电脑桌面
添加小米粒文库到电脑桌面
安装后可以在桌面快捷访问

十校联考答案(高三数学文)VIP免费

十校联考答案(高三数学文)_第1页
1/3
十校联考答案(高三数学文)_第2页
2/3
十校联考答案(高三数学文)_第3页
3/3
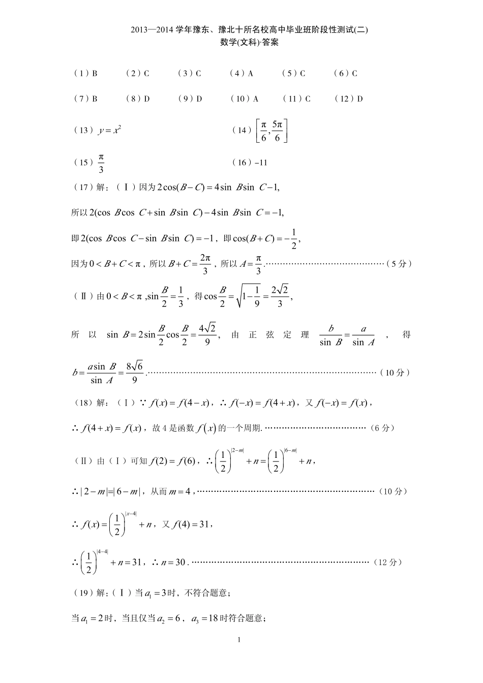
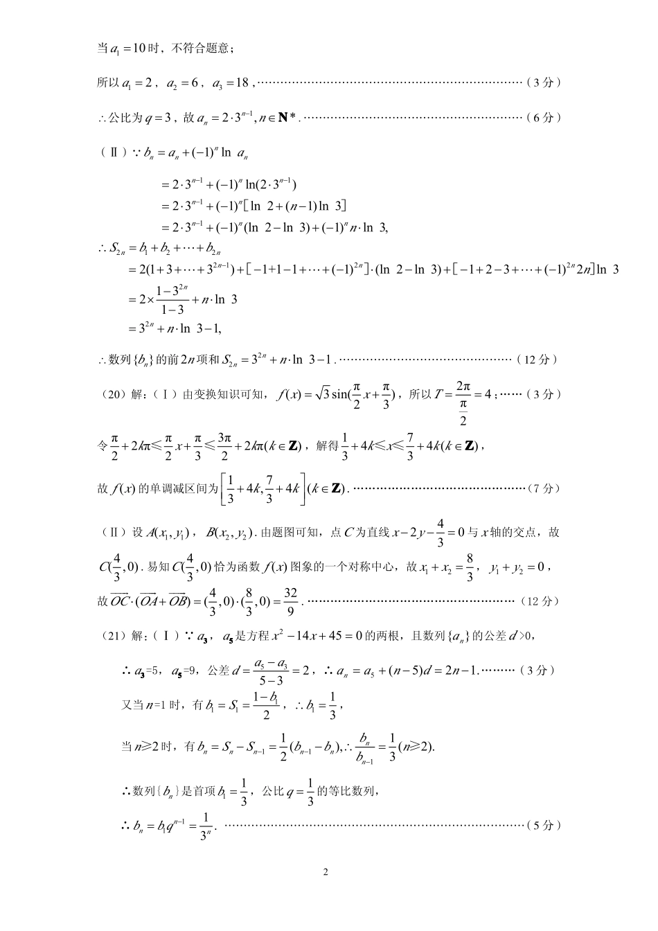
12013—2014学年豫东、豫北十所名校高中毕业班阶段性测试(二)数学(文科)·答案(1)B(2)C(3)C(4)A(5)C(6)C(7)B(8)D(9)D(10)A(11)C(12)D(13)2yx=(14)π5π,66⎡⎤⎢⎥⎣⎦(15)π3(16)-11(17)解:(Ⅰ)因为2cos()4sinsin1,BCBC−=−所以2(coscossinsin)4sinsin1,BCBCBC+−=−即2(coscossinsin)1BCBC−=−,即1cos(),2BC+=−因为0πBC<+<,所以2π3BC+=,所以π3A=.……………………………………(5分)(Ⅱ)由0πB<<1,sin23B=,得122cos1,293B=−=所以42sin2sincos,229BBB==由正弦定理sinsinbaBA=,得sin86sin9aBbA==.………………………………………………………………………(10分)(18)解:(Ⅰ)∵()(4)fxfx=−,∴()(4)fxfx−=+,又()()fxfx−=,∴(4)()fxfx+=,故4是函数()fx的一个周期.………………………………(6分)(Ⅱ)由(Ⅰ)可知(2)(6)ff=,∴|2||6|1122mmnn−−⎛⎞⎛⎞+=+⎜⎟⎜⎟⎝⎠⎝⎠,∴|2||6|mm−=−,从而4m=,………………………………………………………(10分)∴|4|1()2xfxn−⎛⎞=+⎜⎟⎝⎠,又(4)31f=,∴|44|1312n−⎛⎞+=⎜⎟⎝⎠,∴30n=.………………………………………………………(12分)(19)解:(Ⅰ)当13a=时,不符合题意;当12a=时,当且仅当26a=,318a=时符合题意;2当110a=时,不符合题意;所以12a=,26a=,318a=,……………………………………………………………(3分)∴公比为3q=,故123,*nnan−=⋅∈NNNN.…………………………………………………(6分)(Ⅱ)(1)lnnnnnbaa=+−∵1111212221223(1)ln(23)23(1)ln2(1)ln323(1)(ln2ln3)(1)ln3,2(133)1+11(1)nnnnnnnnnnnnnnSbbb−−−−−=⋅+−⋅=⋅+−+−=⋅+−−+−⋅∴=+++=++++−−++−⋯⋯⋯[][]222(ln2ln3)123(1)2ln3132ln3133ln31,nnnnnn⋅−+−+−++−−=×+⋅−=+⋅−⋯[]∴数列{}nb的前2n项和223ln31nnSn=+⋅−.………………………………………(12分)(20)解:(Ⅰ)由变换知识可知,ππ()3sin()23fxx=+,所以2π4π2T==;……(3分)令πππ3π2π2π()2232kxkk+++∈ZZZZ≤≤,解得1744()33kxkk++∈ZZZZ≤≤,故()fx的单调减区间为174,4()33kkk⎡⎤++∈⎢⎥⎣⎦ZZZZ.………………………………………(7分)(Ⅱ)设11(,)Axy,22(,)Bxy.由题图可知,点C为直线4203xy−−=与x轴的交点,故4(,0)3C.易知4(,0)3C恰为函数()fx图象的一个对称中心,故1283xx+=,120yy+=,故4832()(,0)(,0)339OCOAOB⋅+=⋅=������������.………………………………………………(12分)(21)解:(Ⅰ)∵3333a,5555a是方程045142=+−xx的两根,且数列}{na的公差d>0,∴3333a=5,5555a=9,公差53253aad−==−,∴.12)5(5−=−+=ndnaan………(3分)又当n=1时,有11112bbS−==,113b∴=,当2n≥时,有11111(),(2).23nnnnnnnbbSSbbnb−−−=−=−∴=≥∴数列{nb}是首项113b=,公比13q=的等比数列,∴111.3nnnbbq−==……………………………………………………………………(5分)3(Ⅱ)由(Ⅰ)知213nnnnncab−==,则12313521,3333nnnT−=++++⋯①13nT∴=23411352321,33333nnnn+−−+++++⋯②…………………(8分)①-②得:2312312122221111121233333333333nnnnnnnT++−−⎛⎞=++++−=++++−⎜⎟⎝⎠⋯⋯1211111331212222.1333313nnnnn−++⎡⎤⎛⎞−⎢⎥⎜⎟⎝⎠−+⎢⎥⎣⎦=+×−=−−11.3nnnT+∴=−……………(12分)(22)解:(Ⅰ)令()0gx=可得e1xax=−−,函数()gx的零点个数就是函数()fx图象与直线ya=的交点个数.因为()e1xfx′=−,令()e10xfx′=−=,可得0x=,因为当0x>时,()0fx′>,当0x<时,()0fx′<,所以()1,0x∈−时,()fx为减函数,40,ln3x⎛⎞∈⎜⎟⎝⎠时,()fx为增函数,又因为()00f=,()111e11ef−−=−+=,44414ln1lnln33333f⎛⎞=−−=−⎜⎟⎝⎠,且()41141lnln03e33ff⎛⎞−−=−+>⎜⎟⎝⎠,所以()41ln3ff⎛⎞−>⎜⎟⎝⎠,故要使函数()gx有唯一零点,只有0a=或141ln,33ea⎛⎤∈−⎜⎥⎝⎦,故{}141ln,0.33ea⎛⎤∈−⎜⎥⎝⎦∪……………………………………………………………………(6分)(Ⅱ)由已知可得当0e10xxtx−−≥时,≥恒成立,()e1xhxtx=−−令,则()e.xhxt′=−若1t≤,则()0hx′>,函数()hx在()0,+∞上是增函数,又()00h=,所以满足()(1)fxtx−≥恒成立,……………………………………………………………………(9分)若1t>,当()0,lnxt∈时,()0hx′<,当()ln,xt∈+∞时,()0hx′>,故函数()hx在()0,lnt上是减函数,在()ln,t+∞上是增函数,又()()ln1ln00htttth=−−<=,所以不满足()(1)fxtx−≥恒成立,故1t>不符合题意.综上可知(],1t∈−∞.………………………………………………………………………(12分)

1、当您付费下载文档后,您只拥有了使用权限,并不意味着购买了版权,文档只能用于自身使用,不得用于其他商业用途(如 [转卖]进行直接盈利或[编辑后售卖]进行间接盈利)。
2、本站所有内容均由合作方或网友上传,本站不对文档的完整性、权威性及其观点立场正确性做任何保证或承诺!文档内容仅供研究参考,付费前请自行鉴别。
3、如文档内容存在违规,或者侵犯商业秘密、侵犯著作权等,请点击“违规举报”。

碎片内容

十校联考答案(高三数学文)

确认删除?
VIP
微信客服
  • 扫码咨询
会员Q群
  • 会员专属群点击这里加入QQ群
客服邮箱
回到顶部