电脑桌面
添加小米粒文库到电脑桌面
安装后可以在桌面快捷访问

高二数学 数列综合应用练习试卷VIP免费

高二数学 数列综合应用练习试卷_第1页
1/3
高二数学 数列综合应用练习试卷_第2页
2/3
高二数学 数列综合应用练习试卷_第3页
3/3
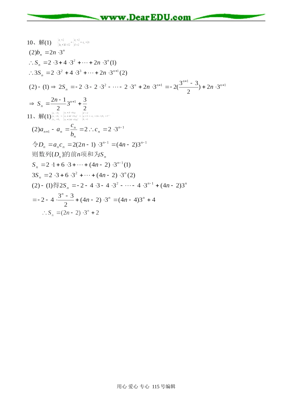
高二数学数列综合应用练习班级_________姓名_______________座号_________一、选择题:1、在3和9之间插入两个正数,使前三个数成等比数列,后三个数成等差数列,则这两个数的和是()A、B、C、D、2、已知成等差数列,成等比数列,则等于()A、B、C、D、或3、删除正整数数列1,2,3,……中的所有完全平方数,得到一个新数列。这个新数列的第2005项是()A、2048B、2049C、2050D、20514、若lga,lgb,lgc成等差数列,则()A、b=B、b=(lga+lgc)C、a,b,c成等比数列D、a,b,c成等差数列二、填空题:5、定义一种新的运算“”对任意正整数n满足下列两个条件:(1)则____________6、设数列为等差数列,公差,是等比数列,公比,若,则等比数列的公比是_______________7、已知数列,,,,,…,这个数列的特点是从第二项起,每一项都等于它的前后两项之和,则这个数列的前项之和等于________8、数列的前14项是4,6,9,10,14,15,21,22,25,26,33,34,35,38,….按此规律,则用心爱心专心115号编辑______.9、设{an}是各项均为正数的等比数列,前4项之和等于其前2项和的10倍,则该数列的公比______.三、解答题:10、已知是等差数列,且(1)求数列的通项公式(2)令,求的前项的和11、已知等差数列的首项,且公差,它的第2项、第5项、第14项分别是等比数列的第2、3、4项。(1)求数列与的通项公式;(2)设数列对任意正整数n均有成立,求的值.参考答案一、选择题:CDCC二、填空题:5、4011;6、;7、0;8、46;9、3三、解答题:用心爱心专心115号编辑10、解(1)11、解(1)用心爱心专心115号编辑

1、当您付费下载文档后,您只拥有了使用权限,并不意味着购买了版权,文档只能用于自身使用,不得用于其他商业用途(如 [转卖]进行直接盈利或[编辑后售卖]进行间接盈利)。
2、本站所有内容均由合作方或网友上传,本站不对文档的完整性、权威性及其观点立场正确性做任何保证或承诺!文档内容仅供研究参考,付费前请自行鉴别。
3、如文档内容存在违规,或者侵犯商业秘密、侵犯著作权等,请点击“违规举报”。

碎片内容

高二数学 数列综合应用练习试卷

星河书苑+ 关注
实名认证
内容提供者

从事历史教学,热爱教育,高度负责。

确认删除?
VIP
微信客服
  • 扫码咨询
会员Q群
  • 会员专属群点击这里加入QQ群
客服邮箱
回到顶部