电脑桌面
添加小米粒文库到电脑桌面
安装后可以在桌面快捷访问

九年级数学上册 周末作业(第二周) 新人教版试卷VIP免费

九年级数学上册 周末作业(第二周) 新人教版试卷_第1页
1/3
九年级数学上册 周末作业(第二周) 新人教版试卷_第2页
2/3
九年级数学上册 周末作业(第二周) 新人教版试卷_第3页
3/3
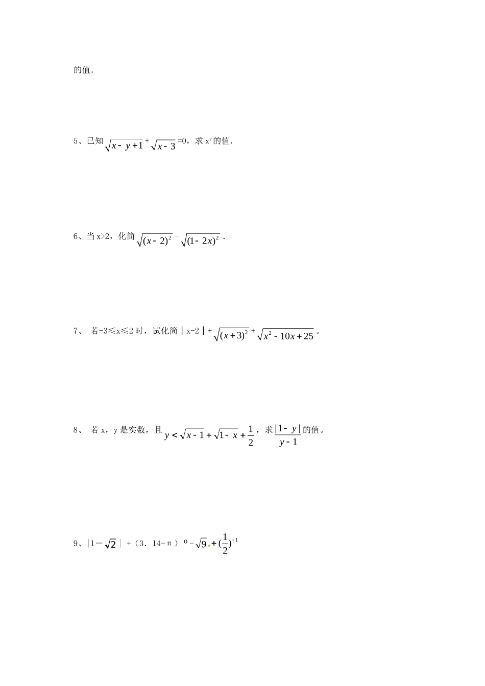
周末作业(第二周)班级:________姓名:_________家长签名:____________知识与技能1.理解二次根式的概念.2.理解a(a≥0)是一个非负数,(a)2=a(a≥0),2a=a(a≥0).一、基础训练323.1.2.7..1abDxCmBA)(式的是下列各式一定是二次根2.2().2.2.2.2xxAxBxCxDx若有意义,则的取值范围><3.化简二次根式39x的结果为()A.xx3B.xx3C.xx3D.xx34.下列式子中,不是二次根式的是()A.4B.16C.8D.1x5.下列各式正确的是()A.aa2B.aa2C.aa2D.22aa6、下列各式中,正确的是()A、332B、-332C、332D、3327.若1<x<2,则213xx的值为()A.2x-4B.-2C.4-2xD.28.24n是整数,则正整数n的最小值是()A.4;B.5;C.6;D.79.已知一个正方形的面积是5,那么它的边长是()A.5B.5C.15D.以上皆不对10、a≥0时,2a、2()a、-2a,比较它们的结果,下面四个选项中正确的是().A.2a=2()a≥-2aB.2a>2()a>-2aC.2a<2()a<-2aD.-2a>2a=2()a11、函数11xxy的自变量x的取值范围是12、若92yx与3yx互为相反数,则x+y的值为13.先阅读理解,再回答问题:因为2112,122,所以211的整数部分为1;因为2226,263,所以222的整数部分为2;因为23312,3124,所以233的整数部分为3;依次类推,我们不难发现2(nnn为正整数)的整数部分为_______。现已知5的整数部分是x,小数部分是y,则x-y=_______二、综合提高题1、把下列非负数写成一个数的平方的形式:(1)5(2)3.4(3)16(4)x(x≥0)2、在实数范围内分解下列因式:(1)x2-6(2)x4-4(3)3x2-53、若1a+1b=0,求a2012+b2013的值.4、已知y=2x+2x+5,求xy的值.5、已知1xy+3x=0,求xy的值.6、当x>2,化简2(2)x-2(12)x.7、若-3≤x≤2时,试化简│x-2│+2(3)x+21025xx。8、若x,y是实数,且2111xxy,求1|1|yy的值。9、|1-2|+(3.14-π)0-91)21(

1、当您付费下载文档后,您只拥有了使用权限,并不意味着购买了版权,文档只能用于自身使用,不得用于其他商业用途(如 [转卖]进行直接盈利或[编辑后售卖]进行间接盈利)。
2、本站所有内容均由合作方或网友上传,本站不对文档的完整性、权威性及其观点立场正确性做任何保证或承诺!文档内容仅供研究参考,付费前请自行鉴别。
3、如文档内容存在违规,或者侵犯商业秘密、侵犯著作权等,请点击“违规举报”。

碎片内容

九年级数学上册 周末作业(第二周) 新人教版试卷

雨丝书吧+ 关注
实名认证
内容提供者

乐于和他人分享知识,从事历史教学,热爱教育,高度负责。

确认删除?
VIP
微信客服
  • 扫码咨询
会员Q群
  • 会员专属群点击这里加入QQ群
客服邮箱
回到顶部