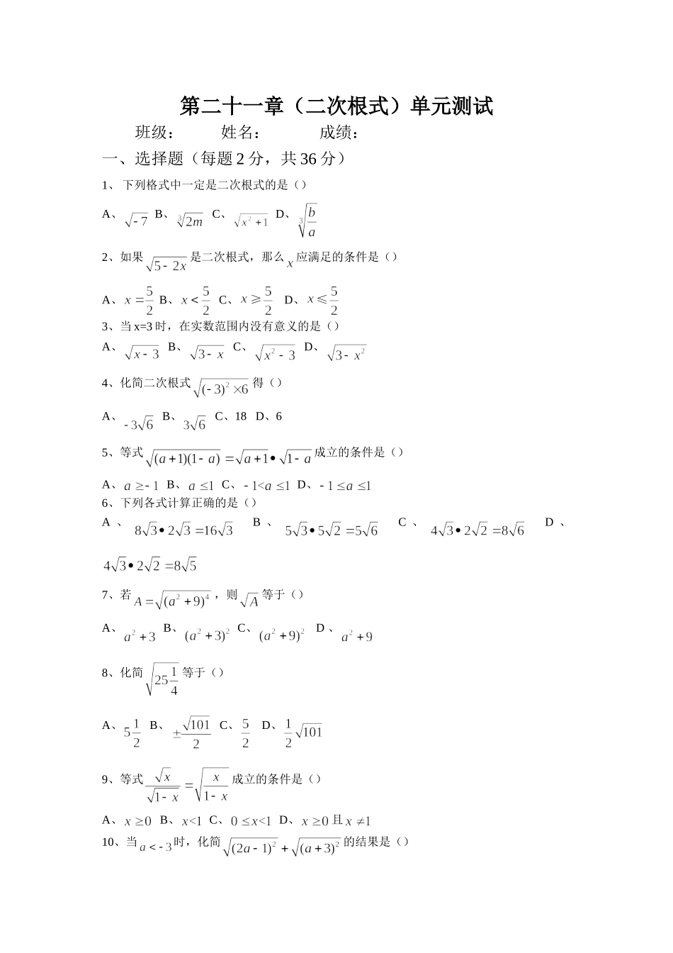
第二十一章(二次根式)单元测试班级:姓名:成绩:一、选择题(每题2分,共36分)1、下列格式中一定是二次根式的是()A、B、C、D、2、如果是二次根式,那么应满足的条件是()A、B、C、≥D、≤3、当x=3时,在实数范围内没有意义的是()A、B、C、D、4、化简二次根式得()A、B、C、18D、65、等式成立的条件是()A、B、C、D、6、下列各式计算正确的是()A、B、C、D、7、若,则等于()A、B、C、D、8、化简等于()A、B、C、D、9、等式成立的条件是()A、B、C、D、且10、当时,化简的结果是()A、B、C、D、11、(09年贵州黔东南州)方程,当时,m的取值范围是()A、B、C、D、12、(2009年贵州黔东南州)下列运算正确的是()A、B、C、D、13、(2009年荆门市)若11xx,则x-y的值为()A.-1B.1C.2D.314、(09年鄂州)使代数式有意义的x的取值范围是()A、x>3B、x≥3C、x>4D、x≥3且x≠415.(2009年绵阳市)已知n12是正整数,则实数n的最大值为()A.12B.11C.8D.316、(2009年武汉)二次根式2(3)的值是()A.3B.3或3C.9D.317、(2009年益阳市)在电路中,已知一个电阻的阻值R和它消耗的电功率P.由电功率计算公式可得它两端的电压U为A.B.C.D.18、(2009年天津市)若为实数,且,则的值为()A.1B.C.2D.一、填空题(每题2分,共24分)19、若,则代数式=。20、的倒数是,=。21、成立的条件是。22、若,则=。23、(09年铁岭市)函数自变量的取值范围是.24、(09年黄冈市)当x=________时,二次根式有意义.25、(09湖南怀化)若22340abc,则cba.26、(09年甘肃庆阳)使11x在实数范围内有意义的x应满足的条件是.27、(2009年崇左)当时,化简的结果是.28、(2009年泸州)计算:。29、(2009年嘉兴市)当2x时,代数式1352xx的值是。30、(2009年湘西自治州)对于任意不相等的两个数a,b,定义一种运算※如下:a※b=,如32=※.那么124=※。三、解答题(每小题4分,共40分)21、计算:(每小题3分,共18分)(1)、;(2)、(3)、;(4)、22、若,,求代数式的值。(5分)23、已知求的值。(6分)24、已知,求的值。(6分)25、、已知:,求:的值。26、、(2009辽宁朝阳)先化简,再求值:,其中.27、、如图:A,B,C三点表示的数分别为a,b,c。利用图形化简:CAOB

1、当您付费下载文档后,您只拥有了使用权限,并不意味着购买了版权,文档只能用于自身使用,不得用于其他商业用途(如 [转卖]进行直接盈利或[编辑后售卖]进行间接盈利)。
2、本站所有内容均由合作方或网友上传,本站不对文档的完整性、权威性及其观点立场正确性做任何保证或承诺!文档内容仅供研究参考,付费前请自行鉴别。
3、如文档内容存在违规,或者侵犯商业秘密、侵犯著作权等,请点击“违规举报”。

碎片内容

二次根式检测题

精华资料店+ 关注
实名认证
内容提供者

大量教育教学资料

相关文档

确认删除?
VIP
微信客服
  • 扫码咨询
会员Q群
  • 会员专属群点击这里加入QQ群
客服邮箱
回到顶部