电脑桌面
添加小米粒文库到电脑桌面
安装后可以在桌面快捷访问

江苏省高三数学复习每天30分钟限时训练84 苏教版VIP免费

江苏省高三数学复习每天30分钟限时训练84 苏教版_第1页
1/3
江苏省高三数学复习每天30分钟限时训练84 苏教版_第2页
2/3
江苏省高三数学复习每天30分钟限时训练84 苏教版_第3页
3/3
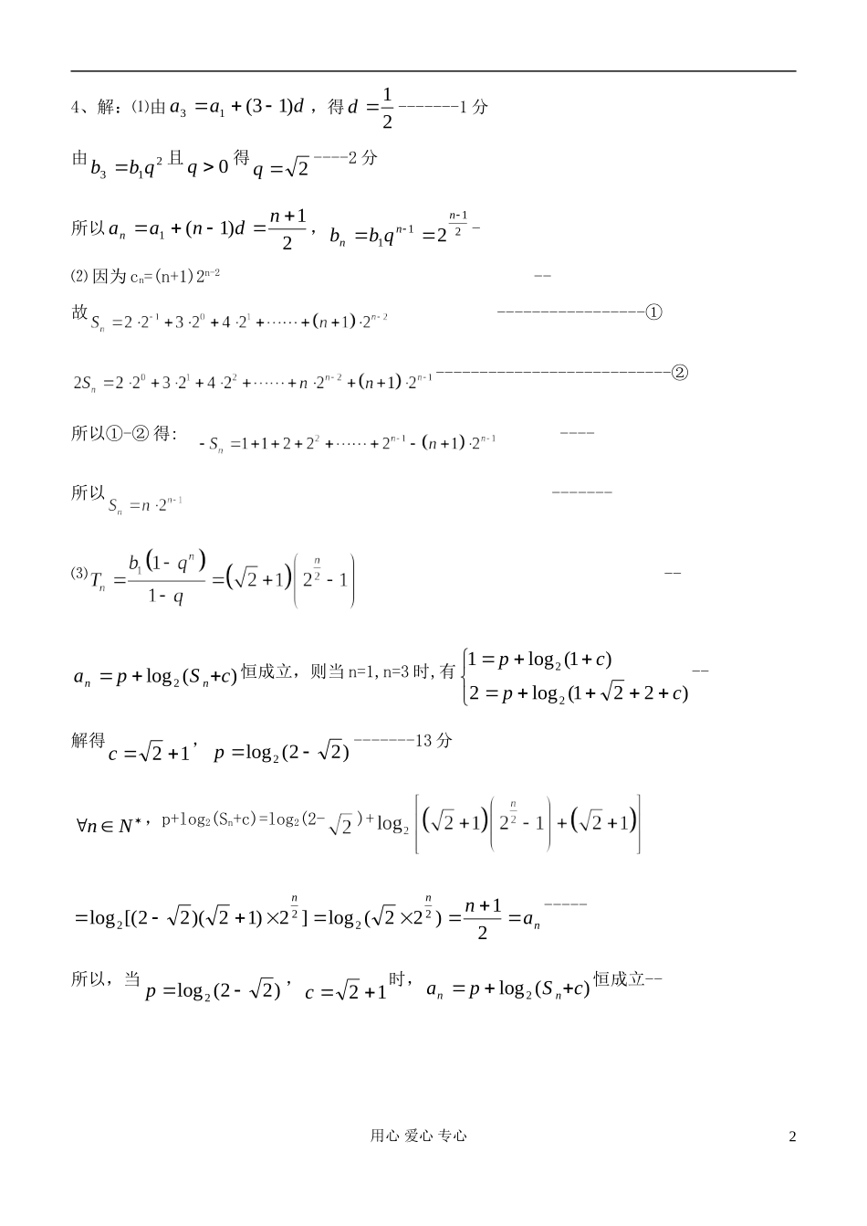
高三数学复习限时训练(84)1、若过点的作圆:两条切线,切点分别为P、Q,则直线PQ方程是2、在△ABC中,若,则边的长等于3、已知数列满足:数列满足。(1)若是等差数列,且求的值及的通项公式;(2)若是等比数列,求的前项和;(3)当是公比为的等比数列时,能否为等比数列?若能,求出的值;若不能,请说明理由。4、已知等差数列{an}{和正项等比数列{bn},a1=b1=1,a3=b3=2.⑴求an,bn;⑵设,求数列{cn}的前n项和Sn;⑶设nb的前n项和为Tn,是否存在常数p、c,使恒成立?若存在,求p、c的值;若不存在,说明理由.限时训练(84)参考答1、2x+y-2=02、3、(1)(2)若(3)不能为等比数列用心爱心专心14、解:⑴由daa)13(13,得21d-------1分由213qbb且0q得2q----2分所以21)1(1ndnaan,21112nnnqbb-⑵因为cn=(n+1)2n-2--故-----------------①---------------------------②所以①-②得:----所以-------⑶--)(log2cSpann恒成立,则当n=1,n=3时,有)221(log2)1(log122cpcp--解得12c,)22(log2p-------13分Nn,p+log2(Sn+c)=log2(2-)+nnnan21)22(log]2)12)(22[(log2222-----所以,当)22(log2p,12c时,)(log2cSpann恒成立--用心爱心专心2用心爱心专心3

1、当您付费下载文档后,您只拥有了使用权限,并不意味着购买了版权,文档只能用于自身使用,不得用于其他商业用途(如 [转卖]进行直接盈利或[编辑后售卖]进行间接盈利)。
2、本站所有内容均由合作方或网友上传,本站不对文档的完整性、权威性及其观点立场正确性做任何保证或承诺!文档内容仅供研究参考,付费前请自行鉴别。
3、如文档内容存在违规,或者侵犯商业秘密、侵犯著作权等,请点击“违规举报”。

碎片内容

江苏省高三数学复习每天30分钟限时训练84 苏教版

您可能关注的文档

慧源书店+ 关注
实名认证
内容提供者

从事历史教学,热爱教育,高度负责。

相关文档

确认删除?
VIP
微信客服
  • 扫码咨询
会员Q群
  • 会员专属群点击这里加入QQ群
客服邮箱
回到顶部