电脑桌面
添加小米粒文库到电脑桌面
安装后可以在桌面快捷访问

一元一次方程练习册VIP免费

一元一次方程练习册_第1页
1/7
一元一次方程练习册_第2页
2/7
一元一次方程练习册_第3页
3/7
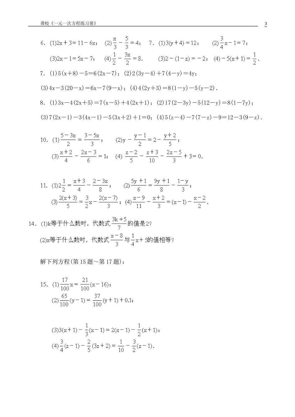
聋校《一元一次方程练习册》练习1.11、解下列方程:(1)4+x=11;(2)x-5=17;2.解下列方程:(1)2x-5=9;(2)3x+4=13;3.根据下列条件列出方程:(1)一个数减去3,得5;(3)一个数的2倍再加上1,得9;(4)一个数的一半减去1,得3.4.长1.7m的铁丝,剪下5截等长的小段,还余0.2m.等长的5小段每段长多少?练习1.21.在以下各方程后面的括号内,分别给出了一组数,从中找出方程的解:(1)6x+2=14(0,1,2,3);(2)2x-4=12(4,8,12);(3)10=3x+1(0,1,2,3);2.解下列方程:(1)5x+2=32;(2)8x-23=33;(3)87=10+7x;(4)45=4x-19;练习2.11.解下列方程,并写出检验:2.填空:1聋校《一元一次方程练习册》(2)如果c=-d,那么在等式两边都乘以-1,得-c=d,于是d=____.3.解下列方程:一元一次方程和它的解法·习题21.解下列方程,并写出检验:(1)2x+3=x-1;(2)8x-2=7x-2;(3)3x-4+2x=4x-3;(4)10y+7=12y-5-3y;(5)2.4x-9.8=1.4x-9;2.解下列方程,并用口算检验:(1)9x=6x-6;(2)8z=4z+1;3.解下列方程,并写出检验:(5)2x∶3=6∶5;(6)8∶3=4x∶7.4.根据下列条件列出方程,然后求出某数:(2)某数的4倍比30大10;(3)某数的2倍比某数的5倍小24.5、解下列方程(第6题~第11题):2聋校《一元一次方程练习册》7.(1)5(x+8)-5=6(2x-7);(2)2(3y-4)+7(4-y)=4y;(3)4x-3(20-x)=6x-7(9-x);(4)4(2y+3)=8(1-y)-5(y-2).8.(1)3x-4(2x+5)=7(x-5)+4(2x+1);(2)17(2-3y)-5(12-y)=8(1-7y);(3)7(2x-1)-3(4x-1)-5(3x+2)+1=0;(4)5(z-4)-7(7-z)-9=12-3(9-z).解下列方程(第15题~第17题):3聋校《一元一次方程练习册》一元一次方程·复习题解下列方程(第2题~第3题):(2)0.5x-0.7=6.5-1.3x;3.(1)3(8x-1)-2(5x+1)=6(2x+3)+5(5x-2);(2)3(x-7)-2[9-4(2-x)]=22;4聋校《一元一次方程练习册》一元一次方程复习卷一、填空:(1×24=24分)1、只含有____________,并且未知数的_________________的方程叫做一元一次方程。2、3、4、5、如果x+a=b,那么x__b-a;(“=”或“≠”)6、若5x=4x+7,则5x-______=7;若-3y=18,则y=______;若a+8=b+8,则a=______;7、如果,那么a=().8、含有()的等式叫做方程,在一个方程中,只含有()个未知数,并且未知数的指数是()次,这样的方程叫做一元一次方程。9、等式两边同时乘同一个数(或除以同一个不为0的数),所得结果仍是()。10、方程的解是();若是一元一次方程,则()。11、下列各式:①2x=0②2x-y=5③④中,是一元一次方程的是______________(请填代号)12、n为_____时,3x2n-1与-xn+2是同类项.13、某数的加上4,比这个数的3倍少27,则这个数是_____________.14、如果那么=15、如果x=2,y=5满足ax+3y=3,那么a=16、当x=时,代数式2x+1与x-2的值相等17、列式:某数的5倍与2的差等于8_______________某数比它的小5________________________二、选择题:A、B、C、D、A、B、C、D、3、A、B、C、D、4、下列方程中一元一次方程的是()个①②③④⑤⑥5⑤x2-3x+2=0聋校《一元一次方程练习册》A、1个B、2个C、3个D、4个5、A、B、C、D、6、方程,两边都除以-6得()A、B、C、D、7、下列方程中,是由方程变形后得到的结果是()A、B、C、D、8、如果,那么()A、6B、1C、2D、09、方程的解是()A、B、C、D、10、下列各等式中,只有()是一元一次方程A、B、C、D、11、x=2是下方程()的解.A、3x+1=2x-1B、3x-2x+2=0C、3x-1=2x+1D、3x=2x-212、下列方程中,是一元一次方程的是()A、x-9y=6B、C、D、y=013、在2+1=3,4+x=1,中,方程有()A、1个B、2个C、3个D、4个14、方程的解是()A.B.x=15C.D.x=15、x=2是方程()的解A.3X-3+X=0B.X(X-7)-2=0C.(X-3)(X-1)=0D.x=10-4x三、解方程1:(每题3分共24分)1、2、3、4、5、6、7、8、四、解方程2:1、2、3、4、5、6、2(3x+4)-5(2x-7)=427、8、6聋校《一元一次方程练习册》7

1、当您付费下载文档后,您只拥有了使用权限,并不意味着购买了版权,文档只能用于自身使用,不得用于其他商业用途(如 [转卖]进行直接盈利或[编辑后售卖]进行间接盈利)。
2、本站所有内容均由合作方或网友上传,本站不对文档的完整性、权威性及其观点立场正确性做任何保证或承诺!文档内容仅供研究参考,付费前请自行鉴别。
3、如文档内容存在违规,或者侵犯商业秘密、侵犯著作权等,请点击“违规举报”。

碎片内容

一元一次方程练习册

精品文库+ 关注
实名认证
内容提供者

小学学习各类资料大全

确认删除?
VIP
微信客服
  • 扫码咨询
会员Q群
  • 会员专属群点击这里加入QQ群
客服邮箱
回到顶部