电脑桌面
添加小米粒文库到电脑桌面
安装后可以在桌面快捷访问

高中数学 精讲优练课型 第三章 三角恒等变换 3.2 简单的三角恒等变换(一)课时提升作业 新人教版必修4-新人教版高一必修4数学试题VIP免费

高中数学 精讲优练课型 第三章 三角恒等变换 3.2 简单的三角恒等变换(一)课时提升作业 新人教版必修4-新人教版高一必修4数学试题_第1页
1/8
高中数学 精讲优练课型 第三章 三角恒等变换 3.2 简单的三角恒等变换(一)课时提升作业 新人教版必修4-新人教版高一必修4数学试题_第2页
2/8
高中数学 精讲优练课型 第三章 三角恒等变换 3.2 简单的三角恒等变换(一)课时提升作业 新人教版必修4-新人教版高一必修4数学试题_第3页
3/8
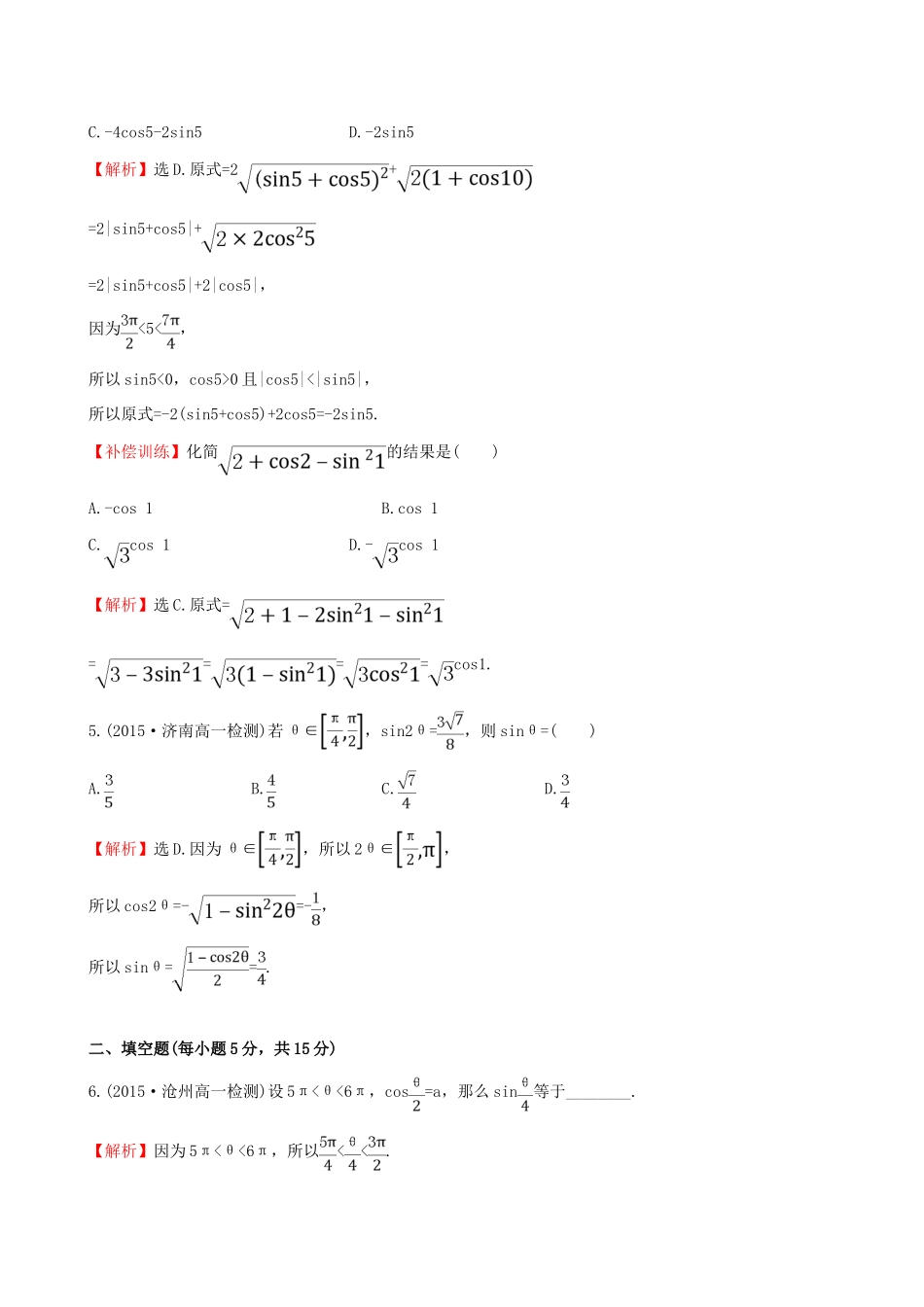
课时提升作业(二十九)简单的三角恒等变换(一)(25分钟60分)一、选择题(每小题5分,共25分)1.(2015·湖州高一检测)已知cosθ=-,<θ<3π,那么sin等于()A.B.-C.D.-【解析】选D.因为<θ<3π,所以<<,所以sin<0,sin=-=-=-.2.已知tan=3,则cosα=()A.B.-C.D.-【解析】选B.cosα=cos2-sin2====-.3.=()A.B.C.2D.【解题指南】70°与20°可以用诱导公式联系起来,10°与20°可以用二倍角公式联系起来.【解析】选C.因为===2.4.(2015·宁波高一检测)化简2+的结果是()A.2sin5B.4cos5+2sin5C.-4cos5-2sin5D.-2sin5【解析】选D.原式=2+=2|sin5+cos5|+=2|sin5+cos5|+2|cos5|,因为<5<,所以sin5<0,cos5>0且|cos5|<|sin5|,所以原式=-2(sin5+cos5)+2cos5=-2sin5.【补偿训练】化简的结果是()A.-cos1B.cos1C.cos1D.-cos1【解析】选C.原式=====cos1.5.(2015·济南高一检测)若θ∈,sin2θ=,则sinθ=()A.B.C.D.【解析】选D.因为θ∈,所以2θ∈,所以cos2θ=-=-,所以sinθ==.二、填空题(每小题5分,共15分)6.(2015·沧州高一检测)设5π<θ<6π,cos=a,那么sin等于________.【解析】因为5π<θ<6π,所以<<.所以sin<0.所以sin=-=-=-.答案:-7.若sin-2cos=0,则tanθ=________.【解析】由sin-2cos=0,得tan=2,则tanθ==-.答案:-8.已知sin2α=,则cos2=________.【解题指南】利用“降幂公式”将cos2化简,建立与sin2α的关系,可得结果.【解析】因为cos2===,所以cos2===.答案:三、解答题(每小题10分,共20分)9.化简下列各式.(1)-.(2)-2cos(α+β).【解析】(1)原式=-,因为<θ<2π,所以<<π,所以00.所以原式=--=-2sin.(2)因为2α+β=α+(α+β),所以原式====.10.求证tan-tan=.【解题指南】可以从左向右证明,从函数名称入手考虑,将函数名称统一为弦;也可以从右向左证明,从角入手考虑,注意到x=-,2x=+,从消除等式两边角的差异入手考虑.【证明】tan-tan=-=====,所以原式成立.【一题多解】本题还可以采用以下方法.===-=tan-tan.所以原式成立.(20分钟40分)一、选择题(每小题5分,共10分)1.(2015·秦皇岛高一检测)若f(x)=2tanx-,则f的值为()A.-B.8C.4D.-4【解析】选B.因为f(x)=2tanx+=2tanx+==,所以f==8.2.已知θ为第二象限角,25sin2θ+sinθ-24=0,则sin的值是()A.-B.±C.D.±【解析】选D.由25sin2θ+sinθ-24=0得(sinθ+1)(25sinθ-24)=0,解得sinθ=-1或sinθ=,又因为θ为第二象限角,所以sinθ=,所以cosθ=-=-=-,因为θ为第二象限角,所以为第一或第三象限角.所以sin=±=±=±.二、填空题(每小题5分,共10分)3.化简(3π<α<4π)=__________.【解题指南】利用二倍角公式化简时,由于1+cosα=2cos2,1-cosα=2sin2,则=,=,再根据所在象限确定sin,cos的符号,从而去掉绝对值符号.【解析】因为3π<α<4π,所以<<2π,<<π,<<,则cos>0,cos<0,cos>0.所以原式======2cos.答案:2cos【误区警示】运用倍角公式从里到外去掉根号时,容易出现没有顾及角的范围而选择正、负号,只是机械地套用公式的错误.4.已知tan2θ=,则=______.【解析】因为tan2θ==,所以tanθ=-3或tanθ=.又<θ<π,所以tanθ=-3.所以====-.答案:-三、解答题(每小题10分,共20分)5.求证:=.【证明】左边=======右边,所以原等式成立.【拓展延伸】三角恒等变换的两个原则(1)化繁为简:变复角为单角,变不同角为同角,化非同名函数为同名函数,化高次为低次,化多项式为单项式,化无理式为有理式.(2)清除差异:消除已知与未知、条件与结论、左端与右端以及各项的次数、角、函数名称、结构等方面的差异.注意:要正确把握公式的结构,明确变形方向,才能准确地应用公式,达到求解目的.6.已知函数f(θ)=-+(0<θ<π).(1)将f(θ)表示成关于cosθ的多项式.(2)若a∈R,试求使曲线y=acosθ+a与曲线y=f(θ)至少有一个交点时a的取值范围.【解析】(1)f(θ)=-+=-+=-+=-+=2cos2θ+cosθ-1.(2)由2cos2θ+cosθ-1=acosθ+a,得(cosθ+1)(2cosθ-1)=a(cosθ+1).因为0<θ<π,所以cosθ+1≠0,所以cosθ=,所以-1<<1,即-3

1、当您付费下载文档后,您只拥有了使用权限,并不意味着购买了版权,文档只能用于自身使用,不得用于其他商业用途(如 [转卖]进行直接盈利或[编辑后售卖]进行间接盈利)。
2、本站所有内容均由合作方或网友上传,本站不对文档的完整性、权威性及其观点立场正确性做任何保证或承诺!文档内容仅供研究参考,付费前请自行鉴别。
3、如文档内容存在违规,或者侵犯商业秘密、侵犯著作权等,请点击“违规举报”。

碎片内容

高中数学 精讲优练课型 第三章 三角恒等变换 3.2 简单的三角恒等变换(一)课时提升作业 新人教版必修4-新人教版高一必修4数学试题

远洋启航书店+ 关注
实名认证
内容提供者

从事历史教学,热爱教育,高度负责。

确认删除?
微信客服
  • 扫码咨询
会员Q群
  • 会员专属群点击这里加入QQ群