电脑桌面
添加小米粒文库到电脑桌面
安装后可以在桌面快捷访问

高二数学理导数的定义、求导的公式、切线人教实验A版知识精讲VIP免费

高二数学理导数的定义、求导的公式、切线人教实验A版知识精讲_第1页
1/11
高二数学理导数的定义、求导的公式、切线人教实验A版知识精讲_第2页
2/11
高二数学理导数的定义、求导的公式、切线人教实验A版知识精讲_第3页
3/11
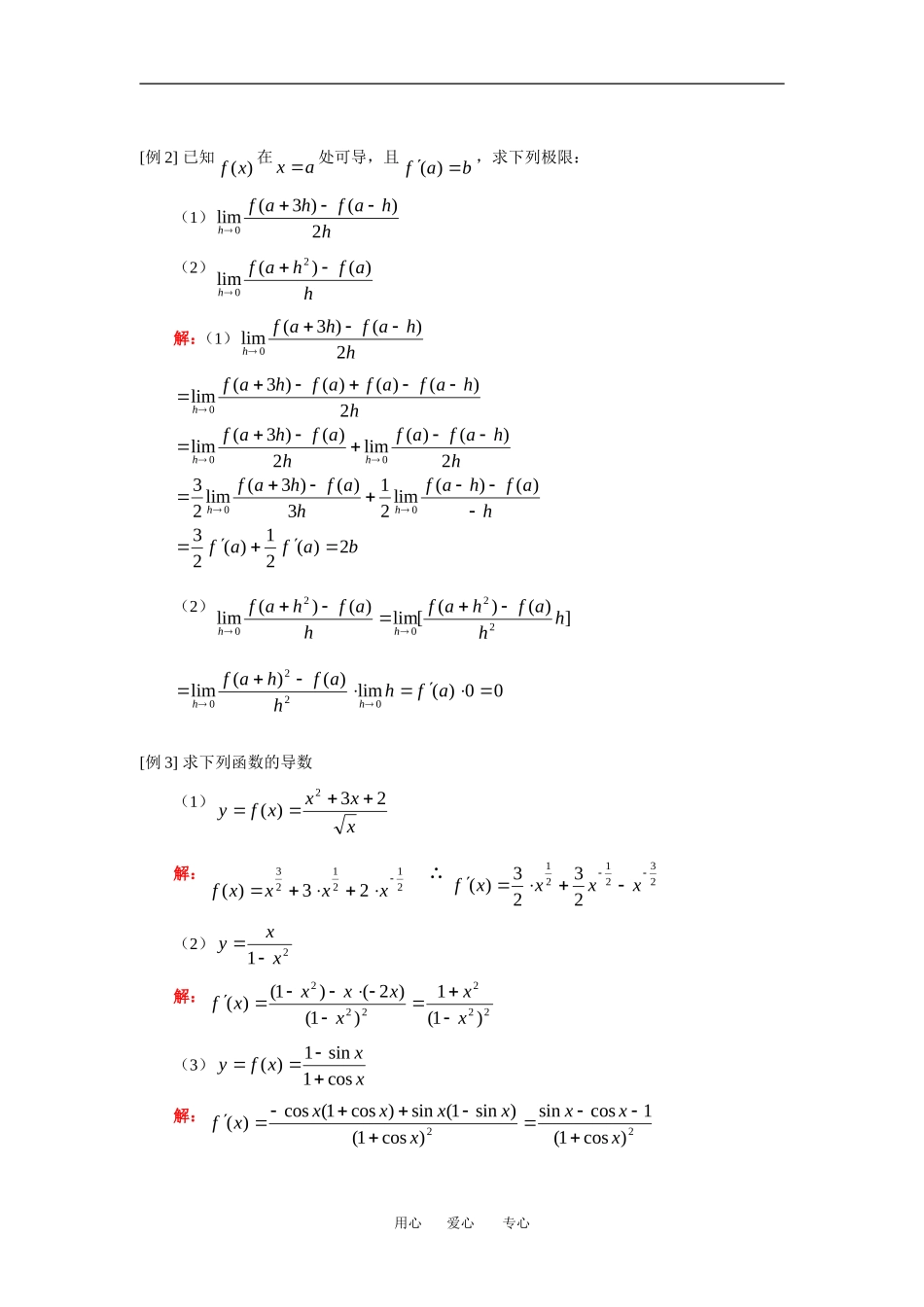
高二数学理导数的定义、求导的公式、切线人教实验A版【本讲教育信息】一.教学内容:导数的定义、求导的公式、切线二.重点、难点:1.定义:xxfxxfxyxfxx)()(limlim)(000002.初导函数的导数公式(1)cxf)(∴0)(xf(2)nxxf)(∴1)(nxnxf(3)xxfsin)(∴xxfcos)((4)xxfcos)(∴xxfsin)((5)xaxf)(∴aaxfxln)((0a且1a)(6)xxfalog)(∴xexfa1log)(3.导数运算(1))()(])()([xgxfxgxf(2))()()()(])()([xgxfxgxfxgxf(3)xgxgxfxgxfxgxf2)()()()(])()([(4)xuxuyy4.)(xfy在0xx处的切线方程))(()(000xxxfxfy【典型例题】[例1]利用导数的定义求函数2xy的导数,并求该函数在3x处的导数值。解: )()(xfxxfy222)(2)(xxxxxx∴xxxy2因此)(xfxxyx2lim0,从而632)3(f用心爱心专心[例2]已知)(xf在ax处可导,且baf)(,求下列极限:(1)hhafhafh2)()3(lim0(2)hafhafh)()(lim20解:(1)hhafhafh2)()3(lim0bafafhafhafhafhafhhafafhafhafhhafafafhafhhhhh2)(21)(23)()(lim213)()3(lim232)()(lim2)()3(lim2)()()()3(lim00000(2)])()([lim)()(lim22020hhafhafhafhafhh00)(lim)()(lim0220afhhafhafhh[例3]求下列函数的导数(1)xxxxfy23)(2解:21212323)(xxxxf∴2321212323)(xxxxf(2)21xxy解:222222)1(1)1()2()1()(xxxxxxxf(3)xxxfycos1sin1)(解:22)cos1(1cossin)cos1()sin1(sin)cos1(cos)(xxxxxxxxxf用心爱心专心(4)xxxfy33sinsin)(解:xxxxxfcossin33cos)(223(5))sin3ln(2xxxy解:xxxxxxxxxxysin3cos16)cos16(sin3122(6)xxxfsin10)(解:xxxfxxcos10ln1010)(sinsin(7)xxy解:xxxyxlnlnln同时求导:1ln1xyy∴)1(lnxxyx[例4]求曲线2xy在点P(2,4)处的切线方程。解:P(2,4)在2xy上,2,2xxy时,4)(kxf)2(44xy∴044yx[例5]曲线26322xxy在点A处切线的斜率为15,求切线方程。解:设切点A(00,yx)34xy∴15340x30x∴10y∴)3(151:xyl切∴04415yx[例6]过点P(2,0)且与曲线xy1相切的直线方程。解:P不在曲线上,设切点A(00,yx))(1:0200xxxyyl切∴11)2(10100020000yxxxyxy用心爱心专心∴)1(1:xyl切∴02yx[例7]求过P(2,-2)与曲线33xxy相切的切线方程。解:设切点A(ba,)233xy))(33(:2axabyl切∴)2)(33(2323aabaab∴233aa+4=0∴21ba2:yl切或22ba0169:yxl切[例8]求曲线C1:2xy,曲线22)2(:xyC的公切线(均相切的直线)解:公切线l与C1、C2切于A(2,aa)B(2)2(,bb)∴)(2:21axaayl))(2(2)2(:22bxbbyl∴)4()2(2:2:2221bxbylaaxyl21,ll为同一条直线024)2(2222bababa或20ba∴两公切线:0,44yxy[例9]函数)1)(()21)(2)(1()(nxnxxxxxxf,求)(xfy在0x处的切线。解:0,0yx)]1()()21)(2)(1[()(nxfnxfxxxxxf])1()()21)(2)(1[()]1()()21)(2)(1[()(nxnxxxxxnxnxxxxxf1)(,0xfx∴xyl:切[例10]关于x的多项式函数)(xfy,Rx,有32)()()()(xxfxfxfxf12x。用心爱心专心解:设)(xfy的最高次数为n∴)(xf的最高次数为1n左式最高12n次,右次最高n或3次(1)1,12nnn(舍)(2)2,312nn∴cbxaxxf2)(∴baxxf2)(...

1、当您付费下载文档后,您只拥有了使用权限,并不意味着购买了版权,文档只能用于自身使用,不得用于其他商业用途(如 [转卖]进行直接盈利或[编辑后售卖]进行间接盈利)。
2、本站所有内容均由合作方或网友上传,本站不对文档的完整性、权威性及其观点立场正确性做任何保证或承诺!文档内容仅供研究参考,付费前请自行鉴别。
3、如文档内容存在违规,或者侵犯商业秘密、侵犯著作权等,请点击“违规举报”。

碎片内容

高二数学理导数的定义、求导的公式、切线人教实验A版知识精讲

;绿洲书城+ 关注
实名认证
内容提供者

从事历史教学,热爱教育,高度负责。

相关文档

确认删除?
VIP
微信客服
  • 扫码咨询
会员Q群
  • 会员专属群点击这里加入QQ群
客服邮箱
回到顶部