电脑桌面
添加小米粒文库到电脑桌面
安装后可以在桌面快捷访问

九年级数学上学期教学目标检测题(一)二次根式 新人教版试卷VIP免费

九年级数学上学期教学目标检测题(一)二次根式 新人教版试卷_第1页
1/4
九年级数学上学期教学目标检测题(一)二次根式 新人教版试卷_第2页
2/4
九年级数学上学期教学目标检测题(一)二次根式 新人教版试卷_第3页
3/4
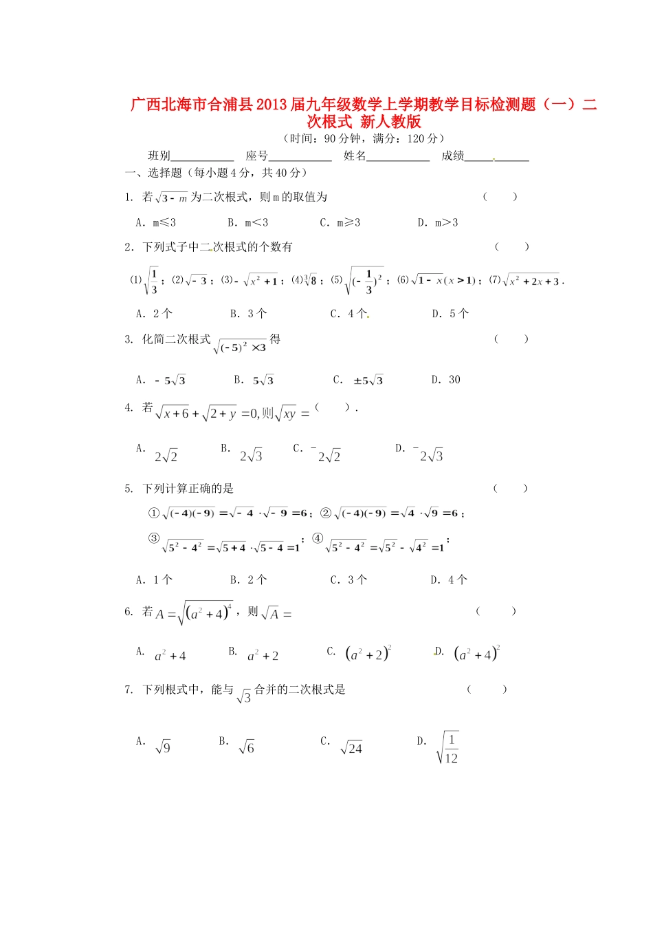
广西北海市合浦县2013届九年级数学上学期教学目标检测题(一)二次根式新人教版(时间:90分钟,满分:120分)班别座号姓名成绩一、选择题(每小题4分,共40分)1.若为二次根式,则m的取值为()A.m≤3B.m<3C.m≥3D.m>32.下列式子中二次根式的个数有()⑴;⑵;⑶;⑷;⑸;⑹;⑺.A.2个B.3个C.4个D.5个3.化简二次根式得()A.B.C.D.304.若().A.B.C.-D.-5.下列计算正确的是()①;②;③;④;A.1个B.2个C.3个D.4个6.若,则()A.B.C.D.7.下列根式中,能与合并的二次根式是()A.B.C.D.8.计算:的结果是()A.B.C.40D.79.若+=0,a2012+b2012的值为()A.B.0C.2D.-210.先化简再求值:当a=9时,求a+的值,甲乙两人的解答如下:甲的解答为:原式=a+=a+(1-a)=a+1-a=1;乙的解答为:原式=a+=a+(a-1)=2a-1=17.两种解答中,()的解答是错误的.A.甲B.乙C.都正确D.都不正确二、填空题(每小题3分,共24分)11.当x___________时,是二次根式.12..(x>0,y>0)=___________.13.比较大小:______.;14.已知,则的取值范围是。15.计算:___________.16.当时,。17.当a=时,则___________.18.把的根号外的因式移到根号内等于。三、解答题(共56分)19.(9分)把下列各式写成平方差的形式,再分解因式:⑴;⑵;⑶;20.(8分)计算:⑴;(2);21.(9分)先化简,再求值:,其中.22.(8分)把下列各式化成最简二次根式:⑴;⑵.23.(10分)已知:,求的值。24.(12分)阅读下面问题:;。试求:(1)的值;(2)的值;(3)(n为正整数)的值。

1、当您付费下载文档后,您只拥有了使用权限,并不意味着购买了版权,文档只能用于自身使用,不得用于其他商业用途(如 [转卖]进行直接盈利或[编辑后售卖]进行间接盈利)。
2、本站所有内容均由合作方或网友上传,本站不对文档的完整性、权威性及其观点立场正确性做任何保证或承诺!文档内容仅供研究参考,付费前请自行鉴别。
3、如文档内容存在违规,或者侵犯商业秘密、侵犯著作权等,请点击“违规举报”。

碎片内容

九年级数学上学期教学目标检测题(一)二次根式 新人教版试卷

确认删除?
VIP
微信客服
  • 扫码咨询
会员Q群
  • 会员专属群点击这里加入QQ群
客服邮箱
回到顶部