电脑桌面
添加小米粒文库到电脑桌面
安装后可以在桌面快捷访问

高考文科数学平面向量专题VIP专享VIP免费

高考文科数学平面向量专题_第1页
1/5
高考文科数学平面向量专题_第2页
2/5
高考文科数学平面向量专题_第3页
3/5
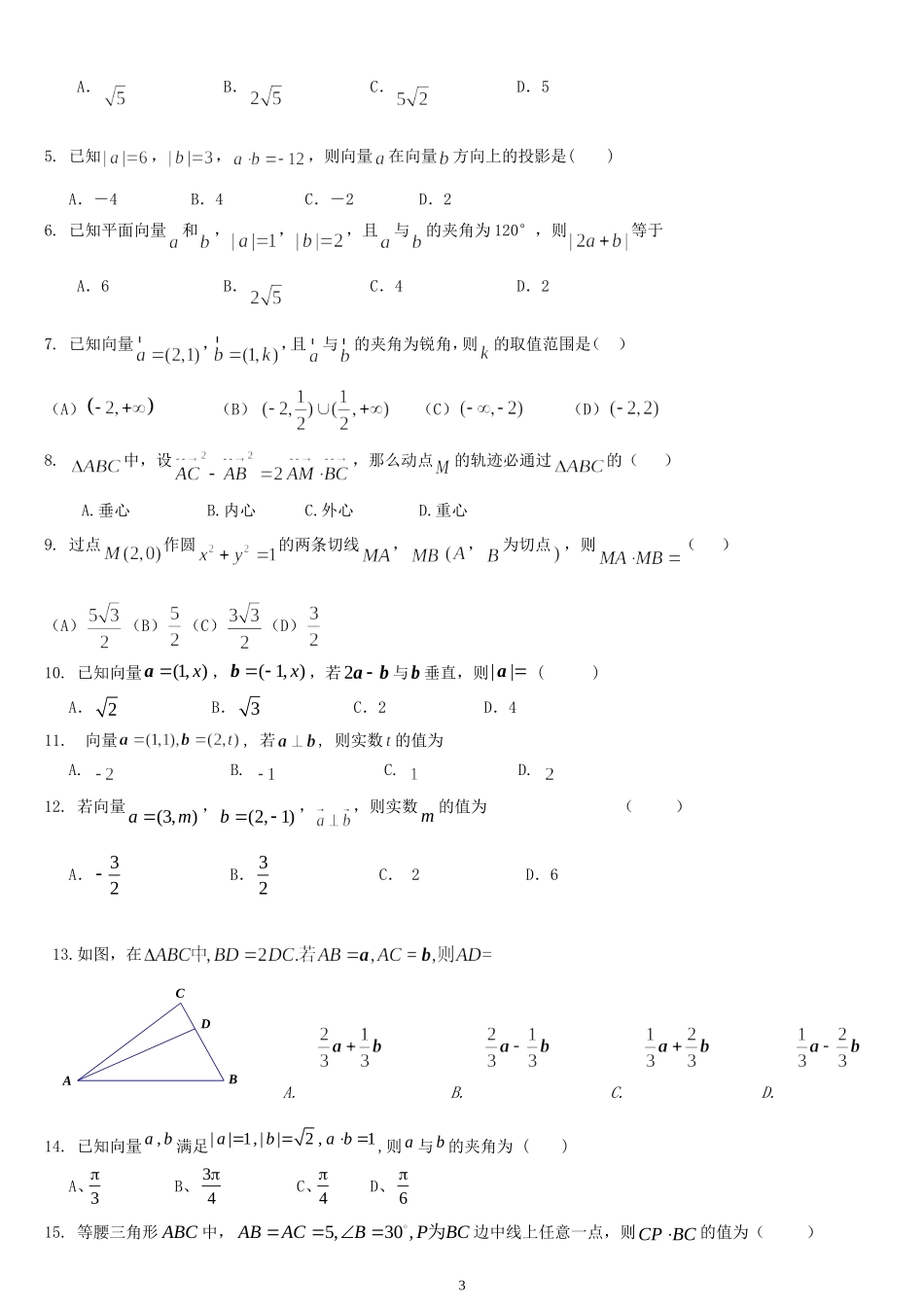
平面向量专题一、选择题例1.中,边的高为,若,,,,,则(A)(B)(C)(D)例2.设,向量且,则(A)(B)(C)(D)例3.设a,b是两个非零向量。A.若|a+b|=|a|-|b|,则a⊥bB.若a⊥b,则|a+b|=|a|-|b|C.若|a+b|=|a|-|b|,则存在实数λ,使得b=λaD.若存在实数λ,使得b=λa,则|a+b|=|a|-|b|例4.设、都是非零向量,下列四个条件中,使成立的充分条件是()A、且B、C、D、例5.设向量=(1.)与=(-1,2)垂直,则等于()ABC.0D.-1例6.已知向量a=(1,—1),b=(2,x).若a·b=1,则x=(A)—1(B)—(C)(D)1例7.若向量,,则A.B.C.D.例8.对任意两个非零的平面向量和,定义.若两个非零的平面向量,满足与的夹角,且和都在集合中,则A.B.C.1D.例9.已知向量a=(x-1,2),b=(2,1),则a⊥b的充要条件A.x=-12B.x-1C.x=5D.x=0例10.在△ABC中,A=90°,AB=1,设点P,Q满足=,=(1-),R。若1=-2,则=(A)(B)C)(D)2例1已知向量夹角为,且;则例2.设向量,,,若,则______.例3.如图4,在平行四边形ABCD中,AP⊥BD,垂足为P,且=.例4.已知向量a=(1,0),b=(1,1),则(Ⅰ)与2a+b同向的单位向量的坐标表示为____________;(Ⅱ)向量b-3a与向量a夹角的余弦值为____________。例5.已知正方形ABCD的边长为1,点E是AB边上的动点,则的值为________,的最大值为______。练习:1.为平行四边形的一条对角线,()A.B.C.D.2.平面向量,共线的充要条件是A.,方向相同B.,两向量中至少有一个为零向量C.,使得D.存在不全为零的实数,,3.如图,在等腰直角ABO中,设,,1,OAaOBbOAOBC�为上靠近点的四等分点,过C作的垂线,设为垂线上任一点,,OPp�则()pbaA.21B.21C.23D.234.已知平面向量共线,则=2A.B.C.D.55.已知,,,则向量在向量方向上的投影是()A.-4B.4C.-2D.26.已知平面向量和,,,且与的夹角为120°,则等于A.6B.C.4D.27.已知向量,,且与的夹角为锐角,则的取值范围是()(A)(B)(C)(D)8.中,设,那么动点的轨迹必通过的()A.垂心B.内心C.外心D.重心9.过点作圆的两条切线,,为切点,则()(A)(B)(C)(D)10.已知向量(1,)xa,(1,)xb,若2ab与b垂直,则||a()A.2B.3C.2D.411.向量,若,则实数的值为A.B.C.D.12.若向量(3,)am,(2,1)b,,则实数m的值为()A.32B.32C.2D.613.如图,在DCBAA.B.C.D.14.已知向量,ab满足||1,||2,1abab,则a与b的夹角为()A、3B、34C、4D、615.等腰三角形ABC中,5,30,ABACBPBC为边中线上任意一点,则CPBC�的值为()3A、752B、252C、5D、75216.已知向量,.若向量与共线,则实数______.17.设a,b,c是单位向量,且,则向量a,b的夹角等于.18.在直角三角形中,,,点是斜边上的一个三等分点,则.19.若向量,满足,,且,的夹角为,则,.20.设平面向量,若,则21.向量ba,的夹角为120°,|5|,3||,1||baba则=.22.已知,。(1)若的夹角为,求的值;(2)若垂直,求的夹角。23.已知向量3(sin,),(cos,1)4axbx.(1)当//ab时,求2cossin2xx的值;(2)设函数()2()fxabb,已知在△ABC中,内角A、B、C的对边分别为abc、、,若36sin,2,3Bba,求62cos4Axf(0,3x)的取值范围.DBCDCDADDB【答案】【答案】【答案】18【答案】(Ⅰ);(Ⅱ)【答案】1,1DDAAADBCDCADCCD16.-117.60°18.419.1,根号720.-421.722.解:(1)1(2)23.解:(1)4A4(2)21262cos4123Axf5

1、当您付费下载文档后,您只拥有了使用权限,并不意味着购买了版权,文档只能用于自身使用,不得用于其他商业用途(如 [转卖]进行直接盈利或[编辑后售卖]进行间接盈利)。
2、本站所有内容均由合作方或网友上传,本站不对文档的完整性、权威性及其观点立场正确性做任何保证或承诺!文档内容仅供研究参考,付费前请自行鉴别。
3、如文档内容存在违规,或者侵犯商业秘密、侵犯著作权等,请点击“违规举报”。

碎片内容

高考文科数学平面向量专题

金钥匙书屋+ 关注
实名认证
内容提供者

热爱教育事业,爱好互联网行业

确认删除?
VIP
微信客服
  • 扫码咨询
会员Q群
  • 会员专属群点击这里加入QQ群
客服邮箱
回到顶部