电脑桌面
添加小米粒文库到电脑桌面
安装后可以在桌面快捷访问

机械设计基础课后习题答案-第11章VIP免费

机械设计基础课后习题答案-第11章_第1页
1/13
机械设计基础课后习题答案-第11章_第2页
2/13
机械设计基础课后习题答案-第11章_第3页
3/13
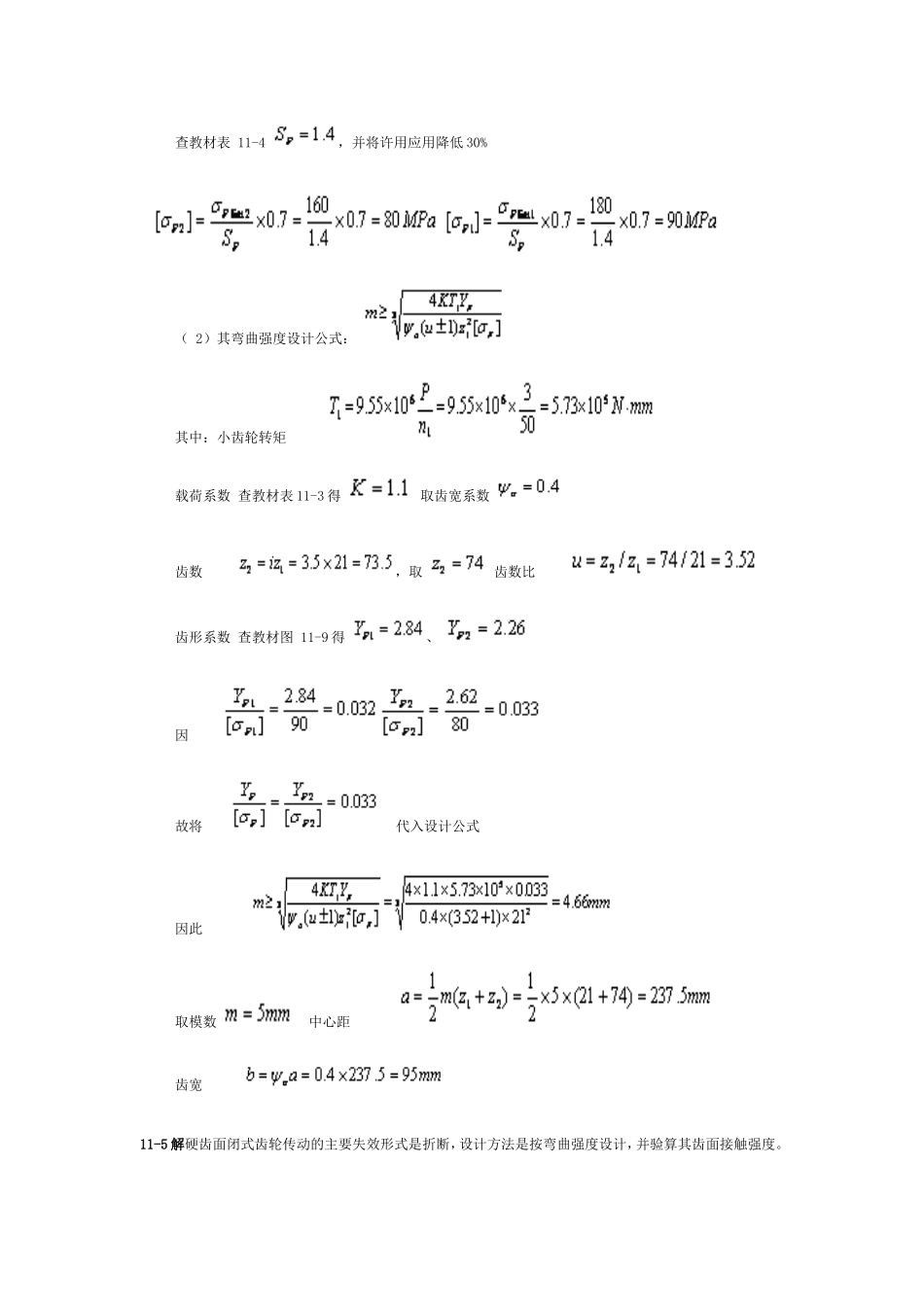
11-1解1)由公式可知:轮齿的工作应力不变,则则,若,该齿轮传动能传递的功率11-2解由公式可知,由抗疲劳点蚀允许的最大扭矩有关系:设提高后的转矩和许用应力分别为、当转速不变时,转矩和功率可提高69%。11-3解软齿面闭式齿轮传动应分别验算其接触强度和弯曲强度。(1)许用应力查教材表11-1小齿轮45钢调质硬度:210~230HBS取220HBS;大齿轮ZG270-500正火硬度:140~170HBS,取155HBS。查教材图11-7,查教材图11-10,查教材表11-4取,故:(2)验算接触强度,验算公式为:其中:小齿轮转矩载荷系数查教材表11-3得齿宽中心距齿数比则:、,能满足接触强度。(3)验算弯曲强度,验算公式:其中:齿形系数:查教材图11-9得、则:满足弯曲强度。11-4解开式齿轮传动的主要失效形式是磨损,目前的设计方法是按弯曲强度设计,并将许用应力降低以弥补磨损对齿轮的影响。(1)许用弯曲应力查教材表11-1小齿轮45钢调质硬度:210~230HBS取220HBS;大齿轮45钢正火硬度:170~210HBS,取190HBS。查教材图11-10得,查教材表11-4,并将许用应用降低30%(2)其弯曲强度设计公式:其中:小齿轮转矩载荷系数查教材表11-3得取齿宽系数齿数,取齿数比齿形系数查教材图11-9得、因故将代入设计公式因此取模数中心距齿宽11-5解硬齿面闭式齿轮传动的主要失效形式是折断,设计方法是按弯曲强度设计,并验算其齿面接触强度。(1)许用弯曲应力查教材表11-1,大小齿轮材料40Cr表面淬火硬度:52~56HRC,取54HRC。查教材图11-10得,查材料图11-7得。查教材表11-4,因齿轮传动是双向工作,弯曲应力为对称循环,应将极限值乘70%。故(2)按弯曲强度设计,设计公式:其中:小齿轮转矩载荷系数查教材表11-3得取齿宽系数齿数,取齿数比齿形系数应将齿形系数较大值代入公式,而齿形系数值与齿数成反比,将小齿轮的齿形系数代入设计公式查教材图11-9得因此取模数(3)验算接触强度,验算公式:其中:中心距齿宽,取满足接触强度。11-6解斜齿圆柱齿轮的齿数与其当量齿数之间的关系:(1)计算传动的角速比用齿数。(2)用成型法切制斜齿轮时用当量齿数选盘形铣刀刀号。(3)计算斜齿轮分度圆直径用齿数。(4)计算弯曲强度时用当量齿数查取齿形系数。11-7解见题11-7解图。从题图中可看出,齿轮1为左旋,齿轮2为右旋。当齿轮1为主动时按左手,则判断其轴向力;当齿轮2为主动时按右手定则判断其轴向力。轮1为主动轮2为主动时图11.2题11-7解图11-8解见题11-8解图。齿轮2为右旋,当其为主动时,按右手定则判断其轴向力方向;径向力总是指向其转动中心;圆向力的方向与其运动方向相反。图11.3题11-8解图11-9解(1)要使中间轴上两齿轮的轴向力方向相反,则低速级斜齿轮3的螺旋经方向应与齿轮2的旋向同为左旋,斜齿轮4的旋向应与齿轮3的旋向相反,为右旋。(2)由题图可知:、、、、分度圆直径轴向力要使轴向力互相抵消,则:即11-10解软齿面闭式齿轮传动应分别校核其接触强度和弯曲强度。(1)许用应力查教材表11-1小齿轮40MnB调质硬度:240~280HBS取260HBS;大齿轮35SiMn调质硬度:200~260HBS,取230HBS。查教材图11-7:;查教材图11-10:;查教材表11-4取,故:(2)验算接触强度,其校核公式:其中:小齿轮转矩载荷系数查教材表11-3得齿宽中心距齿数比则:满足接触强度。(3)验算弯曲强度,校核公式:小齿轮当量齿数大齿轮当量齿数齿形系数查教材图11-9得、满足弯曲强度。11-11解软齿面闭式齿轮传动应按接触强度设计,然后验算其弯曲强度:(1)许用应力查教材表11-1小齿轮40MnB调质硬度:240~280HBS取260HBS;大齿轮45钢调质硬度:210~230HBS,取220HBS。查教材图11-7:;查教材图11-10:;查教材表11-4取,故(2)按接触强度设计,其设计公式:其中:小齿轮转矩载荷系数查教材表11-3得齿宽系数取中心距齿数比将许用应力较小者代入设计公式则:取中心距初选螺旋角大齿轮齿数,取齿数比:模数,取螺旋角(3)验算其弯曲强度,校核公式:小齿轮当量齿数大齿轮当量齿数齿形系数查教材图11-9得、满足弯曲强度。11-12解由题图可知:,高速级传动比低速级传动比输入轴的转矩中间轴转矩输出轴转矩11-13解硬齿面闭式齿轮传...

1、当您付费下载文档后,您只拥有了使用权限,并不意味着购买了版权,文档只能用于自身使用,不得用于其他商业用途(如 [转卖]进行直接盈利或[编辑后售卖]进行间接盈利)。
2、本站所有内容均由合作方或网友上传,本站不对文档的完整性、权威性及其观点立场正确性做任何保证或承诺!文档内容仅供研究参考,付费前请自行鉴别。
3、如文档内容存在违规,或者侵犯商业秘密、侵犯著作权等,请点击“违规举报”。

碎片内容

机械设计基础课后习题答案-第11章

确认删除?
VIP
微信客服
  • 扫码咨询
会员Q群
  • 会员专属群点击这里加入QQ群
客服邮箱
回到顶部