电脑桌面
添加小米粒文库到电脑桌面
安装后可以在桌面快捷访问

江苏省高三数学复习每天30分钟限时训练46 苏教版VIP免费

江苏省高三数学复习每天30分钟限时训练46 苏教版_第1页
1/5
江苏省高三数学复习每天30分钟限时训练46 苏教版_第2页
2/5
江苏省高三数学复习每天30分钟限时训练46 苏教版_第3页
3/5
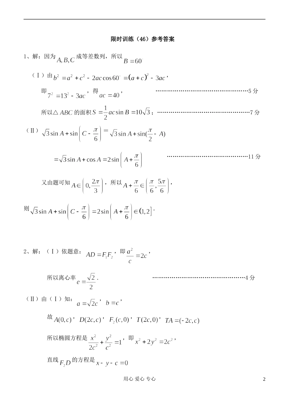
高三数学复习限时训练(46)1、中,三内角成等差数列。(1)若,,求此三角形的面积;(2)求的取值范围。2、如图,已知椭圆的左、右焦点分别为,其右准线与轴的交点为,过椭圆的上顶点作椭圆的右准线的垂线,垂足为,四边形为平行四边形。(1)求椭圆的离心率;(2)设线段与椭圆交于点,是否存在实数,使?若存在,求出实数的值;若不存在,请说明理由;(3)若是直线上一动点,且外接圆面积的最小值是,求椭圆方程。用心爱心专心1TMDA2F1FOyxl限时训练(46)参考答案1、解:因为成等差数列,所以(Ⅰ)由,即,得,…………………………………………5分所以△的面积;…………………………………………7分(Ⅱ)=……………………………………11分又由题可知,所以,则.2、解:(Ⅰ)依题意:,即,所以离心率.…………………………………………4分(Ⅱ)由(Ⅰ)知:,,故,,,,所以椭圆方程是,即,直线的方程是用心爱心专心2由解得:(舍去)或即,…………………………………………7分,所以,即存在使成立。…………………………………………10分(Ⅲ)解法一:由题可知圆心在直线上,设圆心的坐标为,因圆过准线上一点B,则圆与准线有公共点,设圆心到准线的距离为,则,即,解得:或,…………………………………………14分又由题可知,,则,故椭圆的方程为.…………………………………………16分(若直接用圆与准线相切时面积最小来做,在答案正确的情况下本小题得3分,否则不得分)解法二:设,,,圆外接圆的方程是:,则,解得所以圆心即……………………………………12分用心爱心专心3则令,…………………………………14分由题可知,,则,故椭圆的方程为.…………………………………16分解法三:设,,,外接圆的方程是:,则,由得用心爱心专心4所以,或所以所以所求椭圆方程是.…………………………………16分用心爱心专心5

1、当您付费下载文档后,您只拥有了使用权限,并不意味着购买了版权,文档只能用于自身使用,不得用于其他商业用途(如 [转卖]进行直接盈利或[编辑后售卖]进行间接盈利)。
2、本站所有内容均由合作方或网友上传,本站不对文档的完整性、权威性及其观点立场正确性做任何保证或承诺!文档内容仅供研究参考,付费前请自行鉴别。
3、如文档内容存在违规,或者侵犯商业秘密、侵犯著作权等,请点击“违规举报”。

碎片内容

江苏省高三数学复习每天30分钟限时训练46 苏教版

海博书城+ 关注
实名认证
内容提供者

从事历史教学,热爱教育,高度负责。

相关文档

确认删除?
VIP
微信客服
  • 扫码咨询
会员Q群
  • 会员专属群点击这里加入QQ群
客服邮箱
回到顶部