电脑桌面
添加小米粒文库到电脑桌面
安装后可以在桌面快捷访问

江苏省昆山震川高级中学高三数学作业8 苏科版VIP免费

江苏省昆山震川高级中学高三数学作业8 苏科版_第1页
1/5
江苏省昆山震川高级中学高三数学作业8 苏科版_第2页
2/5
江苏省昆山震川高级中学高三数学作业8 苏科版_第3页
3/5
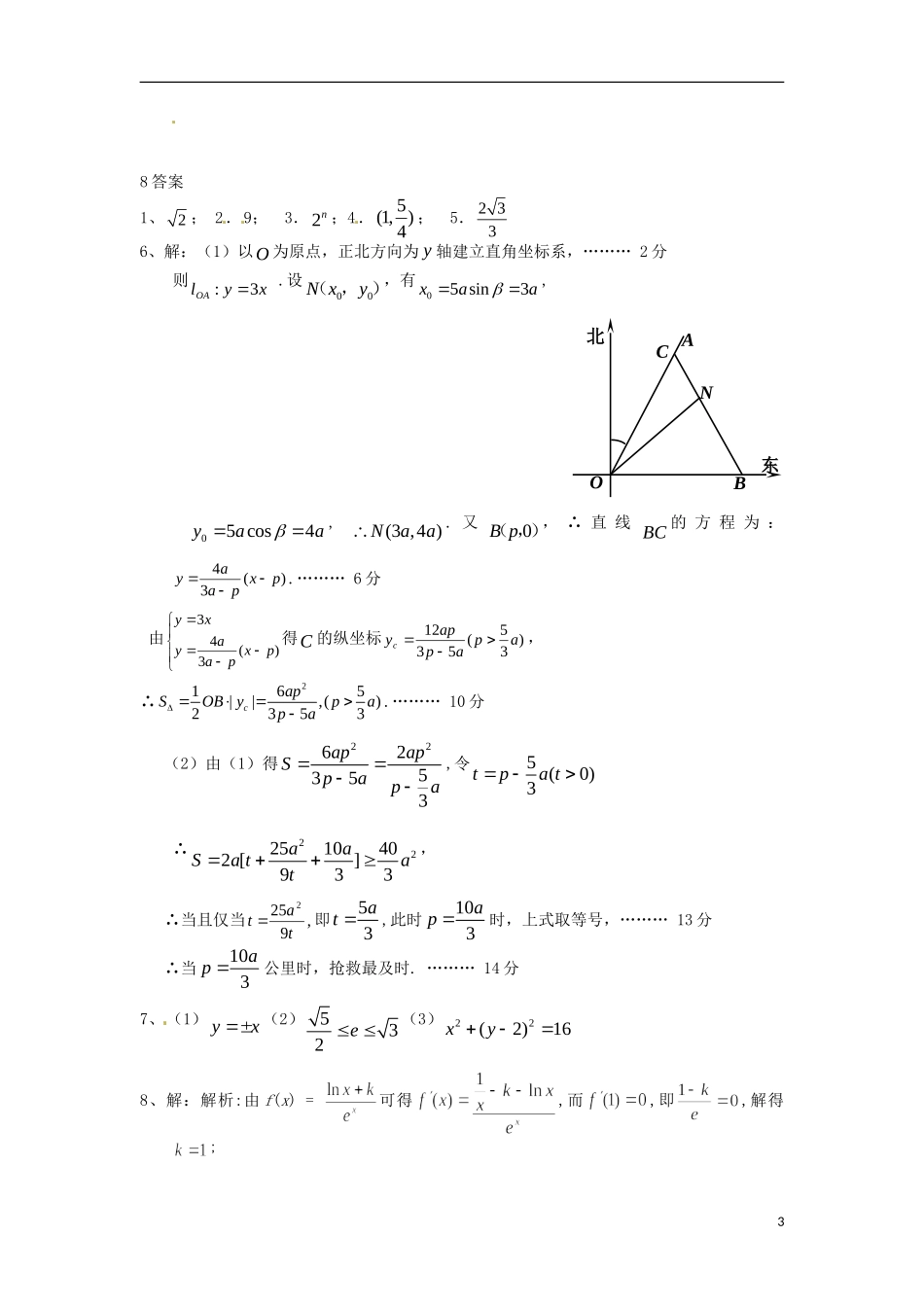
江苏省昆山震川高级中学高三数学作业8苏科版1.已知B为双曲线22221(0,0)xyabab的左准线与x轴的交点,点(0,)Ab,若满足2APAB�的点P在双曲线上,则该双曲线的离心率为.2.已知变量,aR,则22(2cos)(522sin)aa的最小值为.3.已知等比数列为递增数列,且251021,2()5nnnaaaaa,则数列的通项公式.4.将一个长宽分别是,(0)abba的铁皮的四角切去相同的正方形,然后折成一个无盖的长方体的盒子,若这个长方体的外接球的体积存在最小值,则ab的取值范围是.5.在平面直角坐标系xOy中,抛物线y2=2x的焦点为F.设M是抛物线上的动点,则MOMF的最大值为.17、已知双曲线22221(0,0)xyabab的左右焦点为1F、2F,P是右支上一点,212PFFF,1OHPF于H,111,[,]92OHOF(1)当13时,求双曲线的渐近线方程;(2)求双曲线的离心率的取值范围;(3)当离心率最大时,过1F、2F,P的圆截y轴线段长为8,求该圆的方程.28答案1、2;2.9;3.2n;4.)45,1(;5.2336、解:(1)以O为原点,正北方向为y轴建立直角坐标系,………2分则xylOA3:.设00Nxy(,),有05sin3xaa,05cos4yaa,(3,4)Naa.又0Bp(,),∴直线BC的方程为:)(34pxpaay.………6分由)(343pxpaayxy得C的纵坐标)35(5312apapapyc,∴2165||,()2353capSOBypapa.………10分(2)由(1)得22625353apapSpapa,令5(0)3tpat∴222510402[]933aaSatat,∴当且仅当,9252tat即53at,此时103ap时,上式取等号,………13分∴当103ap公里时,抢救最及时.………14分7、(1)yx(2)532e(3)22(2)16xy8、解:解析:由f(x)=可得,而,即,解得;3BNAOC东北(Ⅱ),令可得,当时,;当时,.于是在区间内为增函数;在内为减函数.(Ⅲ),(1)当时,,.(2)当时,要证.只需证即可设函数.则,则当时,令解得,当时;当时,则当时,且,则,于是可知当时成立综合(1)(2)可知对任意x>0,恒成立.另证1:设函数,则,则当时,于是当时,要证,只需证即可,4设,,令解得,当时;当时,则当时,于是可知当时成立综合(1)(2)可知对任意x>0,恒成立.另证2:根据重要不等式当时,即,于是不等式,设,,令解得,当时;当时,则当时,于是可知当时成立.5

1、当您付费下载文档后,您只拥有了使用权限,并不意味着购买了版权,文档只能用于自身使用,不得用于其他商业用途(如 [转卖]进行直接盈利或[编辑后售卖]进行间接盈利)。
2、本站所有内容均由合作方或网友上传,本站不对文档的完整性、权威性及其观点立场正确性做任何保证或承诺!文档内容仅供研究参考,付费前请自行鉴别。
3、如文档内容存在违规,或者侵犯商业秘密、侵犯著作权等,请点击“违规举报”。

碎片内容

江苏省昆山震川高级中学高三数学作业8 苏科版

远洋启航书店+ 关注
实名认证
内容提供者

从事历史教学,热爱教育,高度负责。

确认删除?
VIP
微信客服
  • 扫码咨询
会员Q群
  • 会员专属群点击这里加入QQ群
客服邮箱
回到顶部