电脑桌面
添加小米粒文库到电脑桌面
安装后可以在桌面快捷访问

高考数学复习专题 数列通项与前n项和VIP免费

高考数学复习专题 数列通项与前n项和_第1页
1/11
高考数学复习专题 数列通项与前n项和_第2页
2/11
高考数学复习专题 数列通项与前n项和_第3页
3/11
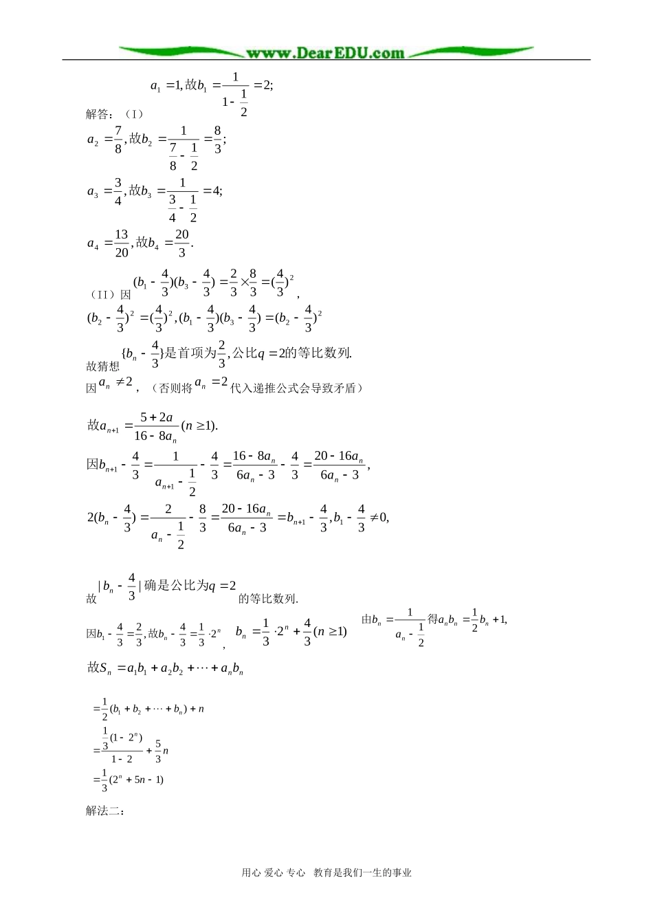
高考数学复习专题数列通项与前n项和数列是函数概念的继续和延伸,数列的通项公式及前n项和公式都可以看作项数n的函数,是函数思想在数列中的应用.数列以通项为纲,数列的问题,最终归结为对数列通项的研究,而数列的前n项和Sn可视为数列{Sn}的通项。通项及求和是数列中最基本也是最重要的问题之一,与数列极限及数学归纳法有着密切的联系,是高考对数列问题考查中的热点,本点的动态函数观点解决有关问题,为其提供行之有效的方法.一、解题方法1.数列中数的有序性是数列定义的灵魂,要注意辨析数列中的项与数集中元素的异同.因此在研究数列问题时既要注意函数方法的普遍性,又要注意数列方法的特殊性.2.数列{an}前n项和Sn与通项an的关系式:an=2,1,11nSSnSnn3.求通项常用方法①作新数列法.作等差数列与等比数列.②累差叠加法.最基本形式是:an=(an-an-1+(an-1+an-2)+…+(a2-a1)+a1.③归纳、猜想法.4.数列前n项和常用求法①重要公式1+2+…+n=21n(n+1)12+22+…+n2=61n(n+1)(2n+1)13+23+…+n3=(1+2+…+n)2=41n2(n+1)2②等差数列中Sm+n=Sm+Sn+mnd,等比数列中Sm+n=Sn+qnSm=Sm+qmSn.③裂项求和:将数列的通项分成两个式子的代数和,即an=f(n+1)-f(n),然后累加时抵消中间的许多项.应掌握以下常见的裂项:等)!1(1!1)!1(1,CCC,ctg2ctg2sin1,!)!1(!,111)1(111nnnααnnnnnnnnrnrnnn④错项相消法⑤并项求和法数列通项与和的方法多种多样,要视具体情形选用合适方法.二、高考题例(2005年重庆卷)数列).1(0521681}{111naaaaaannnnn且满足记).1(211nabnn(Ⅰ)求b1、b2、b3、b4的值;(Ⅱ)求数列}{nb的通项公式及数列}{nnba的前n项和.nS本题考查求通项的一般方法,以及求和中分组求和的基本题型,求解通项与和是数列问题考查的重点。用心爱心专心教育是我们一生的事业解答:(I);22111,111ba故.320,2013;421431,43;3821871,87443322bababa故故故(II)因231)34(3832)34)(34(bb,2231222)34()34)(34(,)34()34(bbbb故猜想.2,32}34{的等比数列公比是首项为qbn因2na,(否则将2na代入递推公式会导致矛盾),034,3436162038212)34(2,36162034368163421134).1(8162511111bbaaabaaaaabnaaannnnnnnnnnnnn因故故2|34|qbn确是公比为的等比数列.nnbb23134,32341故因,)1(34231nbnn,121211nnnnnbbaab得由nnnbababaS2211故)152(313521)21(31)(2121nnnbbbnnn解法二:用心爱心专心教育是我们一生的事业(Ⅰ)由,052168,21121111nnnnnnnnaaaabaab代入递推关系得整理得,342,0364111nnnnnnbbbbbb即.320,4,38,2,143211bbbba所以有由(Ⅱ)由,03234),34(234,342111bbbbbnnnn所以故的等比数列公比是首项为,2,32}34{qbn).152(313521)21(31)(21,121211).1(34231,23134212211nnnbbbbababaSbbaabnbbnnnnnnnnnnnnnnn故得由即解法三:(Ⅰ)同解法一(Ⅱ)2342312)34(3832,38,34,32bbbbbb因此故又因的等比数列公比是首项为猜想).1(81625,2231,2,32}{111naaaabbqbbnnnnnnnnn1222181625121121111nnnnnnnaaaaabb;3681036636816nnnnnaaaaa用心爱心专心教育是我们一生的事业3681636816211211111212nnnnnnnnaaaaaabb).(2361620368163624361nnnnnnnnbbaaaaaa,231,2}{,0321112nnnnnbbqbbbb的等比数列是公比因从而112211)()()(bbbbbbbbnnnnnnnnnnnnnnnnnbababaSbbaabn2211121,121211).1(342312)22(312)222(31故得由三、典型例题:例1:已知数列1}{1aan中,且a2...

1、当您付费下载文档后,您只拥有了使用权限,并不意味着购买了版权,文档只能用于自身使用,不得用于其他商业用途(如 [转卖]进行直接盈利或[编辑后售卖]进行间接盈利)。
2、本站所有内容均由合作方或网友上传,本站不对文档的完整性、权威性及其观点立场正确性做任何保证或承诺!文档内容仅供研究参考,付费前请自行鉴别。
3、如文档内容存在违规,或者侵犯商业秘密、侵犯著作权等,请点击“违规举报”。

碎片内容

高考数学复习专题 数列通项与前n项和

确认删除?
VIP
微信客服
  • 扫码咨询
会员Q群
  • 会员专属群点击这里加入QQ群
客服邮箱
回到顶部