电脑桌面
添加小米粒文库到电脑桌面
安装后可以在桌面快捷访问

高考数学二轮复习 压轴大题高分练(三)解析几何(C组)-人教版高三全册数学试题VIP免费

高考数学二轮复习 压轴大题高分练(三)解析几何(C组)-人教版高三全册数学试题_第1页
1/4
高考数学二轮复习 压轴大题高分练(三)解析几何(C组)-人教版高三全册数学试题_第2页
2/4
高考数学二轮复习 压轴大题高分练(三)解析几何(C组)-人教版高三全册数学试题_第3页
3/4
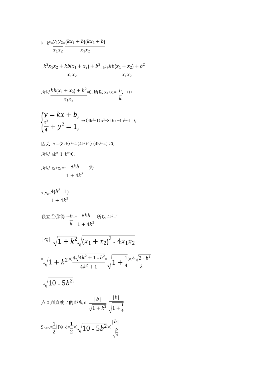
压轴大题高分练3.解析几何(C组)压轴大题集训练,练就慧眼和规范,筑牢高考高分根基!1.如图,抛物线M:过y=x2上一点A(点A不与原点O重合)作抛物线M的切线AB交y轴于点B,点C是抛物线M上异于点A的点,设G为△ABC的重心(三条中线的交点),直线CG交y轴于点D.(1)设点A(x0,)(x0≠0),求直线AB的方程.(2)求的值.【解析】(1)因为y′=2x,所以直线AB的斜率k=y′=2x0.所以直线AB的方程y-=2x0(x-x0),即y=2x0x-.(2)由题意得,点B的纵坐标yB=-,所以AB中点坐标为.设C(x1,y1),G(x2,y2),直线CG的方程为x=my+x0.由联立得m2y2+(mx0-1)y+=0.因为G为△ABC的重心,所以y1=3y2.由根与系数的关系,得y1+y2=4y2=,y1y2=3=.所以=,解得mx0=-3±2.所以点D的纵坐标yD=-=,故==4±6.2.已知椭圆C:+=1(a>b>0)的右焦点为F(c,0),点P为椭圆C上的动点,若|PF|的最大值和最小值分别为2+和2-.(1)求椭圆C的方程.(2)设不过原点的直线l与椭圆C交于P,Q两点,若直线OP,PQ,OQ的斜率依次成等比数列,求△OPQ面积的最大值.【解析】(1)由已知得解得椭圆C的方程为+y2=1.(2)设l:y=kx+b(易知l存在斜率,且b≠0),设P(x1,y1),Q(x2,y2)由条件知kOP·kOQ=k2,即k2====k2+.所以=0,所以x1+x2=-.①(4k⇒2+1)x2+8kbx+4b2-4=0,因为Δ=(8kb)2-4(4k2+1)(4b2-4)>0,所以4k2+1-b2>0,所以x1+x2=-②x1x2=联立①②得:-=-,所以4k2=1.|PQ|==×=×=,点O到直线l的距离d==.S△OPQ=|PQ|d=××=|b|==,因为4k2=1且4k2+1-b2>0,所以0

1、当您付费下载文档后,您只拥有了使用权限,并不意味着购买了版权,文档只能用于自身使用,不得用于其他商业用途(如 [转卖]进行直接盈利或[编辑后售卖]进行间接盈利)。
2、本站所有内容均由合作方或网友上传,本站不对文档的完整性、权威性及其观点立场正确性做任何保证或承诺!文档内容仅供研究参考,付费前请自行鉴别。
3、如文档内容存在违规,或者侵犯商业秘密、侵犯著作权等,请点击“违规举报”。

碎片内容

高考数学二轮复习 压轴大题高分练(三)解析几何(C组)-人教版高三全册数学试题

您可能关注的文档

慧源书店+ 关注
实名认证
内容提供者

从事历史教学,热爱教育,高度负责。

相关文档

确认删除?
微信客服
  • 扫码咨询
会员Q群
  • 会员专属群点击这里加入QQ群