电脑桌面
添加小米粒文库到电脑桌面
安装后可以在桌面快捷访问

高考数学 专题八 平面向量精准培优专练 文-人教版高三全册数学试题VIP免费

高考数学 专题八 平面向量精准培优专练 文-人教版高三全册数学试题_第1页
1/25
高考数学 专题八 平面向量精准培优专练 文-人教版高三全册数学试题_第2页
2/25
高考数学 专题八 平面向量精准培优专练 文-人教版高三全册数学试题_第3页
3/25
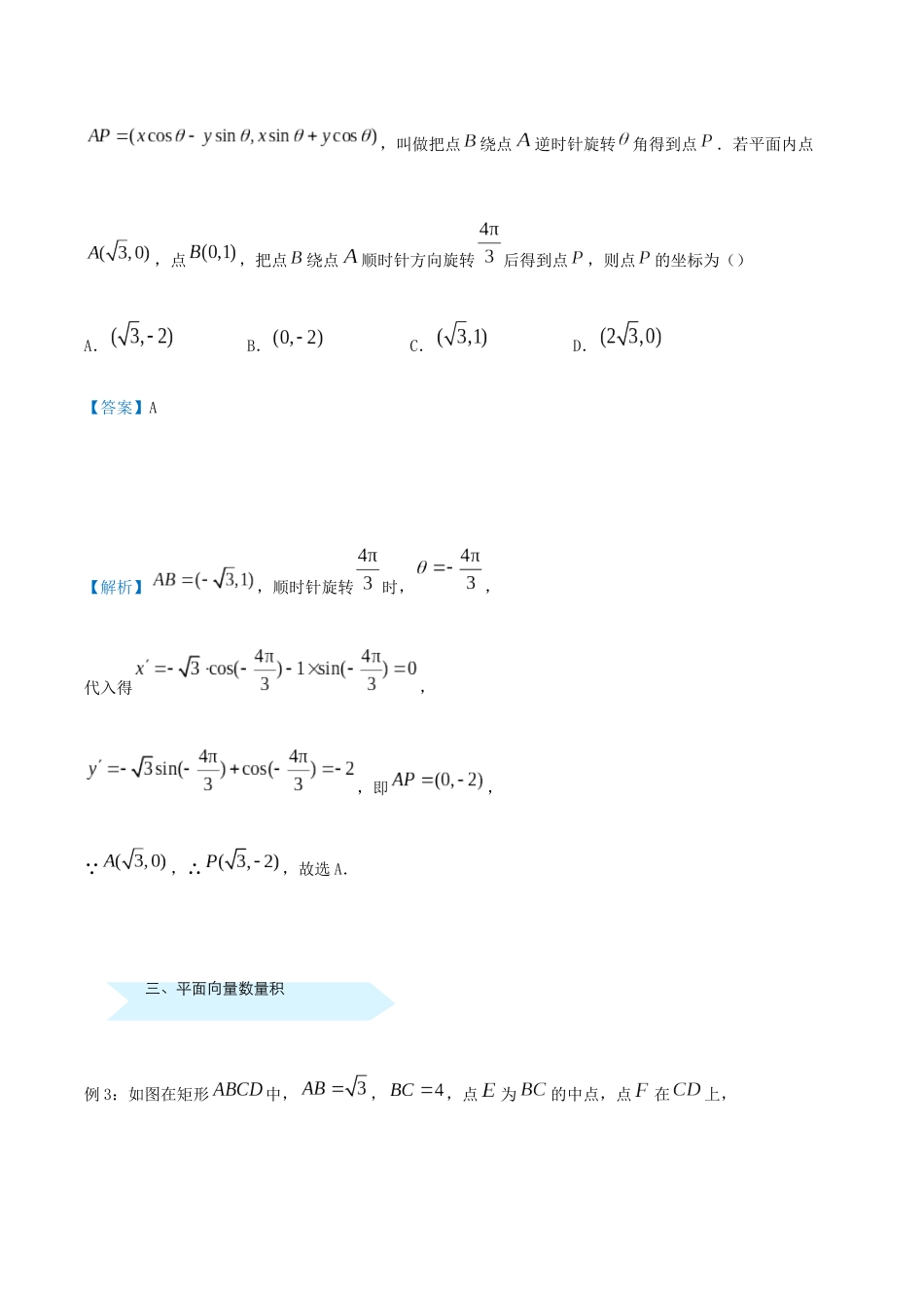
一、平面向量的线性运算二、平面向量的坐标运算培优点八平面向量例1:如图,三个半径为的圆两两外切(,,为圆心),且等边的每一边都与其中的两个圆相切,则.【答案】【解析】由题意易得,所以.例2:已知对任意平面向量,把绕其起点沿逆时针方向旋转角得到向量三、平面向量数量积,叫做把点绕点逆时针旋转角得到点.若平面内点,点,把点绕点顺时针方向旋转后得到点,则点的坐标为()A.B.C.D.【答案】A【解析】,顺时针旋转时,,代入得,,即, ,∴,故选A.例3:如图在矩形中,,,点为的中点,点在上,若,则的值是()A.B.C.D.【答案】B【解析】选基向量和,由题意得,,,∴,∴,即,解得, 点为的中点,,∴,,∴.故选B.四、平面向量和三角形函数,解三角形的综合例4:在中,,,,是的内心,若,其中,,动点的轨迹所覆盖的面积为()A.B.C.D.【答案】A【解析】如图,根据题意知,点在以,为邻边的平行四边形内部,∴动点的轨迹所覆盖图形的面积为,在中,,,,∴由余弦定理得,,解得或(舍去),又为的内心,所以内切圆半径,五、平面向量和平面几何的综合又,∴,∴动点的轨迹所覆盖图形的面积为.故答案为A.例5:在矩形中,,,动点在以点为圆心且与相切的圆上,若,则的最大值为()A.B.C.D.【答案】A【解析】如图,以为原点,以,所在的直线为,轴建立如图所示的坐标系,则,,,, 动点在以点为圆心且与相切的圆上,设圆的半径为, ,,∴,∴,∴,∴圆的方程为,设点的坐标为, ,所以,∴,,对点增分集训∴,其中, ,,故的最大值为,故选A.一、选择题1.梯形中,且,则()A.B.C.D.不能确定【答案】C【解析】由梯形易得:,所以,又,所以,由于,所以,可得.故选C.2.在中,是边所在直线上任意一点,若,则()A.B.C.D.【答案】C【解析】 中,是边所在直线上任意一点,∴存在实数,使得,即,化简得, ,∴结合平面向量基本定理,得,解之得,.故选C.3.已知两点,,若直线上存在点满足,则实数的取值范围是()A.B.C.D.【答案】C【解析】设,则,,由,得,∴点的轨迹为一个以原点为圆心,为半径的圆,因在直线上,故圆心到直线的距离,故,故选C.4.已知,且,,,则的取值范围是()A.B.C.D.【答案】A【解析】如图所示,,,且,又,取中点为,可得, ,∴的终点在以为圆心,为半径的圆上运动,当点在点处,的最小值为;当点在的延长线时,的最大值为,∴的取值范围是,故选A.5.若为所在平面内任意一点,且满足,则的形状为()A.等腰三角形B.直角三角形C.正三角形D.等腰直角三角形【答案】A【解析】,即, ,∴,即,∴是等腰三角形,故选A.6.长度都为的向量,的夹角为,点在以为圆心的圆弧(劣弧)上,,则的最大值是()A.B.C.D.【答案】B【解析】 ,∴,∴,即,即,故,(当且仅当时,等号成立);故,故的最大值为.7.过点作圆的切线,切点分别为,,则的最小值为()A.B.C.D.【答案】C【解析】由已知得圆心坐标满足,即,可知圆心在直线上运动,则.设,则,易知函数在上为增函数,所以.故选C.8.如图,四边形是边长为的正方形,,点为内(含边界)的动点,设(,),则的最大值是()A.B.C.D.【答案】D【解析】以为坐标原点,以,所在的直线分别为,轴建立平面直角坐标系,如图所示,则,,,设.因为,所以,即,所以,所以,则.由题意知动点的运动区域为内(含边界),因此平行于直线的直线经过点时,取得最大值,即,故选D.9.如图,在中,,,为上一点,且满足,若的面积为,则的最小值为()A.B.C.D.【答案】B【解析】设,,则三角形的面积为,解得,由,且,,三点共线,可知,,故.以点为坐标原点,以所在直线为轴,过点作的垂线为轴,建立如图所示坐标系,则,,,,则,,,则(当且仅当,即时取“”).故的最小值为.故选B.10.已知,,,;若是所在平面内一点,且,则的取值范围是()A.B.C.D.【答案】D【解析】由题意建立如图所示的坐标系,可得,,, ,∴,∴,,∴,当且仅当,即时,取等号,由可得,由可得,∴的最大值为,最...

1、当您付费下载文档后,您只拥有了使用权限,并不意味着购买了版权,文档只能用于自身使用,不得用于其他商业用途(如 [转卖]进行直接盈利或[编辑后售卖]进行间接盈利)。
2、本站所有内容均由合作方或网友上传,本站不对文档的完整性、权威性及其观点立场正确性做任何保证或承诺!文档内容仅供研究参考,付费前请自行鉴别。
3、如文档内容存在违规,或者侵犯商业秘密、侵犯著作权等,请点击“违规举报”。

碎片内容

高考数学 专题八 平面向量精准培优专练 文-人教版高三全册数学试题

您可能关注的文档

慧源书店+ 关注
实名认证
内容提供者

从事历史教学,热爱教育,高度负责。

相关文档

确认删除?
VIP
微信客服
  • 扫码咨询
会员Q群
  • 会员专属群点击这里加入QQ群
客服邮箱
回到顶部