电脑桌面
添加小米粒文库到电脑桌面
安装后可以在桌面快捷访问

江苏省高三数学复习每天30分钟限时训练32 苏教版VIP免费

江苏省高三数学复习每天30分钟限时训练32 苏教版_第1页
1/3
江苏省高三数学复习每天30分钟限时训练32 苏教版_第2页
2/3
江苏省高三数学复习每天30分钟限时训练32 苏教版_第3页
3/3
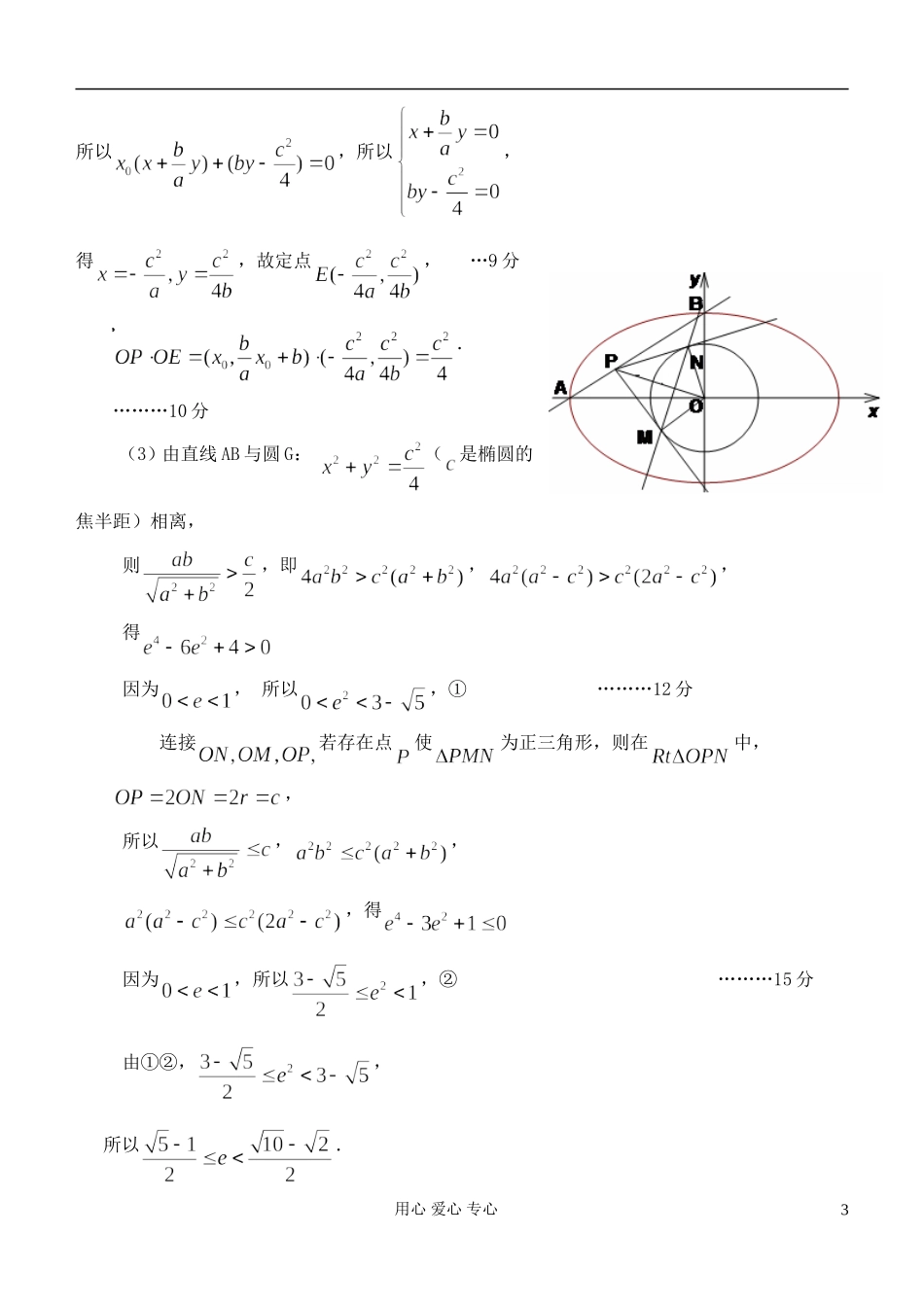
高三数学复习限时训练(32)1、已知A、B、C是△ABC的三个内角,向量,,,则=.2、已知抛物线与双曲线有相同的焦点,点是两曲线的交点,且轴,则双曲线的离心率为_________.3、一只蚂蚁在边长分别为5,4,3的三角形的边上爬行,某时刻该蚂蚁距离三角形的三个顶点的距离均不小于1的概率是__________4、已知数列满足.若则.5、已知椭圆C:22221(0)xyabab,点A、B分别是椭圆C的左顶点和上顶点,直线AB与圆G:2224cxy(c是椭圆的焦半距)相离,P是直线AB上一动点,过点P作圆G的两切线,切点分别为M、N.(1)若椭圆C经过两点42(1,)3、33(,1)2,求椭圆C的方程;(2)当c为定值时,求证:直线MN经过一定点E,并求OPOE�的值(O是坐标原点);(3)若存在点P使得△PMN为正三角形,试求椭圆离心率的取值范围.用心爱心专心1限时训练(32)参考答案1、2、3、,解析如图,当某时刻该蚂蚁距离三角形的三个顶点的距离均不小于1时,蚂蚁只能在线段DE,FG,HM上,所以所求概率为2112312CABCABHMFGDEP4、4024解析:因知,另得知,从而得18.解:(1)令椭圆,其中,得,所以,即椭圆为.………4分(2)直线,设点,则中点为,所以点所在的圆的方程为,化简为,………6分与圆作差,即有直线,因为点在直线上,所以,用心爱心专心2AFGBHMCDE所以,所以,得,故定点,…9分.………10分(3)由直线AB与圆G:(是椭圆的焦半距)相离,则,即,,得因为,所以,①………12分连接若存在点使为正三角形,则在中,,所以,,,得因为,所以,②………15分由①②,,所以.用心爱心专心3

1、当您付费下载文档后,您只拥有了使用权限,并不意味着购买了版权,文档只能用于自身使用,不得用于其他商业用途(如 [转卖]进行直接盈利或[编辑后售卖]进行间接盈利)。
2、本站所有内容均由合作方或网友上传,本站不对文档的完整性、权威性及其观点立场正确性做任何保证或承诺!文档内容仅供研究参考,付费前请自行鉴别。
3、如文档内容存在违规,或者侵犯商业秘密、侵犯著作权等,请点击“违规举报”。

碎片内容

江苏省高三数学复习每天30分钟限时训练32 苏教版

慧源书店+ 关注
实名认证
内容提供者

从事历史教学,热爱教育,高度负责。

相关文档

确认删除?
VIP
微信客服
  • 扫码咨询
会员Q群
  • 会员专属群点击这里加入QQ群
客服邮箱
回到顶部