电脑桌面
添加小米粒文库到电脑桌面
安装后可以在桌面快捷访问

江苏省高三数学复习每天30分钟限时训练33 苏教版VIP免费

江苏省高三数学复习每天30分钟限时训练33 苏教版_第1页
1/2
江苏省高三数学复习每天30分钟限时训练33 苏教版_第2页
2/2
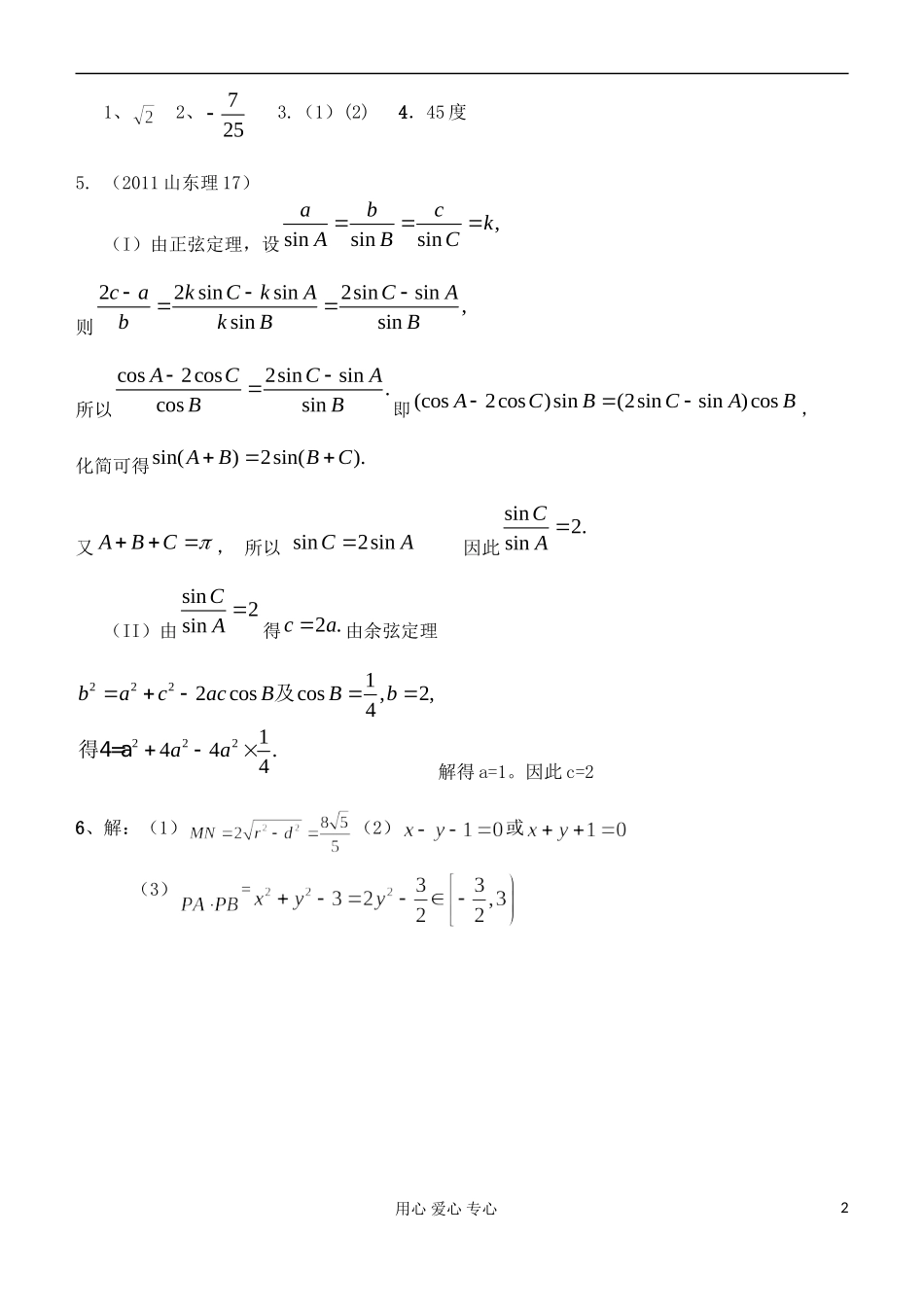
高三数学复习限时训练(33)1、的内角的对边分别为,若,则.2、若3sin()25,则cos2_________3、设l,m是两条不同的直线,是一个平面,有下列四个命题则其中命题正确的是_______(1)若l⊥,m,则lm;(2)若l,lm//,则m;(3)若l//,m,则lm//;(4)若l//,m//,则lm//4、如图,两座相距60m的建筑物AB、CD的高度分别为20m、50m,BD为水平面,则从建筑物AB的顶端A看建筑物CD的张角∠CAD的大小是.5、在ABC中,内角A,B,C的对边分别为a,b,c.已知cosA-2cosC2c-a=cosBb.(I)求sinsinCA的值;(II)若cosB=14,b=2,ABC的面积S.6、如图所示,已知圆交x轴分别于A,B两点,交y轴的负半轴于点M,过点M作圆E的弦MN.(1)若弦MN所在直线的斜率为2,求弦MN的长;(2)若弦MN的中点恰好落在x轴上,求弦MN所在直线的方程;(3)设弦MN上一点P(不含端点)满足成等比数列(其中O为坐标原点),试探求的取值范围.限时训练(33)参考答案用心爱心专心1ABMxyOE.1、2、7253.(1)(2)4.45度5.(2011山东理17)(I)由正弦定理,设,sinsinsinabckABC则22sinsin2sinsin,sinsincakCkACAbkBB所以cos2cos2sinsin.cossinACCABB即(cos2cos)sin(2sinsin)cosACBCAB,化简可得sin()2sin().ABBC又ABC,所以sin2sinCA因此sin2.sinCA(II)由sin2sinCA得2.ca由余弦定理22222212coscos,2,4144.4bacacBBbaa及得4=a解得a=1。因此c=26、解:(1)(2)或(3)=用心爱心专心2

1、当您付费下载文档后,您只拥有了使用权限,并不意味着购买了版权,文档只能用于自身使用,不得用于其他商业用途(如 [转卖]进行直接盈利或[编辑后售卖]进行间接盈利)。
2、本站所有内容均由合作方或网友上传,本站不对文档的完整性、权威性及其观点立场正确性做任何保证或承诺!文档内容仅供研究参考,付费前请自行鉴别。
3、如文档内容存在违规,或者侵犯商业秘密、侵犯著作权等,请点击“违规举报”。

碎片内容

江苏省高三数学复习每天30分钟限时训练33 苏教版

海博书城+ 关注
实名认证
内容提供者

从事历史教学,热爱教育,高度负责。

相关文档

确认删除?
VIP
微信客服
  • 扫码咨询
会员Q群
  • 会员专属群点击这里加入QQ群
客服邮箱
回到顶部