电脑桌面
添加小米粒文库到电脑桌面
安装后可以在桌面快捷访问

高三数学步步高(理)第三编 导数及其应用VIP免费

高三数学步步高(理)第三编  导数及其应用_第1页
1/32
高三数学步步高(理)第三编  导数及其应用_第2页
2/32
高三数学步步高(理)第三编  导数及其应用_第3页
3/32
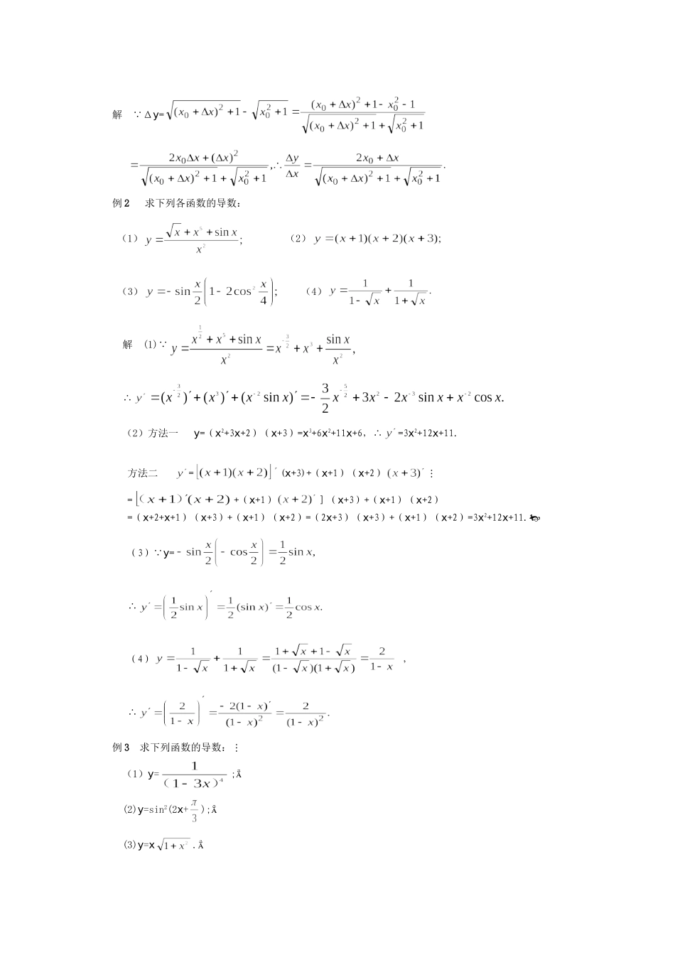
第三编导数及其应用§3.1变化率与导数、导数的计算基础自测1.在曲线y=x2+1的图像上取一点(1,2)及附近一点(1+Δx,2+Δy),则为()A.B.C.D.答案C2.已知f(x)=sinx(cosx+1),则等于()A.cos2x-cosxB.cos2x-sinxC.cos2x+cosxD.cos2x+cosx答案C3.若函数y=f(x)在R上可导且满足不等式x>-f(x)恒成立,且常数a,b满足a>b,则下列不等式一定成立的是()A.af(b)>bf(a)B.af(a)>bf(b)C.af(a)<bf(b)D.af(b)<bf(a)答案B4.(·辽宁理,6)设P为曲线C:y=x2+2x+3上的点,且曲线C在点P处切线倾斜角的取值范围是,则点P横坐标的取值范围为()A.B.[-1,0]C.[0,1]D.答案A5.(·全国Ⅱ理,14)设曲线y=eax在点(0,1)处的切线与直线x+2y+1=0垂直,则a=.答案2例1求函数y=在x0到x0+Δx之间的平均变化率.解 Δy=例2求下列各函数的导数:(1)(2)(3)(4)解(1) ∴(2)方法一y=(x2+3x+2)(x+3)=x3+6x2+11x+6,∴=3x2+12x+11.方法二=(x+3)+(x+1)(x+2)=+(x+1)](x+3)+(x+1)(x+2)=(x+2+x+1)(x+3)+(x+1)(x+2)=(2x+3)(x+3)+(x+1)(x+2)=3x2+12x+11.(3) y=∴(4),∴例3求下列函数的导数:(1)y=;(2)y=sin2(2x+);(3)y=x.解(1)设u=1-3x,y=u-4.则x=u·x=-4u-5·(-3)=.(2)设y=u2,u=sinv,v=2x+,则x=u·v·x=2u·cosv·2=4sin(2x+)·cos(2x+)=2sin(4x+).(3)=(x)′=·+x·()′=+.例4(12分)已知曲线y=(1)求曲线在x=2处的切线方程;(2)求曲线过点(2,4)的切线方程.解(1) =x2,∴在点P(2,4)处的切线的斜率k=|x=2=4.2分∴曲线在点P(2,4)处的切线方程为y-4=4(x-2),即4x-y-4=0.4分(2)设曲线y=与过点P(2,4)的切线相切于点,则切线的斜率k=|=.6分∴切线方程为即8分 点P(2,4)在切线上,∴4=即∴∴(x0+1)(x0-2)2=0,解得x0=-1或x0=2,故所求的切线方程为4x-y-4=0或x-y+2=0.12分1.求y=在x=x0处的导数.解2.求y=tanx的导数.解3.设函数f(x)=cos()(0<<).若f(x)+是奇函数,则=.答案4.若直线y=kx与曲线y=x3-3x2+2x相切,则k=.答案2或一、选择题1.若则等于()A.-1B.-2C.1D.答案A2.(·全国Ⅰ理,7)设曲线y=在点(3,2)处的切线与直线ax+y+1=0垂直,则a等于()A.2B.C.D.-2答案D3.若点P在曲线y=x3-3x2+(3-)x+上移动,经过点P的切线的倾斜角为,则角的取值范围是()A.B.C.D.答案B4.函数f(x)、g(x)在区间[a,b]上满足·g(x)>f(x)·且g(x)>0,则对任意x∈(a,b)都有()A.f(x)·g(x)>f(a)·g(b)B.f(x)·g(x)>f(b)·g(b)C.f(x)·g(a)>f(a)·g(x)D.f(x)·g(b)>f(b)·g(x)答案C5.在下列四个函数中,满足性质:“对于区间(1,2)上的任意x1,x2(x1≠x2),|f(x2)-f(x1)|<|x2-x1|”恒成立的只有()A.B.f(x)=|x|C.f(x)=2xD.f(x)=x2答案A6.已知曲线S:y=3x-x3及点P(2,2),则过点P可向S引切线,其切线条数为()A.0B.1C.2D.3答案D二、填空题7.曲线y=和y=x2在它们交点处的两条切线与x轴所围成的三角形面积是.答案8.若函数f(x)的导函数为=-x(x+1),则函数g(x)=f(logax)(0<a<1)的单调递减区间是.答案三、解答题9.求下列函数在x=x0处的导数.(1)f(x)=cosx·sin2x+cos3x,x0=;(2)f(x)=(3)解(1)∴.(2) ∴=0.(3) ∴10.求曲线y=ln(2x-1)上的点到直线2x-y+3=0的最短距离.解设曲线上过点P(x0,y0)的切线平行于直线2x-y+3=0,即斜率是2,则解得x0=1,所以y0=0,即点P(1,0),点P到直线2x-y+3=0的距离为,∴曲线y=ln(2x-1)上的点到直线2x-y+3=0的最短距离是.11.(·海南、宁夏,21)设函数(a,b∈Z),曲线在点处的切线方程为y=3.(1)求的解析式;(2)证明:曲线y=f(x)上任一点的切线与直线x=1和直线y=x所围三角形的面积为定值,并求出此定值.(1)解,于是解得或因为a,bZ,故.(2)证明在曲线上任取一点.由知,过此点的切线方程为.令x=1得,切线与直线x=1的交点为.令y=x得,切线与直线y=x的交点为.直线x=1与直线y=x的交点为(1,1).从而所围三角形的面积为.所以,所围三角形的面积为定值2.12.偶函数...

1、当您付费下载文档后,您只拥有了使用权限,并不意味着购买了版权,文档只能用于自身使用,不得用于其他商业用途(如 [转卖]进行直接盈利或[编辑后售卖]进行间接盈利)。
2、本站所有内容均由合作方或网友上传,本站不对文档的完整性、权威性及其观点立场正确性做任何保证或承诺!文档内容仅供研究参考,付费前请自行鉴别。
3、如文档内容存在违规,或者侵犯商业秘密、侵犯著作权等,请点击“违规举报”。

碎片内容

高三数学步步高(理)第三编 导数及其应用

您可能关注的文档

确认删除?
VIP
微信客服
  • 扫码咨询
会员Q群
  • 会员专属群点击这里加入QQ群
客服邮箱
回到顶部