电脑桌面
添加小米粒文库到电脑桌面
安装后可以在桌面快捷访问

高中数学 第一章 统计案例 1.1 回归分析的基本思想及其初步应用课时自测 新人教A版选修1-2-新人教A版高二选修1-2数学试题VIP免费

高中数学 第一章 统计案例 1.1 回归分析的基本思想及其初步应用课时自测 新人教A版选修1-2-新人教A版高二选修1-2数学试题_第1页
1/2
高中数学 第一章 统计案例 1.1 回归分析的基本思想及其初步应用课时自测 新人教A版选修1-2-新人教A版高二选修1-2数学试题_第2页
2/2
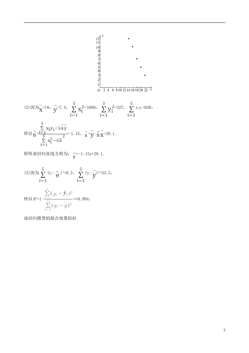
1.1回归分析的基本思想及其初步应用1.在画两个变量的散点图时,下列叙述正确的是()A.预报变量在x轴上,解释变量在y轴上B.解释变量在x轴上,预报变量在y轴上C.可以选择两个变量中任意一个变量在x轴上D.可以选择两个变量中任意一个变量在y轴上【解析】选B.结合线性回归模型y=bx+a+e可知,解释变量在x轴上,预报变量在y轴上.2.下列哪些变量是相关关系?()A.出租车车费与行驶的路程B.房屋面积与房屋价格C.人的身高与体重D.铁块的大小与质量【解析】选C.A,B,D三项都是函数关系,C是相关关系.3.已知某人加工零件的个数x与花费时间y(h)之间的线性回归方程为y=0.01x+0.5,则加工600个零件大约需要________h.【解析】由题意知,加工600个零件大约需要时间y=0.01×600+0.5=6.5(h).答案:6.54.已知某商品的价格x(元)与需求量y(件)之间的关系有如下一组数据:x1416182022y1210753(1)画出y关于x的散点图.(2)求出回归直线方程.(3)计算R2的值,并说明回归模型拟合程度的好坏(参考数据:=18,=7.4,=1660,=327,xiyi=620,(yi-yi)2=0.3,(yi-)2=53.2.)【解析】(1)散点图如图所示:1(2)因为=18,=7.4,=1660,=327,xiyi=620,所以b==-1.15,a=-b=28.1.即所求回归直线方程为:y=-1.15x+28.1.(3)因为(yi-yi)2=0.3,(yi-)2=53.2,所以R2=1-≈0.994,故回归模型的拟合效果较好.2

1、当您付费下载文档后,您只拥有了使用权限,并不意味着购买了版权,文档只能用于自身使用,不得用于其他商业用途(如 [转卖]进行直接盈利或[编辑后售卖]进行间接盈利)。
2、本站所有内容均由合作方或网友上传,本站不对文档的完整性、权威性及其观点立场正确性做任何保证或承诺!文档内容仅供研究参考,付费前请自行鉴别。
3、如文档内容存在违规,或者侵犯商业秘密、侵犯著作权等,请点击“违规举报”。

碎片内容

高中数学 第一章 统计案例 1.1 回归分析的基本思想及其初步应用课时自测 新人教A版选修1-2-新人教A版高二选修1-2数学试题

确认删除?
VIP
微信客服
  • 扫码咨询
会员Q群
  • 会员专属群点击这里加入QQ群
客服邮箱
回到顶部