电脑桌面
添加小米粒文库到电脑桌面
安装后可以在桌面快捷访问

结构化学答案3讲解VIP免费

结构化学答案3讲解_第1页
1/16
结构化学答案3讲解_第2页
2/16
结构化学答案3讲解_第3页
3/16
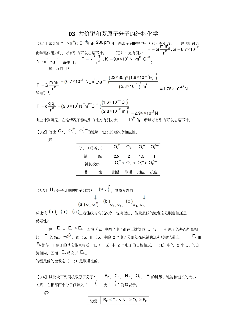
03共价键和双原子分子的结构化学【3.1】试计算当Na和Cl相距280pm时,两离子间的静电引力和万有引力;并说明讨论化学键作用力时,万有引力可以忽略不计。(已知:完有引力11122,6.710mmFGGr22Nmkg;静电引力922122,9.010qqFKKNmCr)解:万有引力122mmFGr2271122210223351.6106.7102.810kgNmkgm431.7610N静电引力2199221222101.6109.0102.810CqqFkNmCrm92.9410N由上计算可见,在这情况下静电引力比万有引力大3410倍,所以万有引力可以忽略不计。【3.2】写出2O,2O,22O的键级,键长长短次序和磁性。解:分子(或离子)2O2O2O22O键级2.521.51键长次序22222OOOO<磁性顺磁顺磁顺磁抗磁【3.3】2H分子基态的电子组态为21s,其激发态有a1ss,*11ssb,*11ssc试比较a,b,c三者能级的高低次序,说明理由,能量最低的激发态是顺磁性还是反磁性?解:cabEEE。因为(c)中两个电子都在反键轨道上,与H原子的基态能量相比,cE约高出2。而(a)和(b)中的2个电子分别处在成键轨道和反键轨道上,aE和bE都与H原子的基态能量相近,但(a)中2个电子的自旋相反,(b)中的2个电子的自旋相同,因而aE稍高于bE。能级最低的激发态(b)是顺磁性的。【3.4】试比较下列同核双原子分子:2B,2C,2N,2O,2F的键级、键能和键长的大小关系,在相邻两个分子间填入“”或“”符号表示。解:键级22222BCNOF键能22222BCNOF键长22222BCNOF【3.5】基态2C为反磁性分子,试写出其电子组态;实验测定2C分子键长为124pm,比C原子共价双键半径和267pm短,试说明其原因。解:2C分子的基组态为:224111RuuKK由于s-p混杂,1u为弱反键,2C分子的键级在23之间,从而使实测键长比按共价双键半径计算得到的值短。【3.6】据分子轨道理论,指出2Cl的键比2Cl的键是强还是弱,为什么?解:2Cl的键比2Cl的键弱。原因是:2Cl的基态价电子组态为2*224*433333()()()()()xssppp,键级为1。2Cl比2Cl少1个反键电子,键级为1.5。【3.7】画出CN的分子轨道示意图,写出基态电子组态,计算键级及磁矩(忽略轨道运动对磁矩的贡献)。解:CN-与N2为等电子“分子”。其价层分子轨道与N2分子大致相同,分子轨道轮廓图如图3.7。基态的价电子组态为22421213。键级=12(成键电子数-反键电子数)=18232未成对电子数为0,因而磁距为0。【3.8】画出NO的分子轨道示意图,计算键级及自旋磁矩,试比较NO和NO何者的键更强?哪一个键长长一些?解:NO的价层分子轨道能级示意图如图3.8所示。键级1(83)2.52图3.8NO价层分子轨道能级图不成对电子数为1,自旋磁矩1(12)1.73ee。由于NO+失去了1个反键的2π电子,因而键级为3,所以它的化学键比NO化学键强。相应地,其键长比NO的键长短。【3.9】按分子轨道理论写出NF,NF,NF基态时的电子组态,说明它们的不成对电子数和磁性(提示:按类似2O的能级排)。解:NF,NF+和NF-分别是O2,2O和2O的等电子体,它们的基态电子组态、键级、不成对电子数及磁性等情况如下:“分子”基态电子组态键级不成对电子数磁性NF22242(1)(2)(3)(1)(2)KK22顺磁性NF+22241(1)(2)(3)(1)(2)KK2.51顺磁性NF-22243(1)(2)(3)(1)(2)KK1.51顺磁性【3.10】试用分子轨道理论讨论SO分子的电子结构,说明基态时有几个不成对电子。解:在SO分子的紫外光电子能谱中观察到6个峰。它们所对应的分子轨道的归属和性质已借助于量子力学半经验计算(CNDO)得到指认。结果表明,SO分子的价电子结构与O2分子和S2分子的价电子结构相似。但SO是异核双原子分子,因而其价电子组态可表述为:2224212312其中,1,3和1轨道是成键轨道,2和2轨道是反键轨道。这些价层分子轨道是由O原子的2s、2p轨道和S原子的3s、3p轨道叠加成的。根据价层分子轨道的性质和电子数,可算出SO分子的键级为:18422P在简并的2轨道上各有一个电子,因而SO分子的不成对电子数为2,若忽略轨道运动对磁距的影响,则SO分子的磁距为22222ee。【3.11】CF和CF的键能分别为548和7531KJmol,试用分子轨道理论探讨其键级(按2F能级次序)。解:CF的基态价电子组态为:2224112312因而其键级为1832.52。而CF+比CF少一个反键电子,因而,其键级为3。所以CF+的键能比CF的键能大。【3.12】下列AB型分子:2N,NO,2...

1、当您付费下载文档后,您只拥有了使用权限,并不意味着购买了版权,文档只能用于自身使用,不得用于其他商业用途(如 [转卖]进行直接盈利或[编辑后售卖]进行间接盈利)。
2、本站所有内容均由合作方或网友上传,本站不对文档的完整性、权威性及其观点立场正确性做任何保证或承诺!文档内容仅供研究参考,付费前请自行鉴别。
3、如文档内容存在违规,或者侵犯商业秘密、侵犯著作权等,请点击“违规举报”。

碎片内容

结构化学答案3讲解

您可能关注的文档

文库当当响+ 关注
实名认证
内容提供者

该用户很懒,什么也没介绍

确认删除?
VIP
微信客服
  • 扫码咨询
会员Q群
  • 会员专属群点击这里加入QQ群
客服邮箱
回到顶部