电脑桌面
添加小米粒文库到电脑桌面
安装后可以在桌面快捷访问

高考数学二轮复习 第一篇 微型专题 微专题19 直线与椭圆的综合练习 理-人教版高三全册数学试题VIP专享VIP免费

高考数学二轮复习 第一篇 微型专题 微专题19 直线与椭圆的综合练习 理-人教版高三全册数学试题_第1页
1/21
高考数学二轮复习 第一篇 微型专题 微专题19 直线与椭圆的综合练习 理-人教版高三全册数学试题_第2页
2/21
高考数学二轮复习 第一篇 微型专题 微专题19 直线与椭圆的综合练习 理-人教版高三全册数学试题_第3页
3/21
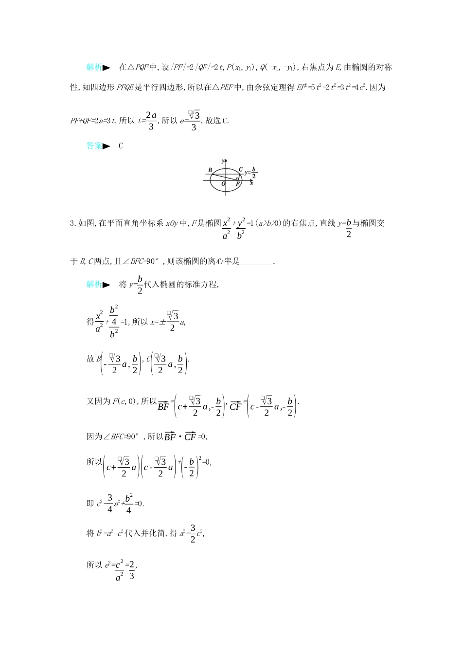
19直线与椭圆的综合1.直线x+4y+m=0交椭圆x216+y2=1于A,B两点,若线段AB中点的横坐标为1,则m=().A.-2B.-1C.1D.2解析▶因为x+4y+m=0,所以y=-14x-m4.设A(x1,y1),B(x2,y2),则{x1216+y12=1,x2216+y22=1,两式相减,得y1-y2x1-x2=-x1+x216(y1+y2)=-14.因为AB中点的横坐标为1,所以纵坐标为14,将(1,14)代入直线y=-14x-m4,解得m=-2,故选A.答案▶A2.已知F是椭圆x2a2+y2b2=1(a>b>0)的左焦点,经过原点的直线l与椭圆E交于P,Q两点,若|PF|=2|QF|,且∠PFQ=120°,则椭圆的离心率为().A.13B.12C.❑√33D.❑√22解析▶在△PQF中,设|PF|=2|QF|=2t,P(x1,y1),Q(-x1,-y1),右焦点为E,由椭圆的对称性,知四边形PFQE是平行四边形,所以在△PEF中,由余弦定理得EF2=5t2-2t2=3t2=4c2.因为PF+QF=2a=3t,所以t=2a3,所以e=❑√33,故选C.答案▶C3.如图,在平面直角坐标系xOy中,F是椭圆x2a2+y2b2=1(a>b>0)的右焦点,直线y=b2与椭圆交于B,C两点,且∠BFC=90°,则该椭圆的离心率是.解析▶将y=b2代入椭圆的标准方程,得x2a2+b24b2=1,所以x=±❑√32a,故B(-❑√32a,b2),C(❑√32a,b2).又因为F(c,0),所以⃗BF=(c+❑√32a,-b2),⃗CF=(c-❑√32a,-b2).因为∠BFC=90°,所以⃗BF·⃗CF=0,所以(c+❑√32a)(c-❑√32a)+(-b2)2=0,即c2-34a2+b24=0.将b2=a2-c2代入并化简,得a2=32c2,所以e2=c2a2=23,所以e=❑√63(负值舍去).答案▶❑√634.直线x4+y3=1与椭圆x216+y29=1相交于A,B两点,该椭圆上有点P,使得△PAB的面积等于3,则这样的点P共有个.解析▶设P1(4cosα,3sinα)(0<α<π2),即点P1在第一象限.设四边形P1AOB的面积为S,则S=S△OAP1+S△OBP1=12×4×3sinα+12×3×4cosα=6(sinα+cosα)=6❑√2sin(α+π4),∴Smax=6❑√2. S△OAB=12×4×3=6,∴S△P1AB的最大值为6❑√2-6. 6❑√2-6<3,∴点P不可能在直线AB的右上方,∴在AB的左下方有2个这样的点P.答案▶2能力1▶会用点差法解直线与椭圆中的与弦中点有关的问题【例1】已知椭圆C:x24+y2b2=1(0b>0)的一条弦所在的直线方程是x-y+5=0,弦的中点坐标是M(-4,1),则椭圆的离心率是().A.12B.❑√22C.❑√32D.❑√55解析▶设直线与椭圆的交点分别为A(x1,y1),B(x2,y2),分别代入椭圆方程,由点差法可知yM=-b2a2xM,代入点M(-4,1),解得b2a2=14,∴e=❑√1-b2a2=❑√32,故选C.答案▶C能力2▶会用“设而不解”的思想解直线与椭圆中的弦长、面积问题【例2】在平面直角坐标系xOy中,动点M(x,y)总满足关系式2❑√(x-1)2+y2=|x-4|.(1)点M的轨迹是什么曲线?并写出它的标准方程.(2)坐标原点O到直线l:y=kx+m的距离为1,直线l与M的轨迹交于不同的两点A,B,若⃗OA·⃗OB=-32,求△AOB的面积.解析▶(1)由2❑√(x-1)2+y2=|x-4|,得x24+y23=1,所以点M的轨迹是焦点在x轴上的椭圆,它的标准方程为x24+y23=1.(2)由点O到直线l:y=kx+m的距离为1,得d=|m|❑√1+k2=1,即1+k2=m2.设A(x1,y1),B(x2,y2),联立{x24+y23=1,y=kx+m,消去y,得(3+4k2)x2+8kmx+4m2-12=0,Δ=(8km)2-4(3+4k2)(4m2-12)=48(3+4k2-m2)>0,得m2<4k2+3,所以x1+x2=-8km3+4k2,x1x2=4m2-123+4k2,所以⃗OA·⃗OB=x1x2+y1y2=x1x2+(kx1+m)(kx2+m)=(1+k2)x1x2+km(x1+x2)+m2=(1+k2)·4m2-123+4k2+km(-8km3+4k2)+m2=7m2-12k2-123+4k2=-5k2-53+4k2.因为⃗OA·⃗OB=-32,所以-5k2-53+4k2=-32,解得k2=12,m2=1+k2=32,所以|AB|=❑√1+k2·❑√48(3k2+2)3+4k2=6❑√75,所以S△AOB=12...

1、当您付费下载文档后,您只拥有了使用权限,并不意味着购买了版权,文档只能用于自身使用,不得用于其他商业用途(如 [转卖]进行直接盈利或[编辑后售卖]进行间接盈利)。
2、本站所有内容均由合作方或网友上传,本站不对文档的完整性、权威性及其观点立场正确性做任何保证或承诺!文档内容仅供研究参考,付费前请自行鉴别。
3、如文档内容存在违规,或者侵犯商业秘密、侵犯著作权等,请点击“违规举报”。

碎片内容

高考数学二轮复习 第一篇 微型专题 微专题19 直线与椭圆的综合练习 理-人教版高三全册数学试题

确认删除?
VIP
微信客服
  • 扫码咨询
会员Q群
  • 会员专属群点击这里加入QQ群
客服邮箱
回到顶部